在工业生产与民用领域,“热量交换”是一个贯穿始终的核心需求——化工车间里原料的加热与冷却、食品厂的杀菌与冷凝、北方供暖系统的热水换热、汽车发动机的散热,都离不开高效的换热设备。在众多换热设备中,板式换热器以其“传热效率高、结构紧凑、拆装灵活”的突出优势,成为近几十年来应用最广泛的换热设备之一,市场占有率连续多年位居各类换热器前列。
但对于零基础的从业者或爱好者来说,板式换热器的“板片组合”“流道设计”“传热计算”等概念往往显得抽象难懂。本文将以“结构-原理-性能”为逻辑主线,用通俗的语言、精准的公式、直观的表格,从基础认知到核心细节,全面拆解板式换热器,让你从零开始掌握这一“节能利器”的核心知识。
一、基础认知:什么是板式换热器?
要理解板式换热器,首先要明确其核心定义:板式换热器(Plate Heat Exchanger,简称PHE)是一种以波纹状金属板为传热元件,通过板片间的狭小流道实现冷热流体热量交换的高效换热设备。其本质是利用金属板片的高导热性,让温度不同的两种(或多种)流体在互不混合的前提下,通过板片壁面完成热量传递。
与传统的管壳式换热器相比,板式换热器的核心差异在于“传热界面”的改变——管壳式依赖管束的外壁面传热,而板式则依赖大面积的板片壁面。这种结构差异直接带来了性能上的优势,我们可以通过一组基础参数对比直观感受:
性能指标
|
板式换热器
|
传统管壳式换热器
|
优势体现
|
传热系数K(W/(m²·℃))
|
2000-6000
|
800-2000
|
传热效率高,相同换热需求下设备更小
|
单位体积传热面积(m²/m³)
|
200-1000
|
40-150
|
结构紧凑,节省厂房空间
|
拆装维护难度
|
易(可单独更换板片/密封垫)
|
难(需拆解壳体,检修周期长)
|
降低维护成本,减少停机时间
|
适用温度范围(℃)
|
-40至300(常规材质)
|
-196至600(常规材质)
|
覆盖绝大多数工业与民用场景
|
从表格可以看出,板式换热器的核心竞争力集中在“高效”与“灵活”上,这与其独特的结构设计密不可分。接下来,我们就从构成板式换热器的核心部件入手,拆解其“高效”的底层逻辑。
二、核心结构拆解:四大系统决定换热性能
板式换热器的结构看似复杂,实则可拆解为“传热核心系统、密封防漏系统、压紧固定系统、辅助连接系统”四大核心部分,各系统协同工作,共同实现稳定高效的热量交换。其中,传热核心系统(换热板片)与密封防漏系统(密封垫)是决定其性能的关键,也是行业内技术创新的核心方向。
1. 传热核心系统:换热板片——热量交换的“桥梁”
换热板片是板式换热器的“心脏”,所有的热量传递都通过板片壁面完成,其材质、板型、尺寸直接决定了换热器的传热效率、耐腐蚀性和使用寿命。
(1)板片材质:根据介质特性“量身定制”
板片需要同时满足“高导热性”“耐介质腐蚀”“足够的机械强度”三大要求,不同行业的介质特性差异极大,因此板片材质的选择必须“对症下药”。目前行业内常用的板片材质及适用场景如下:
- 不锈钢(304/316L):
最常用的基础材质,304不锈钢适用于淡水、蒸汽、食用油等中性或弱腐蚀性介质,广泛应用于暖通、食品加工行业;316L不锈钢因添加了钼元素,耐腐蚀性更强,适用于含氯离子的介质(如海水、盐水)及弱酸性介质,在化工、海水淡化领域常用。 - 钛及钛合金:
“耐腐蚀王者”,对强酸(如硫酸、硝酸)、强碱、海水等强腐蚀性介质具有优异的耐蚀性,但成本较高,主要应用于化工、制药、海洋工程等高端领域。 - 哈氏合金(Hastelloy):
