
阻尼是指任何振动系统在振动中,由于外界作用或系统本身固有的原因引起的振动幅度逐渐下降的特性,以及此一特性的量化表征。阻尼比的计算方一般分为时域自由衰减法和频域半功率带宽法。
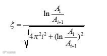
自由衰减法主要是基于时域信号的振动幅值对数衰减对阻尼比进行计算,其理论计算公式如下:
①对于波形数量应“不少于3个”,其目的是通过多个波形计算来减少误差,提高阻尼比的分析精度。
②自由衰减法的一个关键适用条件就是要求测试信号为单自由度的自由衰减信号,而结构振动测试的信号往往是含有多阶频率的振动信号,而每阶振动频率都有相对应的阻尼比。因此,对结构实测振动信号进行时域自由衰减法计算阻尼比时,应将振动信号分离成需要分析阻尼比对应频率的单频振动信号。
③目前基于时域自由衰减法计算阻尼比参与计算的幅值有三种形式:仅采用波峰值、仅采用波谷值、同时采用波峰和波谷值,如图2所示。东华DHDAS软件时域自由衰减法仅采用波峰值。
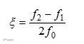
半功率带宽法是在自振频谱图上对每一阶自振频率采用半功率点带宽求取阻尼参数的方法,如图3所示,其理论计算公式如下:
半功率带宽法也称3dB法,该方法常常具有一定的误差,主要原因在于该方法理论上有一定的近似,其次由于FFT频谱是具有一定频率间隔的离散谱,因此计算谱峰的主频和半功率带宽都不可避免地存在误差,尤其在低频和小阻尼的情况下误差更为显著。因此,采用半功率带宽法计算阻尼时,应提高其分辨率∆f,按照相关规范要求,频率分辨率∆f应不大于1%的自振频率。
很多工程师在使用DHDAS软件进行阻尼比计算时,往往会遇到两种方法计算出的阻尼比结果相差较大的情况,针对此问题,在这里我们以一组实测数据为例,讲解使用DHDAS软件进行阻尼比计算的过程及注意事项,也希望能对用户现场试验提供帮助。
首先,我们来观察一下这组信号的时域曲线整体图和局部放大图,如图4和图5。
从时域曲线我们可以明显看出这段信号并不是单一频率的衰减信号,而是由多个频率叠加的复杂信号,我们从如图6所示的频谱图中也能证实这一点。
自由衰减的阻尼比计算方法理论上是适用于单自由度系统的信号,即针对单频的自由衰减信号可以采用自由衰减法,如果直接对该复杂信号进行自由衰减法的阻尼比计算显然是无法准确得到各阶频率的阻尼比的,因此在进行阻尼比计算前,我们可以将该信号进行处理,提取出某阶频率,然后再对该频率进行时域阻尼比计算。此处,我们以66Hz处的共振频率为例进行阻尼比计算。
如何从多频信号中分离出需要进行计算的单频信号?这就需要使用到DHDAS软件中的数字滤波功能。
使用软件中的“IIR滤波器”对信号进行滤波,由于我们选定的频率是66Hz,也就是说通过滤波我们要将信号中66Hz所对应的幅值完全保留下来,而要将低于和高于66Hz的共振频率处的幅值都要尽量衰减掉。因此,在这里我们选用带通滤波器,具体滤波器的参数设置如图7。在预览图中,我们可以通过在红线上点击鼠标来查看设计好的滤波器幅值衰减特性,可以发现在约66Hz处,阻带衰减为-0.0005dB,即我们将信号中66Hz的幅值毫无损失的保留了下来(其实应该是45Hz到70Hz的频带内阻带衰减基本都是0dB)。而其他的共振频率(主要是22Hz和251Hz处的共振频率)的幅值均被大幅衰减。(预览图中的黑线是相移特性曲线,这里我们只关心幅值变化特性,所以不用管它)
滤波器设计完成,现在我们来观察一下滤波后的时域和频率曲线,如图8和图9是时域曲线和时域曲线的局部放大,图10是滤波后的频谱图,图11是滤波前后的频谱对比,可以看出原来的多频信号已经成功分离出66Hz左右的单频信号,且幅值没有衰减,此时可以进行时域阻尼比计算了。
选择软件中的“时域阻尼比”图标,在右侧勾选滤波后的信号,图谱中选择双光标,此时图谱中会出现包络线;然后移动光标,使包络线能够紧密的包络住衰减曲线的每一个波峰和波谷,且包含尽可能多的波形数量,其目的通过多个波形计算来减少误差,提高阻尼比的计算精度。操作完毕后可以在图谱中读取阻尼比数值。如图12所示,时域法得到的阻尼比为0.813%。
选择软件中的“阻尼比计算”图标,在此图谱中可以进行频域阻尼比计算,其方法就是半功率带宽法。在右侧勾选滤波后的信号,图谱中同样选择双光标,移动光标,使66Hz的峰处于两个光标之间,此时在图谱中可以读出阻尼比数值。如图13所示,频域法得到的阻尼比为0.819%。
我们再来看一下没有滤波的频域阻尼比的计算结果,如图14所示,频域法得到的阻尼比为0.815%。
从计算结果来看,DHDAS软件的这两种阻尼比计算方法对于同一信号计算出的结果是一致,误差很小。
(1)在滤波器设计的频率设定中,我们可以根据所要保留的频率值,先设定通带下边界频率和通带上边界频率,然后在设定阻带下边界频率和阻带上边界频率。如我们要保留的是66Hz的频率,则可以先设定通带下边界频率为40Hz,通带上边界频率为80Hz,然后在设定阻带下边界频率为20Hz,阻带上边界频率为120Hz。在设置过程中,软件的预览窗口可能提示滤波器不稳定,没有关系,待设置完成后,提示会消失。
(2)在使用频域法计算阻尼比时,需要选择较多的谱线数,其目的是提高频率分辨率,用更多的谱线来描述共振频率曲线,这样在进行计算时,软件所能取得的半功率点就越精确,一般要求在半功率点处的频率值需要5根以上的谱线来描述,这样阻尼比计算也就越准确。如图15和图16所示的阻尼比结果对比。
好了,以上就是DHDAS软件两种阻尼比计算方法的对比分析的全部内容了,各位小伙伴们,你们学会了吗?有兴趣的小伙伴,可以自己采集一段信号来尝试一下,也可以向我们索取这组信号来进行尝试,当然前提是你的DHDAS软件需要先具备阻尼比计算和数字滤波的功能。