本周市场大盘整体回调。全周上证、沪深300、创业板、科创50跌幅分别为2.69%、2.71%、2.68%、4.58%。板块方面,申万31个一级板块中上涨行业为汽车。
债市方面,全周中证综合债指数上涨0.33%。利率债方面,中证国债指数上涨0.54%。信用债方面,中证金融债指数上涨0.27%、中证企业债指数上涨0.23%。转债方面,中证可转债指数回落0.05%。
商品方面,全周WIND商品指数回落3.90%,细分来看,油脂油料上涨0.13%。跌幅前三为煤焦钢矿、非金属建材、能源,分别下跌8.48%、8.14%、6.29%。
基金指数方面,主动权益类基金指数整体回落,平衡混合型基金指数跌幅为1.54%,QDII股票型基金指数跌幅为2.78%。固定收益类基金指数中,中长期纯债型指数涨幅为0.17%,偏债混合型基金指数跌幅为0.39%。
首批十只中证A500ETF获批。9月6日,包括华泰柏瑞基金、国泰基金、摩根资产管理、南方基金、富国基金、招商基金、嘉实基金、银华基金、景顺长城基金和泰康基金在内的首批十只中证A500ETF正式获批。富国量化投资部基金经理苏华清表示,中证A500指数的选样与传统宽基指数不同,并不是简单地选取市值最大的500家公司,而是分行业选取最大的公司,直到满足500家。同时,通过分行业选取公司,提高了新经济行业如高端制造、科技等行业的权重,与传统的市值加权指数相比,更能体现经济转型的方向。此外,该指数在选样时进行了ESG负面剔除,以排除具有潜在爆雷风险的公司。
后市展望:本周市场未能延续上周五反弹势头,重回阴跌态势且跌速有所加快。尤其近期银行板块出现快速调整引发市场热议。自8月末至今中证银行指数下跌7.82%,明显弱于同期沪深300指数2.24%的跌幅,部分龙头品种最大跌幅也超过了10%。中证银行指数自去年12月先于大盘见底,到今年8月中旬该指数涨幅超过20%,部分龙头品种涨幅超过100%,成为同期表现最为突出的板块之一,同时也积累了大量的获利盘。从中报看,银行板块收入略降2%,净利润略增0.4%,经营状况整体表现平稳。目前银行板块基本面变化不大,多家银行还推出了中期现金分红方案将提升股票投资价值。当前的调整主要源于前期获利盘的回吐以及市场下滑的影响,预计其后期跌幅可控,银行板块对市场的冲击也将减弱。本周市场跌速有所加快,各大主流指数双底形态开始成型,其中创业板指数离2月最低点只有一步之遥,双底形态更加清晰。预计后期市场如果出现快速下跌,有望在2月低点附近出现反弹,形成阶段低点,从而改变5月以来市场单边下跌的斜率;若市场仍维持阴跌,则低点的出现时间可能会拉长。板块上可利用市场震荡继续关注优质蓝筹板块,如银行、保险、家电、消费等板块,同时关注科技板块各个方向上的轮动。
配置建议:权益配置方面,中期基本面改善叠加海外流动性宽松有望推动市场中枢抬升。基本面来看,后续稳增长政策落地有望推动宏微观基本面回暖。建议均衡偏成长风格配置,重视中高端制造和科技制造领域的主题品种。固收配置方面,利率债方面,策略上信用票息更具性价比,长端利率债波段择机而行;信用债方面,短期信用债资产荒难以缓解,票息确定性仍较高。从投资的角度来看,建议关注中高等级信用债的产品。商品配置方面,随着美元疲软、美国大选临近,全球经济不确定性增加,全球资金避险情绪或逐渐加强,同时,美联储降息预期强化,叠加近期地缘冲突等因素,中长期金价或维持强势,但短期受到回调压力影响,或保持高位震荡格局。
