一、案件基本信息
案件号:25-cv-26005;原告:Rea.Deeming Beauty, Inc.;涉案产品:Beautyblender 美妆工具;侵权类型:商标、版权及外观设计专利侵权;起诉日期:2025年12月19日;代理律所:Boies Schiller Flexner LLP。
二、原告及品牌介绍
Rea.Deeming Beauty, Inc. 成立于2010年代初,专注研发高品质美妆与护肤产品,以创新美容科技见长。旗下核心品牌 Beautyblender 以同名美妆海绵闻名,该产品颠覆传统上妆方式——凭借独特材质与椭圆结构,实现妆容均匀服帖、无缝过渡,兼顾专业效果与日常便捷性,在全球彩妆工具市场占据标志性地位 [2] 。
(图片来源:https://beautyblender.com/collections/blenders)
三、涉案产品展示
官网正品示例
(图片来源:https://beautyblender.com/collections/makeup)
平台销售示例
(图片来源:https://www.amazon.com)
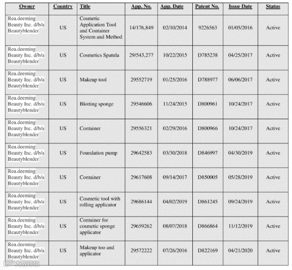
四、知识产权权属信息
本案涉及原告三项核心知识产权:2项版权登记、26项图文商标注册、28项外观设计专利 [4] 。
五、案件进展
本案于2025年12月19日在美国联邦法院纽约南区正式立案,当前处于初始程序阶段 [5] 。