针对极端腐蚀环境的特种合金,可耐受浓盐酸、硫酸、磷酸等强腐蚀性介质,常用于高端化工、核工业等特殊场景,价格昂贵,属于定制化材质。 - 铜合金(黄铜/紫铜):
导热系数高于不锈钢(紫铜导热系数约为398 W/(m·℃),304不锈钢约为16 W/(m·℃)),适用于对传热效率要求极高的场景(如制冷系统),但耐腐蚀性较差,易被海水、酸性介质腐蚀。
材质选择的核心原则是“介质适配+成本平衡”——既不能为了节省成本选择耐蚀性不足的材质(如用304不锈钢处理海水,会在3-6个月内出现点蚀穿孔),也不必盲目追求高端材质(如用钛合金处理淡水,成本增加5-8倍但无实际必要)。
(2)板片板型:波纹设计决定“高效密码”
如果你仔细观察换热板片,会发现其表面并非平整的,而是布满了规则的波纹——这种“波纹结构”正是板式换热器传热效率远高于管壳式的核心原因之一。波纹的作用主要有三点:一是增加传热面积(相同投影面积下,波纹板的实际传热面积比平板高30%-50%);二是破坏流体边界层(让流体从“层流”变为“湍流”,强化对流传热);三是增强板片强度(波纹结构可提升板片的刚性,避免受压变形)。
目前行业内主流的板型按波纹形状可分为三大类,各有适用场景:
板型类别
|
波纹特征
|
传热效率
|
压力降
|
适用场景
|
人字形波纹板
|
波纹呈“人”字形,相邻板片波纹方向相反,形成交叉流道
|
极高
|
较高
|
高粘度流体(如原油、糖浆)、需要强化传热的场景(如化工反应冷却)
|
水平平直波纹板
|
波纹呈水平平直状,流道相对顺畅
|
中等
|
较低
|
低粘度流体(如水、蒸汽)、对压力降敏感的场景(如暖通系统)
|
球形波纹板
|
波纹呈球形凸起,流道分散且多变
|
高
|
中等
|
易结垢流体(如河水、工业废水),球形结构可减少污垢附着
|
除了波纹形状,板片的“角孔”设计也很关键——板片四角通常设有圆形角孔,用于引导流体进出流道。角孔的大小直接影响流体的流通能力,大角孔适用于大流量场景,小角孔则适用于小流量、高压力场景。
(3)板片的“组合逻辑”:流道与流向设计
单块板片无法实现换热,必须通过多块板片组合形成“冷热流体交替流动的流道”。板片组合时,相邻板片的密封垫会形成两个独立的流道,分别通入冷流体和热流体,热量通过中间的板片壁面从热流体传递到冷流体。
根据流体在换热器内的流动方向,板片组合形成的流向主要分为“逆流”和“顺流”两种:
- 逆流:
冷流体与热流体在流道内流动方向相反(如热流体从左到右,冷流体从右到左)。这种流向的优势是“平均温差最大”,传热效率最高,是板式换热器的主流设计方式。 - 顺流:
冷流体与热流体流动方向相同。平均温差较小,传热效率低,仅在特殊工艺要求下(如需要控制冷流体出口温度)使用。
此外,为了适应大流量场景,还会采用“叉流”“多程流”等组合方式,但核心原则都是通过优化流向,最大化冷热流体的平均温差。
2. 密封防漏系统:密封垫——换热器的“防漏卫士”
板式换热器的流道是由相邻板片与密封垫共同形成的,一旦密封垫失效,就会出现“内漏”(冷热流体混合)或“外漏”(流体泄漏到设备外),不仅会导致换热效率下降,还可能引发安全事故(如化工介质混合反应)。因此,密封垫被称为板式换热器的“生命线”。
密封垫的核心技术指标是“耐温性、耐腐蚀性、弹性回复性”,其材质选择需与板片材质、介质特性、工作温度相匹配。常用的密封垫材质及适用范围如下:
- 丁腈橡胶(NBR):
最常用的基础材质,耐油性好,适用于水、油、蒸汽等介质,工作温度范围-20℃至120℃,广泛应用于暖通、食品行业。 - 三元乙丙橡胶(EPDM):
