| 点击上方“CIRS南京瑞旭”快速关注! |
如何评价再生材料生产与使用的环境足迹一直以来都是争议不断的话题,在开始讨论PEF公式之前,让我们先来看看下面两个问题:
欧盟PEF方法中的循环足迹公式CFF正是为解决这些问题而出台的计算规则。CFF(Circular Footprint Formula)的尊容如下:

笔者相信,大多数人看到这张图都会难以理解,太多的符号对我们理解这个公式产生了一定的障碍。
我们需要把这几个公式拆开来看:
-
材料公式(Material),用来计算使用原生材料和再生材料以及进行材料回收的环境影响。
-
焚烧公式(Energy),用来计算产品废弃后不可回收部分用于焚烧的环境影响。
-
填埋公式(Disposal),用来计算产品废弃后不可回收部分用于填埋的环境影响。
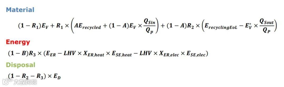
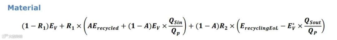
一. 材料(Material)公式
首先:(1-R1)*Ev,
这是对产品原材料获取阶段使用原生材料的环境足迹的计算。
其中
R1在PEF中的定义是:产品生产制造过程中再生材料的投入使用比例。那么“1-R1”很显然就是指产品制造过程中原生材料的投入使用比例。比如如果一个PVC拖鞋,其中再生PVC材料在这个拖鞋全部PVC材料中占比为30%,那么R1=30%,1-R1=70%。
-
Ev在PEF中的定义是:原生材料获取和预处理所产生的排放。Ev原生材料排放计算比较简单,就是:原生材料重量*原生材料因子
故公式中使用原生材料的排放=∑(1-R1)*Ev=∑材料重量*原生材料占比*原生材料因子
其次:R1*[AErecycled+(1-A)Ev*QSin/Qp],
这是对产品原材料获取阶段使用再生材料导致的环境足迹的计算过程。
要理解这个公式,我们首先要理解这里面几个重要的参数含义。
-
A因子的定义:再生材料的负担与收益在供应方和使用方之间的分配系数。通俗点说:A其实是衡量某种可回收材料供需关系的指标。A因子的取值:PEF研究中规定A因子的取值范围应当0.2≤A≤0.8。也就是说某种可回收材料的市场供应量大,A就取值0.8;市场供应量小,A就取值0.2;市场供应量均衡或未知就取值0.5。那么问题来了,我们如何知道某一材料在市场的供求关系?PEF的附录C中有给出一些A的默认值,如需获取,请在本文末尾扫码添加小编微信。
-
Erecycled的定义是:再生材料再生循环过程中的排放。Erecycled再生材料的排放计算与原生材料排放计算一样,也比较简单,即:再生材料重量*再生材料因子
-
Qsin/Qp:替代点输入的再生材料与原生材料的比例。PEF 附录C给出了部分材料的默认值。
故公式中使用再生材料的排放:
=∑R1*[AErecycled+(1-A)Ev*QSin/Qp]
=∑R1*A*Erecycled+R1*(1-A)*Ev*QSin/Qp
=∑A*材料重量*再生材料占比*再生材料因子+(1-A)*材料重量*再生材料占比*再生材料的原生材料因子* QSin/Qp
再来看:(1-A)R2*(ErecyclingEoL-E*v*QSout/Qp)
这是对产品废弃处置阶段材料回收再利用导致的环境足迹的计算过程。
其中:
R2在PEF中的定义是:在之后的系统中将要被回收利用的产品中材料的比例,即未来可能被回收的材料占比
ErecyclingEoL (ErecEoL)在PEF中的定义是: 在生命周期结束阶段循环使用过程(包含收集、分检、运输)所产生的具体排放。
-
Qsout/Qp:替代点输出的再生材料与原生材料的比例。PEF 附录C给出了部分材料的默认值。
我们将这个公式拆分为两个部分:
[(1-A)R2*ErecyclingEoL]这是指产品废弃阶段被回收的材料在回收过程中所产生的排放。
故公式中产品废弃阶段材料回收再利用的排放:
=∑(1-A)R2*(ErecyclingEoL-E*v*QSout/Qp)
=∑[(1-A)R2*ErecyclingEoL]+[-(1-A)R2*(E*v*QSout/Qp)]
=∑(1-A)*材料重量*被回收材料占比*再生材料因子-(1-A)*材料重量*被回收材料占比*该回收材料的原生材料因子*QSout/Qp
(这里我们默认Ev=E*v=原生材料排放,Erecycled=ErecyclingEoL=再生材料排放)
如果采用CFF公式的方法来计算材料回收再利用的排放,因为再生材料因子往往远小于原生材料因子,所以这部分的计算结果通常为负数。
总结来说,我们可以把材料的循环足迹公式做如下标示:

