随机子空间识别法是一种先进的、基于环境振动数据的时域模态参数识别方法,也是近年来国内外模态分析专家和学者讨论的一个热点。该方法结合了系统识别、线性代数和统计学的理论,通过矩阵计算,从状态空间方程中识别动态系统,适用于环境激励条件下结构模态参数的识别。该方法不但能准确识别系统的频率,而且能很好的识别系统的模态振型和阻尼,使识别结果更有意义和实用价值。
SSI方法基于离散时间状态空间方程,是直接处理时间序列的时域方法,输入由随机白噪声代替。对于处在环境激励情况下的土木工程结构而言,在实际测量过程中,环境激励是不可测量的随机激励(输入),而且强度基本和噪声影响相似,无法将两者区分清楚。
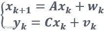
因此,将输入项和噪声项合并可以得到随机子空间方法的基本模型—离散时间随机状态空间模型:
建立了离散时间随机状态空间方程后,需要根据测量得到的响应数据识别出系统矩阵A与输出矩阵C,进而得到系统的模态频率、阻尼与振型向量。
本文以某长江大桥实测数据为例,简要说明DHDAS随机子空间模态分析功能的操作流程与技术特点,结构模型建立、参数保存、振型展示、模态验证等模态通用操作功能不在本文赘述。
步骤一 :
结构模型建立。
步骤二:
测试数据选择。
步骤三:
确定数据长度(数据起止时刻),生成Hankel矩阵。
步骤四:
由Hankel矩阵生成Toeplitz矩阵,并对Toeplitz矩阵进行奇异值分解,得到“奇异值—模型阶数”曲线。确定系统模型的阶数,该阶数决定了后续稳定图计算的最高阶次。
影响奇异值分解的噪声主要包括:
① 模型的不准确性。实际系统对于激励的反应,不一定100%满足随机状态空间模型,由此会造成一定误差。
② 测量误差。在实际测试中由于测试环境的影响和传感器等测试仪器的影响,测量误差是不可避免的。
③ 计算时数值精度引起的误差。
④ 试验采集的数据总是有限的,模型的输出协方差需要采用近似估算。
步骤五:
由Toeplitz矩阵奇异值分解得到的结果可以求解系统状态矩阵 ,生成稳定图,进而求解得到频率、阻尼与分块振型向量。
稳定图把不同阶数模型的模态参数画在同一幅图上,在相应于某阶模态的轴上,高一阶模型识别的模态参数同低一阶模型识别的模态参数相比较,如果特征频率、阻尼比和模态振型的差异小于预设的限定值,则这个点就称为稳定点,组成的轴称为稳定轴,相应的模态即为系统的模态。
步骤六:
将由每组测试数据辨识得到的频率、阻尼与部分振型向量进行组合,得到最终的频率、阻尼与振型。
江苏东华测试技术股份有限公司
【关于东华测试】
国内测试行业A股上市公司
微信号:dhtest
官网:http://www.dhtest.com/
客服热线:400-6565-228
欢迎关注东华测试服务号