耐腐蚀性、耐老化性优异,适用于酸碱溶液、热水、蒸汽等介质,工作温度范围-40℃至150℃,是化工、制药行业的首选。 - 氟橡胶(FKM):
耐温、耐腐蚀性极强,可耐受强酸、强碱、有机溶剂,工作温度范围-20℃至200℃,适用于高端化工、石油化工领域,但成本较高。 - 硅橡胶(VMQ):
食品级材质,无毒无味,符合FDA标准,适用于食品、制药行业,工作温度范围-60℃至200℃,但耐油性较差。
密封垫的安装方式主要有“粘贴式”和“卡扣式”两种:粘贴式是将密封垫直接粘在板片的密封槽内,结构简单但更换不便;卡扣式则是通过密封垫上的卡扣与板片的卡槽配合固定,无需胶水,拆装灵活,是目前主流的安装方式。
3. 压紧固定系统:保证密封与流道稳定的“骨架”
板式换热器的板片和密封垫需要通过“压紧力”固定在一起,才能保证流道的密封性和稳定性。压紧固定系统主要由“固定压紧板、活动压紧板、压紧螺栓、支架”四部分组成:
- 固定压紧板:
位于换热器一端,与支架固定连接,上面设有冷热流体的进出口接管,是流体进出换热器的“门户”。 - 活动压紧板:
位于换热器另一端,可沿支架上的导杆移动,通过压紧螺栓施加的压力将板片和密封垫压紧。 - 压紧螺栓:
核心受力部件,通过拧紧螺栓产生压紧力,压紧力的大小需根据板片数量、密封垫材质等参数确定——压力过小易泄漏,压力过大易导致板片变形或密封垫损坏。 - 支架:
由导杆、横梁组成,用于支撑板片、压紧板等部件,保证换热器整体结构的稳定性。
压紧固定系统的设计关键是“受力均匀”,部分大型板式换热器会采用“液压压紧装置”代替手动螺栓,可实现压紧力的精准控制,避免因人工拧紧力度不均导致的泄漏问题。
4. 辅助连接系统:流体进出的“通道”
辅助连接系统主要包括“接管、法兰、温度计接口、压力表接口”等部件,其作用是实现换热器与外部管道的连接,并方便对换热器的运行状态进行监测。
接管的尺寸和位置需根据流体流量和现场安装空间确定,通常采用法兰连接(小型换热器也可用螺纹连接),法兰的压力等级需与换热器的工作压力匹配(如1.6MPa工作压力的换热器需配1.6MPa等级的法兰)。温度计和压力表接口通常设置在接管上,用于实时监测进出流体的温度和压力,为换热效果的调整提供依据。
三、工作原理深度解析:热量如何高效传递?
理解了板式换热器的核心结构后,我们再来深入解析其工作原理——本质上,板式换热器的热量传递过程是“热流体放热→板片导热→冷流体吸热”的三步过程,其高效性源于“对流传热强化”与“导热路径优化”的双重作用。
1. 传热的三个基本环节
以“热水加热冷水”的场景为例,板式换热器的传热过程可拆解为以下三个连续环节:
- 热流体对流传热:
热水(热流体)在流道内流动时,通过“对流传热”将热量传递到板片的一侧表面。这一环节的效率取决于热水的流速、流态(层流/湍流)以及热水与板片表面的温差。 - 板片壁面导热:
板片一侧表面吸收的热量,通过“热传导”传递到板片的另一侧表面。这一环节的效率取决于板片的导热系数(材质)和板片厚度——导热系数越大、厚度越薄,导热效率越高。 - 冷流体对流传热:
板片另一侧表面的热量,再通过“对流传热”传递给流道内的冷水(冷流体),完成整个热量传递过程。
这三个环节是串联进行的,整个传热过程的总效率由“效率最低的环节”决定——就像串联电路的总电阻由最大电阻决定一样,传热的总热阻也由三个环节中最大的热阻决定。
2. 核心传热公式:量化理解换热能力
在工程设计中,我们需要通过公式量化板式换热器的换热能力,核心公式为“传热基本方程式”,这也是行业内选型设计的基础公式:
