
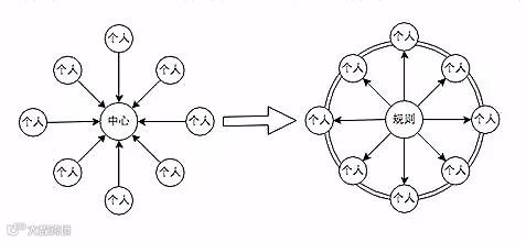
互联网的本质是“多中心”
而现实正走向“中心化”
从去中心化到中心化
从连接走向封闭
这是互联网的大趋势
《大教堂与集市》作者、开源软件运动旗手Raymond发出以下担忧:乔布斯比盖茨更加威胁自由,因为人们害怕微软,却热爱苹果。
潜台词是什么,比尔盖茨的中心化服务已经让人害怕,而乔布斯的中心化服务还得到网民热烈支持,中心化速度只会更快,岂不更让人害怕。
很多人没有意识到,互联网巨头将网友圈养在其私人领地,芸芸网民,已如蝼蚁。

现在的互联网与15年前,甚至8年前的互联网已经完全不同了。
15年前,在那个互联网的原教旨主义时代,你会去互联网上寻找各种体验,那时候上网谓之“冲浪”,有一点野外探险的味道。
那个时候,每个领域都有对标的产品,每个方向都有无限可能,每个网站都有自己的对手。
到了今天,不要说中国人只有 BAT(百度、阿里、腾讯)和TMD(头条、美团、滴滴)。美国一样是Apple\Google\Facebook\Amazon的天下,全球步伐似乎保持一致,人们使用的互联网服务已经越来越“中心化”了,特别是从PC端到移动互联网之后,这种趋势还在加剧。
互联网短短20年所形成的封闭和垄断,已经远远超过了实体经济100多年甚至数百年的资源集中。

作为互联网最早的一代人,我们见识过互联网的蛮荒时代,知道互联网最原本的样子。
但如果再过50年,那些互联网的超级企业已经无所不能,它的影响力将和国家、宗教三足鼎立。
如果你有了孙子,他用的移动设置可能是苹果的,生活在苹果构架的一个App场景之中,吃饭、理发、上学、医疗、坐车、买房……衣食住行什么都有,这是一个能满足他所有需求的世界,唯一他不知道的是,他生活在一个互联网公司构建的App场景之中。他根本不知道,App之外还有App,局域网之外还有互联网。
我们这一代人还有反思的机会,但到了下一代,可能连这种反思的机会都没有,因为他们一出生就沉浸在一个互联网“缸中大脑”里面。
现在看来,我们是乐于互联网“中心化”的,正如Raymond所说的:地球人在欢迎苹果。越发展到后面,娱乐至死的思想会深入骨髓。但就算未来还存在一个自由世界,它告诉了你所属世界的真相,当你面临红蓝药丸选择时,你会选择继续在矩阵中过完娱乐的一生,还是归依举步维艰互联网的原始之邦?就算这些互联网公司随时可以将你格式化,你仍然愿意服从它们,这就是人类的悲剧,我们正在给自己制造囚笼。
互联网已经彻底中心化了,我们以为互联网会给每个人带来自由,现在才发现,互联网其实在剥夺我们的思考。20年来互联网的中心化就是垄断化,最后我们的命运将被控制在几个人手里。

互联网是什么?
它本来是放飞人类思想的地方,但现在却让每一个人迷失在搜索引擎里。
互联网是什么?
它本来是一个去中心化的拓扑结构,但现在却被中心化的超级结点所控制。
互联网是什么?
它本来想让人类获取更多的知识,但现在收获的却是毫无营养的算法内容。
互联网是什么?
互联网想让每个人拥有独立的思考力,但更多看到的却是非理性评论。
……
如果我们回归互联网本质去思考这个问题,那我们会发现自己上的是一个假的互联网。
你担心互联网的过度中心化吗?
—END—
你可曾错过这些内容?


