酸是我们日常生活中常常接触到的一种味道,它可以让我们品尝到柠檬的清爽,醋的香醇,酸奶的酸甜,也可以让我们感受到牙齿的酸痛,胃部的不适,甚至是食物的变质。那么,什么是酸呢?为什么我们能够尝到酸味?酸味和化学上的酸性有什么关系?本文将从化学与味觉的角度,为您揭开酸味的奥秘。
在日常生活中,我们常常遇到酸味的食物,如柠檬、酸奶和醋等。酸味通常被描述为酸性物质的味道,具有明显的刺激性和清爽感。
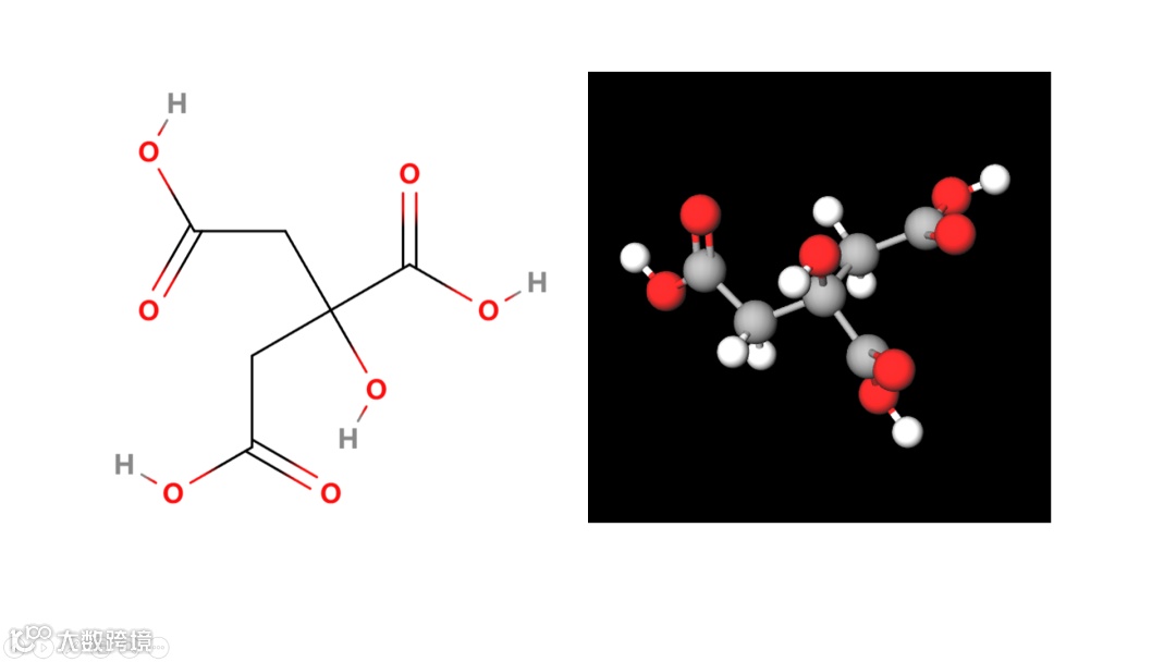
柠檬酸的分子结构与3D模型
醋是一种常见的食酸,被广泛应用于烹饪、调味和食品加工中。醋中的主要风味成分是乙酸,首先,醋是一种良好的食品防腐剂和抑菌剂。乙酸能够抑制细菌和真菌的生长,延缓食物的腐败,保持食品的新鲜和品质。其次,醋在烹饪中有着重要的作用。它可以改善食物的口感和风味,增加食欲。醋的酸性可以中和其他食材的甜味、咸味或油腻感,使菜肴更加平衡和美味。醋还具有一些营养特性。乙酸可以促进胃液的分泌,增加消化能力,改善消化不良。此外,醋还有一些实用的用途。它可以用于清洁和消毒,去除异味和污渍。
醋酸的分子结构与3D模型
人体感知酸味的主要机制是通过味蕾上的酸敏感受体检测溶液中的质子浓度,从而产生神经信号。溶液中的质子浓度是决定酸味强度的关键因素,而不仅仅是酸性基团的数量。酸性物质在水中离解出质子,使溶液呈现酸性。酸性越高,质子浓度越高,从而激活更多的受体,产生更强烈的酸味感知信号。由于柠檬酸的pKa值较小,它在溶液中具有更高的质子浓度。因此,在相同浓度下,人们对柠檬酸的酸味感知会比对碳酸和醋酸更强烈。
常见的有机酸与无机酸的解离常数
酸味是人类味觉的一种重要组成部分,它能够帮助我们辨别食物的新鲜程度和营养价值。酸味的检测主要依赖于味觉细胞表面的氢离子通道。当我们品尝酸味物质时,水合氢离子会与味觉细胞表面的特定受体结合,从而打开水合氢离子通道,使得水合氢离子进入味觉细胞。最终,味觉中枢对信息进行比较和综合分析,对味觉信号进行识别,判断出酸味。
离子通道ASIC1与酸味感知机制
水合氢离子通过抑制钾离子通道,也能够降低细胞内外电位差,增强神经刺激。此外,对于一些弱酸物质,如碳酸等,它们在细胞内会被碳酸酐酶催化分解为碳酸氢离子和二氧化碳,从而增加细胞内的水合氢离子浓度,也有利于酸味检测。这些机制共同构成了人类对酸味的感知过程。
酸味是食品感官属性中的一个重要方面,它既关系到食品工业的发展,也反映了人类文化的多样性。
酸味的来源主要有两类:一类是有机酸,如柠檬酸、乳酸、苹果酸等,它们天然存在于水果、蔬菜、奶制品等食物中,也可以通过人工合成或发酵产生,如乙酸、柠檬烯二羧酸等。有机酸通常具有清爽的果香或奶香,能够增加食物的香气和风味。
另一类是无机酸,如碳酸、磷酸等,它们常用于碳酸饮料或肉制品中。
这些酸味物质在食品中有着多重作用。一方面,它们能够调节食品的pH值,使之保持在适宜的范围内,从而影响食品的色泽、香气、营养和安全性。例如,柠檬酸可以使水果和蔬菜保持鲜艳的颜色,乳酸可以使奶制品保持营养和活性,碳酸可以使碳酸饮料产生泡沫和气泡;另一方面,它们也是一种重要的风味成分,能够提升食物的新鲜度和口感,增加食欲和消化。例如,醋可以使食物具有浓郁的香气和味道,苹果酸可以使苹果汁具有甘甜的口感,磷酸可以使肉制品具有嫩滑的质地。
因此,食品工业需要根据不同的产品特性和消费者需求,选择合适的酸化剂和添加量,以达到最佳的效果。
让我们继续探索化学与味觉的奥秘,解密更多食物中的味道之谜。在未来的旅程中,我们将一同探索甜味、苦味、辣味、咸味和鲜味的奥妙,更深入地了解我们所喜爱的食物背后隐藏的化学宝藏。
整理自铭阳科学实验,版权归原作者所有,如涉及版权问题,请及时联系我们删除。
往期推荐

