——
——
首席经济学家-荀玉根:分歧:价值还是成长?
核心结论:①22年10月以来价值、成长均是内部分化明显,行业和指数角度均可验证。②本质上过去一段时间行情是情绪修复,政策和事件驱动下数字经济、中特估表现好,未来行情或进入基本面驱动。③全年牛市格局未变,当前处在蓄势阶段,行业或阶段性再平衡。
1.22年10月以来价值、成长都是结构性分化。当前市场对于风格讨论较多,我们通过行业和指数层面分析市场风格特征,发现市场自底部反转以来价值与成长两种风格并不明显。行业角度看,底部反转以来价值、成长内部分化明显,成长和价值内部行业表现有涨有跌。指数角度看,价值、成长内部分化明显。从代表性的风格指数看,风格特征也并不明确。同种风格的指数表现不同,其背后源于指数的成分行业权重不同。以成长风格中创业板指和科创50为例:22/10月底以来创业板指走势相对偏弱,最大涨幅仅为19%,其成分行业中表现较弱的电力设备权重占比高达35%;而科创50实现最大涨幅28%,其成分行业中涨幅居前的科技行业权重占比高达62%。
2.过去是情绪修复,未来会进入盈利驱动。过去一段时间市场是牛市初期的情绪修复。回顾历史上牛市上涨第一阶段,可以发现期间市场往往呈现普涨、轮涨的特征,不同风格指数表现差异不大。普涨、轮涨的背后源于市场自底部起来后,处低位的行业容易受到政策利好和预期改善的催化,出现短期明显的上涨,但由于此时基本面的趋势尚未明确,该阶段行情往往不存在特定的主线,因此风格特征并不明显。去年10月以来的这轮行情中数字经济、中特估表现较好,其本质属于政策和事件驱动下的情绪修复。未来市场会进入盈利驱动。拉长时间看,股票是一台“称重机”,基本面决定股价涨跌,盈利趋势的分化决定未来风格的走向。本轮决定市场风格和主线的关键仍在业绩,未来关注基本面的趋势。随着基本面逐渐回升,市场或由前期的政策和事件驱动走向盈利驱动,关注中报的基本面验证情况,以及下半年宏观月度数据的回升情况。展望全年,稳增长政策推动下现代化产业体系建设,成长盈利增速有望更快,但风格内部盈利增速可能仍有分化。
3.市场蓄势阶段行业或再平衡。市场全年向上趋势不变,阶段性蓄势中。当前市场正处在牛市初期,市场短期可能出现宽幅震荡的情况,其背后源于牛市初期基本面还不够扎实,更易受到其他因素的扰动。当前国内基本面回暖仍需要一个过程,未来短期内市场更可能继续处在蓄势期。行业阶段性再平衡,全年数字经济仍是主线。在政策和事件的催化下数字经济、中特估涨幅已经较为明显,未来决定风格的关键在于相对基本面趋势,应关注能够有业绩落地的持续性机会。此外,当前重视消费结构性机会。
风险提示:国内疫情恶化影响国内经济;美国经济硬着陆影响全球经济。
(海通策略研究团队 荀玉根 S0850511040006)
行业与主题热点
——
电气设备:特高压、电网自动化、数字化为电网重点投资方向
特高压建设持续推进。我们认为,在大型风光基地项目建设并网工作稳步推进的背景下,基于国家能源局及国网的规划,为了服务好沙漠、戈壁、荒漠大型风电光伏基地建设,支撑和促进大型电源基地集约化开发、远距离外送,特高压建设有望持续推进。
电网自动化升级:新型电力系统重点投资方向之一。我们认为,清洁能源的消纳对提升清洁能源功率预测精度,加强源网荷储协调互动等提出更高的要求。对于调度自动化升级提出明确需求。同时,我们认为,分布式能源、充电桩等的建设,对于配电自动化的升级改造也提出了明确的需求。
工控:后续需求有望进一步复苏,进口替代有望加速。中国制造业客户更倾向于选择“国产化、定制化、多产品组合解决方案”的工业自动化供应商。我们认为,部分本土优质企业凭借与国际供应商的战略合作及精准推进国产化,以及“多层次产品综合解决方案、定制化解决方案、性价比高、快速响应客户需求”等优势,有望加速对外资品牌的替代。展望2023年二季度,我们认为,工业经济有望继续恢复,工控需求有望进一步复苏。
风险提示:电网建设进度不达预期,经济大幅下行影响工控产业需求,新能源汽车发展不达预期,大宗原材料价格波动影响盈利水平。
(海通电力设备及新能源团队 吴杰S0850515120001、房青S0850512050003)
——

