搜索
首页
大数快讯
大数活动
服务超市
文章专题
出海平台
流量密码
出海蓝图
产业赛道
物流仓储
跨境支付
选品策略
实操手册
报告
跨企查
百科
导航
知识体系
工具箱
更多
找货源
跨境招聘
DeepSeek
首页
>
Heatmap系列1——绘制相关性矩阵热图 | 景杰学术
>
0
0
Heatmap系列1——绘制相关性矩阵热图 | 景杰学术
景杰生物
2020-04-01
0
导读:关注景杰生物科技,关注最前沿蛋白组、修饰组学研究学术资讯、干货。
之前小编和大家分享过采用
Excel
绘制相关性散点图
(详情请戳:
Excel技巧分享篇——绘制相关性散点图
)
,本期小编将进一步教大家
如何绘制
Pearson
相关性系数的
Heatmap
。
首先,我们先了解一下什么是Pearson相关性系数?
Pearson
相关性系数是度量两组数据相关性程度的值。当
Pearson
相关性系数越接近于
-1
为负相关,越接近于
1
为正相关,越接近于
0
为不相关。
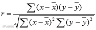
皮尔
什相关系数的方程式是:
其中,
(
1
)
x
及
y
为样本平均数
AVERAGE(array1)
及
AVERAGE(array2)
(
2
)
Array1
、
Array2
代表自变量集合和因变量合集,比如不同比较组的样本的蛋白定量值;
那么,如何获取Pearson相关性系数呢?
Excel
表格中直接附带有
Pearson
相关性系数分析的方程式:
获取两个样本间的
Pearson
相关性系数, 按照如
Excel
公式导入相应样本的定量值即可得到对应的相关性系数
: =PEARSO
N(A:A,B:B)
,即可得到样本
A1
和
A2
的相关性系数
进阶玩法:分析多组样本间的pearson相关性系数热图
以上为获取两个样本间的
Pearson
相关性系数的方法。那么,如何分析多组样本间的
pearson
相关性系数热图呢?
1.确定需要做
Pearson
相关性系数分析的样本数据,以下以
A1
、
A2
、
A3
和
B1
、
B2
、
B3
两组三次重复样本定量值为例说明;
2.先将样本名称在
Excel
中做好热图的二维框架,如下图,横向可以直接将样本名复制一下,纵向粘贴时选择
“
转置
”
即可;
3.将
A1:A1、A2:A1、A3:A1…
等等对应的单
元格输入公式。
=PEARSON($D:$D,D:D)……A1:A1
=PEARSON($E:$E,D:D) ……A2:A1
=PEARSON($F:$F,D:D) …….A3:A1
=PEARSON($G:$G,D:D)……B1:A1
=PEARSON($H:$H,D:D)……B2:A1
=PEARSON($I:$I,D:D)……...B3:A1
秘诀:
$
表示绝对引用。绝对引用的列,拖动时,对应的数据就不会对应改变,这里绝对引用使用方便后续操作!
4.选中所有输入的公式的单元格向右拖动即可获取全部的相关性系数;如下图:
以上我们就完成了
Pearson
相关性系数的计算,接下来添加热图颜色
:
1.首先,我们需要去除公式,即将带有公式的数据复制后粘贴成数值的格式(如下图所示),对应的相关性系数分布在
-1~1
之间(设置单元格保留
2
位小数,个人习惯)。
2.选中所有相关性系数,在开始栏,选择
“
条件格式
”
添加
“
数据条
”
:
3.通过以上操作获得如下阅读框,在
“
格式样式
”
选择三色刻度,
“
类型
”
选择数字,对应的最小值
-1
选择绿色,中间值
0
选择白色,最大值
1
选择红色,如下图:
4.确认之后,如下图,
Pearson
相关性系数热图完成了,之后可以根据个人习惯进行修正,比如添加边框,修改字体等;
如果有精通AI或者PS的,可以继续在修图软件中美化热图,最终存储为自己需要的文件格式。
预告!预告!预告!
下期小编将介绍
Heatmap系列
2
“绘制蛋白表达热图”
,同时会教大家
如何用AI进一步美化热图。
欢迎
关注我们,了解最前沿蛋白组、修饰组学研究学术资讯干货。
往期
干货
回顾
投稿篇
第01课:投稿建议
:
写完文章往哪投?蛋白组学领域期刊介绍与投稿建议
第02课:
上传组学数据
:
投稿前你需要知道的一件小事,如何上传组学原始数据?
第03课:MS-Viewer
:
MCP投稿必备技能,MS-Viewer使用说明
绘图与数据处理篇
第01课:
制作火山图
:
简单两步,用Excel轻松搞定火山图
第02课:蛋白互作网络图
:
手把手教你做蛋白互作网络图
(文字版)、
蛋白互作网络图(视频版)
第03课:画韦恩图
:
教你轻松画韦恩图
第04课:EXCEL技巧
:
干货分享,不可错过的Excel小技巧
第05课:绘制散点图
:
Excel技巧分享篇——绘制相关性散点图
第06课:AI修图:
科研必备: Adobe Illustrator(AI)修图教程
第07课:Maxquant篇:
如何从MaxQuant软件中导出谱图 | 景杰学术
第08课:离子谱图篇:
如何解读b/y离子谱图?| 景杰学术
数据库篇
第01课:植物研究数据库
:
推荐 | 植物科学研究常用数据库与网站
第02课:蛋白数据库
:
干货分享!常用的蛋白数据库,你了解多少?
第03课:KEGG通路数据库
:
干货分享,你知道却不是很了解的KEGG信号通路数据库
第04课:NCBI数据库
:
【干货分享】蛋白组学之NCBI数据库介绍
第05课:iProX数据库
:
干货分享,iProX数据库上传指南
第06课:iGPS软件
:
干货分享!iGPS软件预测激酶分析
第07课:预测修饰位点
:
实用!如何预测蛋白质上的修饰位点?CSS-Palm一下!
第08课:磷酸化修饰
:
如何避免磷酸化修饰位点鉴定的“坑”,你知道吗?
第09课:数据库ID
:
数据库ID知多少?
第10课:ID转换
:
Uniprot中隐藏的神器—ID Mapping
长按扫描二维码↓↓
,了解更多
【人工客服】
、
【项目查询】
、及其他方法案例干货。
【声明】内容源于网络
0
0
景杰生物
景杰生物是一家国际领先的“蛋白质组学驱动的精准医疗”领域的创新型公司,以蛋白质组学为背景,整合表观遗传、生化、免疫与抗体开发、生物信息与人工智能等多学科交叉融合优势,为生命科学基础研究、转化医学、新药开发等提供多层次的技术解决方案及产品。
内容
148
粉丝
0
关注
在线咨询
景杰生物
景杰生物是一家国际领先的“蛋白质组学驱动的精准医疗”领域的创新型公司,以蛋白质组学为背景,整合表观遗传、生化、免疫与抗体开发、生物信息与人工智能等多学科交叉融合优势,为生命科学基础研究、转化医学、新药开发等提供多层次的技术解决方案及产品。
总阅读
73
粉丝
0
内容
148
在线咨询
关注