公式中各参数的含义及说明如下:
- Q:
换热器的换热能力(单位:W或kW),表示单位时间内传递的热量,是衡量换热器性能的核心指标。 - K:
总传热系数(单位:W/(m²·℃)),表示单位面积、单位温差下的传热速率,是体现换热器高效性的关键参数——K值越大,传热效率越高。 - A:
换热器的有效传热面积(单位:m²),即所有换热板片参与传热的总面积(单块板片传热面积×板片数量)。 - Δt_m:
冷热流体的平均温差(单位:℃),是推动热量传递的“动力”,温差越大,传热速率越快。
从公式可以看出,要提高换热器的换热能力Q,有三个核心途径:提高总传热系数K(优化板型、增加流速)、增大有效传热面积A(增加板片数量)、增大平均温差Δt_m(采用逆流流向)。板式换热器的设计优化,本质上就是围绕这三个途径展开的。
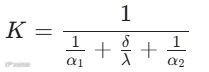
3. 总传热系数K的计算:拆解传热阻力
总传热系数K是衡量板式换热器性能的“黄金指标”,其大小取决于传热三个环节的热阻。热阻是“阻碍热量传递的能力”,与传热系数K互为倒数关系——热阻越小,K值越大。
总热阻由“热流体侧对流传热热阻、板片导热热阻、冷流体侧对流传热热阻”三部分组成,对应的K值计算公式为:
公式中各参数的含义及说明如下:
- α₁:
热流体侧对流传热系数(单位:W/(m²·℃)),反映热流体向板片传递热量的效率,流速越快、流态越接近湍流,α₁越大。 - α₂:
冷流体侧对流传热系数(单位:W/(m²·℃)),与α₁原理相同,反映板片向冷流体传递热量的效率。 - δ:
板片厚度(单位:m),常规板片厚度为0.5-1.2mm,厚度越薄,导热热阻越小。 - λ:
板片材质的导热系数(单位:W/(m·℃)),如304不锈钢λ≈16 W/(m·℃),钛合金λ≈14 W/(m·℃),铜λ≈398 W/(m·℃)。
从公式可以看出,K值的大小受多个因素影响,其中“对流传热系数α₁、α₂”是最容易优化的环节——板式换热器的波纹板型设计,正是通过破坏流体的层流边界层,让流体从“层流”变为“湍流”,从而大幅提高α₁和α₂的值,最终实现K值的提升。这也是为什么板式换热器的K值能达到管壳式的2-3倍。
4. 流体流态的影响:湍流是“高效传热的关键”
流体在流道内的流动状态分为“层流”和“湍流”,对流传热系数α与流态密切相关:湍流时的α值是层流时的5-10倍,因此“让流体处于湍流状态”是板式换热器高效传热的核心手段。
判断流体流态的核心指标是“雷诺数(Re)”,雷诺数大于4000时为湍流,小于2300时为层流。板式换热器的波纹流道设计,可在较低的流速下(通常1-3m/s)就让流体达到湍流状态,具体原因有两点:
- 流道狭窄:
板式换热器的流道间隙通常为2-5mm,远小于管壳式换热器的管束间隙,流体在狭窄流道内流动时,流速相同的情况下,雷诺数更大,更易形成湍流。 - 波纹扰动:
波纹结构会对流体产生强烈的扰动,破坏流体在板片表面形成的“层流边界层”(层流边界层是阻碍热量传递的主要因素),让流体与板片表面充分接触,从而提高对流传热系数。
举个直观的例子:用筷子搅拌热水中的冷水,冷水会更快变热——这就是“扰动强化对流传热”的原理,板式换热器的波纹设计相当于“自动搅拌”流体,实现了高效传热。
四、板式换热器的核心优势与适用场景
基于上述结构与原理,板式换热器形成了独特的性能优势,同时也决定了其适用场景的边界。了解这些优势与边界,是正确选型的基础。
1. 核心优势:为什么选择板式换热器?