——

——

——
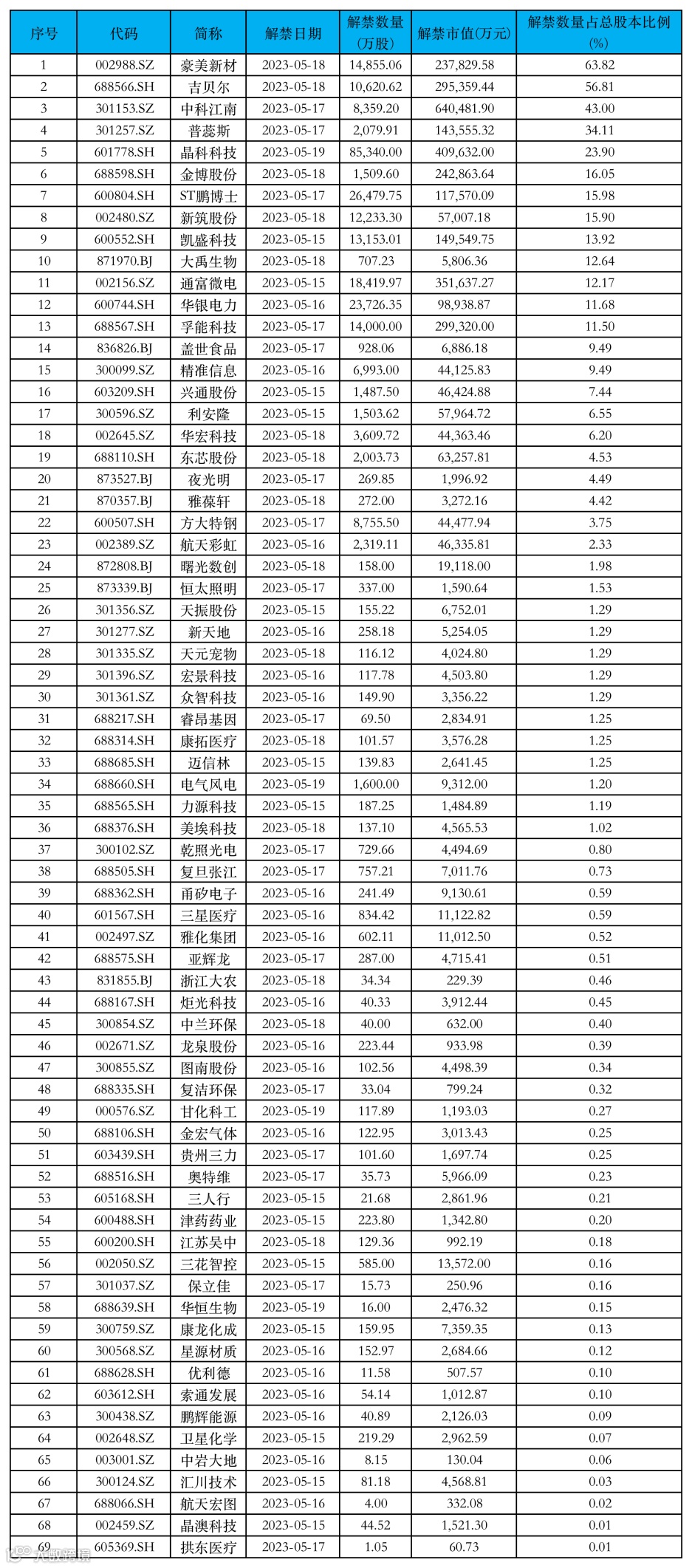
2023年5月15日-5月19日,共有69家上市公司解禁,解禁股数26.92亿股,解禁比例超30%的个股共有4只,解禁比例居前列的是豪美新材(63.82%)、吉贝尔(56.81%)、中科江南(43.00%)。建议对于解禁规模占比较大的公司保持谨慎,密切关注解禁股可能产生的减持压力。

大家都在看
免责声明:市场有风险,投资需谨慎。本文所载内容仅供海通证券股份有限公司的客户参考使用,客户须自主做出判断和投资决策。