整体上看,24Q2全部A股盈利在低基数下实现弱回升。考察盈利变动的原因,主要从营业收入、毛利率、三项费用率三个维度来看对归母净利润增速的影响,可以发现营收同比增速有所下降,盈利回升主要源于成本端下行带来的利润率提升。24Q2企业盈利小幅回升反映出当前宏观经济处在修复之中。今年上半年我国宏观经济实现温和修复,24年Q2增速相较于Q1有所放缓,短期宏观经济修复面临一定压力。但我们也能看到经济整体表现仍有亮点,外需对宏观经济的支撑仍较强,价格对实际增长的拖累或在减弱。
高端制造、能源材料、消费三大结构性亮点值得关注。具体可以关注以下三个方面:一是高端制造板块在内外共振下盈利表现较好。科技制造方面,受益于全球半导体周期回升和AI技术推动终端创新,电子板块24Q2贡献了全A归母净利润增速的0.6个百分点;中高端制造方面,外需支撑下今年我国汽车、家电出口较强,叠加近期消费品以旧换新和大规模设备更新等扩内需政策加速落地,在内外需共振下24Q2汽车和家电分别贡献了全A盈利增长的0.4个百分点、0.2个百分点。二是由涨价逻辑驱动的上游资源板块盈利显著改善。一方面,石化、有色等资源品行业受益于全球大宗商品涨价,另一方面,公用事业、交运等板块受益于要素市场化改革24Q2公用事业和交运分别贡献了全A盈利增长的0.5个百分点、0.3个百分点。三是消费板块受猪肉猪价、服务消费改善利好盈利得到提振。
中报对下半年有何指引?往后看,我们认为或还存在着三大希望推动基本面和预期回暖:一是财政有望发力提振内需;二是外循环有新增长点;三是改革有望提振预期释放红利。随着积极因素累积,我国宏观基本面有望企稳,预计24年全A归母净利润同比增速有望达到2%。资金面看,美联储降息落地后外资有望阶段性回流。当前美国通胀和就业持续降温,市场预期美联储大概率在9月降息,海外流动性改善叠加稳增长政策推动下基本面企稳,外资有望回流A股。结构上,中国优势制造或是股市中期主线。
数据来源:Wind,时间区间:2024/9/2-2024/9/6
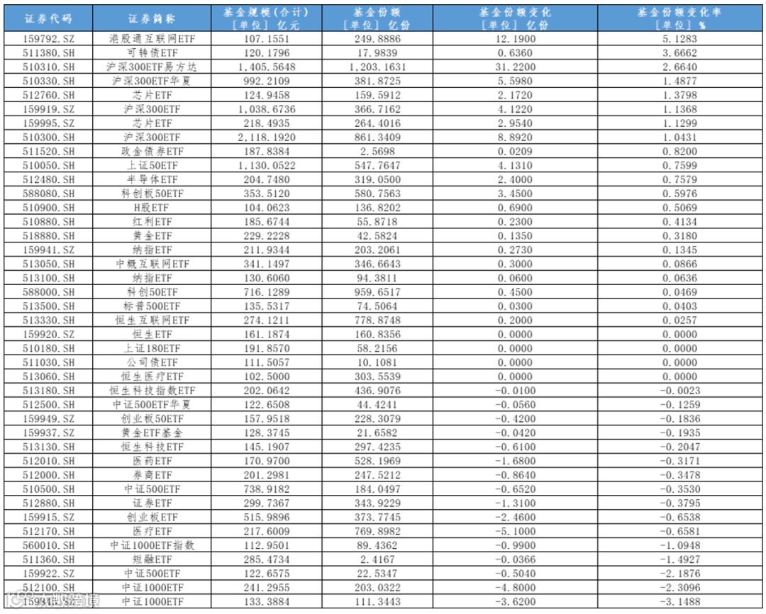
本周百亿规模ETF份额整体增加。其中份额变化率增加最多的是港股通互联网 ETF,份额变化率减少最多的是中证1000ETF。
数据来源:Wind,时间区间:2024/9/2-2024/9/6
2024年9月9日-9月13日,共43家上市公司解禁,解禁总市值约为543.64亿元。以下是解禁比例前十的公司。建议对解禁规模占比较大的公司保持谨慎,密切跟踪解禁股可能产生的减持压力。
数据来源:Wind,时间区间:2024/9/9-2024/9/13
风险提示:稳增长政策落地进度不及预期、国内经济修复不及预期等。

免责声明:市场有风险,投资需谨慎。本文所载内容仅供海通证券股份有限公司的客户参考使用,客户须自主做出判断和投资决策。

点亮在看
,财运不断