在当前建筑行业的发展状态下,一级造价工程师证书仍然具有较高的价值,但如何快速高效备考呢?是很多人很头疼的问题,下面这些,你就绝对不能错过!
25年一级造价师工程管理专业的公式大全
第一章 工程造价管理及其基本制度
“
工程造价=固定资产投资=建设投资+建设期利息
建设投资=工程费用+工程建设其他费+预备费
建设项目总投资=固定资产投资+流动资产投资
工程费用=建筑安装工程费+设备及工器具购置费
第三章 工程项目管理
2.固定节拍流水施工工期公式
T = (n - 1)t + ∑G + ∑Z - ∑C + m ∗ t= (m + n - 1)t + ∑G + ∑Z - ∑C
式中:
T -流水施工工期
n -施工过程的数目
t -流水节拍
∑ Z -组织间歇时间之和
∑ G-工艺间歇时间之和
∑ C-提前插入时间之和
m -施工段的数目
3.加快的成倍节拍流水施工工期公式
T = (n′ - 1)K + ∑G + ∑Z - ∑C + m ∗ K= (m + n′ - 1)K + ∑G + ∑Z - ∑C
式中:
n'-专业工作队数
K -流水步距(流水节拍的最大公约数)
第四章 工程经济
“
校园期末考试马上在即,秀中学为了期末考试冲刺开展研讨活动。周一上午,中学专家教授、化学教研员,指导开展初中学科期末考试研讨活动,校长与中学副校长参与研讨活动。
1
第一节 资金的时间价值及其计算
4. 单利本利和计算公式
式中:F -第 n 期末单利本利和
P -本金
n - n 个计息期
In-第 n 个计息期的利息额
id-计息周期单利利率
5. 复利利息计算公式
式中:Ft-第 t 个计息期末复利本利和
i -计息周期复利利率
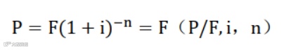
6. 终值计算公式(已知 P 求 F)
式中:i -计息周期复利率
n -计息周期数
P -现值,指资金发生在某一特定时间序列起点时的价值;
F -终值,指资金发生在某一特定时间序列终点时的价值。
7. 现值计算(已知 F 求 P)
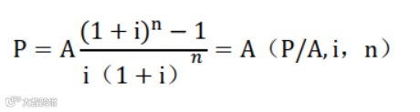
8. 等值支付—终值计算(已知 A 求 F)
式中:A -年金,发生在某一特定时间序列各计息期末的等额支付系列价值
9. 等值支付—现值计算(已知 A 求 P)
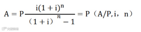
10. 等值支付—资金回收计算(已知 P 求 A)
11. 等值支付—偿债基金计算(已知 F 求 A)
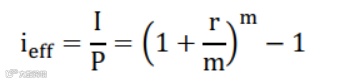
12. 计息周期有效利率
i = r /m
式中:r 一名义利率
m -一个利率周期内的计息周期数
i -计息周期利率
13. 利率周期有效利率
2
第二节 投资方案经济效果评价
14. 总投资收益率
式中:EBIT -项目达到设计生产能力后正常年份的年息税前利润或运营期内年平均息税前利润;
TI -项目总投资,包括建设投资、建设期借款利息、全部流动资金。
15. 投资回收期(各年净收益相同)
式中:TI - 项目总投资
A - 每年净收益
16. 投资回收期(各年收益不同)
17. 偿债备付率
式中 : EBITDA - 息税前利润加折旧和摊销
TAX - 企业所得税
PD - 应还本付息金额
18. 利息备付率=息税前利润/当期应付利息
19. 资产负债率=期末负债总额/期末资产总额
20. 用产量表示盈亏平衡点 BEP( Q)
21.用生产能力利用率表示盈亏平衡点 BEP( %)
22.用年销售额表示盈亏平衡点 BEP( S)
23.用销售单价表示盈亏平衡点 BEP( P)
24. 敏感度系数
式中:△F/F- 不确定因素F的变化率
△A/A- 不确定因素F发生△F变化时,评价指标A的相应变化率
第五章 工程项目投融资
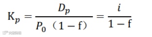
25. 资金成本的计算(优先股)
式中:KP- 优先股成本率;
Po- 优先股票面值;
Dp- 优先股每年股息;
i - 股息率;
f - 筹资费费率(即筹资费占筹资资金总额的比率)。
26. 资金成本的计算(普通股)
式中:Ks- 普通股成本率;
Pc- 普通股票面值;
Dc- 普通股每年股息;
i c – 普通股预计年股利率;
g - 普通股利年增长率;
f - 筹资费费率(即筹资费占筹资资金总额的比率)。
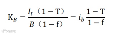
27. 资金成本的计算( 债券成本)
式中:KB- 债券成本率
B - 债券筹资额
It- 债券年利息
ib- 债券年利息利率
T - 公司所得税税率
f - 筹资费费率(即筹资费占筹资资金总额的比率)。
第六章 工程建设全过程造价管理
28. 因素分析法(1、注意因素变化顺序按照题干要求;2、每次替换之后,这个数就保留下来)
29.差额计算法
(1)工程量变动:(1200-1000)×300×30=1800000元
(2)消耗量变动:1200×(310-300)×30=360000元
(3)材料单价变动:1200×310×(35-30)=1860000元
30.费用偏差(CV)。
费用偏差(CV)=已完工程计划费用-已完工程实际费用
已完工程计划费用(BCWP)=∑已完工程量(实际工程量)× 计划单价
已完工程实际费用(ACWP)=∑已完工程量(实际工程量)× 实际单价
CV>0,表示工程费用节约;CV<0,表示工程费用超支。
31. 进度偏差(SV)。
进度偏差(SV)= 已完工程计划费用 - 拟完工程计划费用
已完工程计划费用(BCWP)=∑已完工程量(实际工程量)× 计划单价
拟完工程计划费用(BCWS)=∑拟完工程量(计划工程量)× 计划单价
SV>0,表示工程进度超前;SV<0,表示工程进度拖后。
32. 费用绩效指数(Cost Performance Index,CPI)。
CPI>1,表示实际费用节约;CPI<1,表示实际费用超支。
33. 进度绩效指数(Schedule Performance Index,SPI)。
SPI>1,表示实际进度超前;SPI<1,表示实际进度拖后。
一级造价师一次通关必备资料大全
今日限时扫码免费领
更多一级造价师考试资料,扫描上方二维码添加广联达官方微信领取!!!