可见,循环足迹公式的应用对我们在产品LCA建模中的“原材料获取”和“产品废弃处置”这两个阶段带来了非常复杂的规则。我们需要掌握自身产品中:
所有原材料中再生成分的含量百分比?即,要掌握R1。这通常需要在产品数据收集中进行供应链数据调查,每个材料都需要让供应商标注是否使用了再生材料?如果使用,那么再生材料的占比是?如何科学地设计供应链碳数据调查问卷,对于CFF的应用最为关键。笔者认为供应链碳数据的收集未来必然是要与物料环保数据MCD的收集工作相结合的,某些行业如汽车,供应商在填报IMDS/CAMDS系统时,就需要针对每个均质材料回答关于再生材料使用的调查问题,这就极大的方便了我们在车辆LCA中应用CFF公式。
所有材料在产品废弃后的去向?有多少百分比材料被回收再利用了?即,要了解R2。这也是个值得讨论的问题,因为企业作为产品制造商,一般无法获取自身产品废弃后有多少材料被回收再利用,有多少材料被填埋,有多少材料被焚烧?此处的初级数据(Primary Data)的获取极为困难,除非企业能够像苹果、三星等品牌建立完善的产品回收网络并有良好的数据统计实践,否则应当采用PEF附录C中的关于R2的默认值,或采用EN 50693中的关于R2的建议值,如需获取,请在本文末尾扫码添加小编微信。

a. 被回收再利用,
b. 被垃圾厂焚烧,
c. 被垃圾厂填埋。
那么CFF公式的下面两行就是说明如何对焚烧和填埋的环境影响进行计算。
二. 焚烧(Energy)
焚烧公式是用来计算产品废弃处置阶段被焚烧处理的那部分材料的环境影响。
R3在PEF中的定义为:在生命周期结束阶段用来能源回收的产品中材料的比例,即未来不能被回收再利用,但可以焚烧的材料占比。这部分数据可以采用PEF附录C或EN 50693中的数值。值得注意的是:PEF附录C不区分材料种类,仅根据欧盟国家给出焚烧和填埋的占比,而EN 50693是根据材料种类给出R3的建议值。
B:PEF中默认为0。
-
此外,(Eer-LHV*Xer,heat*Ese,heat-LHV*Xer.elec*Ese,elec) 这个整体,我们可以理解为焚烧的环境影响,选择该因子时,需要关注其是否扣除了产生的热和电的收益。
![]()
三. 填埋(Disposal)
填埋公式是用来计算产品废弃处置阶段被填埋处理的那部分材料的环境影响。
故公式中产品废弃阶段材料填埋的排放=∑(1-R2-R3)*材料重量*填埋因子
![]()
最后,笔者认为:如果需要制作符合PEF要求的产品LCA报告,CFF公式会给LCA工程师带来巨大的建模负担,每一个均质材料都会是一个小模型,传统LCA软件都将无法从容应对此计算规则。