相较于管壳式、套管式等传统换热器,板式换热器的优势主要体现在以下五点:
- 传热效率高:
K值是管壳式的2-3倍,相同换热需求下,板式换热器的体积仅为管壳式的1/3-1/5,可大幅节省厂房空间。 - 拆装维护方便:
松开压紧螺栓即可取出板片,便于清洗、更换板片或密封垫,维护周期仅为管壳式的1/5-1/10,特别适用于易结垢的场景(如河水换热)。 - 适应性强:
可通过增减板片数量调整换热面积,满足不同负荷的需求;更换不同材质的板片和密封垫,可适配不同的介质特性,灵活性极高。 - 节能效果显著:
高效的传热性能可减少热源消耗,同时其结构紧凑,占地面积小,间接降低了厂房建设成本。 - 流体滞留量小:
流道内的流体滞留量仅为管壳式的1/10-1/20,特别适用于需要快速响应温度变化的场景(如食品杀菌、化工反应冷却)。
2. 适用场景与边界:这些情况不适合用板式换热器
尽管板式换热器优势突出,但并非所有场景都适用,其主要适用边界如下:
- 适用场景:
工作压力≤2.5MPa(常规型号)、工作温度≤300℃(常规材质)、流体粘度≤100mPa·s的场景,如暖通空调、食品加工、化工冷却、制药提纯、汽车制造等行业。 - 不适用场景:
①高压场景(工作压力>4.0MPa),狭窄流道在高压下易发生泄漏;②高温场景(工作温度>400℃),密封垫易老化失效;③高粘度流体(粘度>1000mPa·s,如沥青、熔融塑料),流体在狭窄流道内流动阻力过大,易出现堵塞;④含大颗粒杂质的流体(颗粒直径>1mm),易堵塞流道,导致换热效率下降。
五、新手常见认知误区:避开选型与使用的“坑”
在板式换热器的选型、使用过程中,很多新手会因对其结构和原理理解不深,陷入认知误区,导致设备运行故障或投资浪费。以下是行业内最常见的三大误区:
误区1:板片数量越多,换热效果越好
【错误逻辑】认为增加板片数量就能无限提高换热能力,因此在选型时盲目要求多增加板片。
【纠正】换热能力Q=K×A×Δt_m,增加板片数量虽能增大传热面积A,但会导致流道阻力增大,流体流速降低,反而可能使对流传热系数α下降,最终导致K值降低,换热效果提升不明显,甚至出现压力降过大、泵功率增加的问题。正确的做法是根据换热需求,通过传热公式计算最优的板片数量,实现“换热效果与压力降的平衡”。
误区2:忽视密封垫的维护,出现泄漏再更换
【错误做法】将密封垫视为“易损件”,平时不维护,只有出现泄漏时才更换。
【纠正】密封垫的寿命与工作温度、压力、介质腐蚀性及拆装次数密切相关,常规密封垫的使用寿命为1-3年。定期检查密封垫的老化、变形情况,在出现泄漏前主动更换,可避免冷热流体混合导致的产品报废(如食品行业)或安全事故(如化工行业),反而能降低维护成本。
误区3:所有流体都能用板式换热器
【错误认知】认为板式换热器“万能”,可用于所有介质的换热。
【纠正】如前所述,板式换热器的狭窄流道对流体的清洁度和粘度有严格要求。例如,用板式换热器处理含大量泥沙的河水时,若未配备过滤器,3-6个月就会出现流道堵塞;用其处理高粘度的原油,会导致压力降过大,泵无法正常工作。因此,选型前必须明确流体的粘度、杂质含量、腐蚀性等参数,避免“错配”。
六、总结:板式换热器的“高效密码”
回顾全文,板式换热器的“高效密码”可总结为“结构优化带来的传热强化”——以波纹板片为核心,通过“增大传热面积、强化对流传热、减小导热热阻”三大手段,实现了远高于传统换热器的传热效率;以密封垫和压紧系统为保障,实现了灵活拆装与稳定运行。
对于零基础的读者来说,掌握板式换热器的核心知识,需抓住“结构-原理-应用”的主线:先明确换热板片、密封垫等核心部件的作用与材质选择逻辑,再理解“对流传热-板片导热-对流传热”的三步传热过程,最后结合传热公式量化其性能,同时避开选型与使用中的常见误区。
随着工业节能要求的不断提高,板式换热器的技术也在持续创新——高效的“宽流道板型”“智能化的在线监测系统”“耐腐蚀的特种材质”等新技术不断涌现,使其适用场景进一步拓展。相信在未来,板式换热器将在更多领域发挥“高效换热、节能降耗”的核心作用,成为工业绿色发展的重要支撑。

