

索与其它刚性结构构件不同,具有以下特点:
① 索没有抗压强度,只承受拉力;
② 索抗拉强度的大小除与其本身的截面特性有关之外,还与其自重及外部作用有关;
③ 伴随着较小的应变和应力,索会产生很大的位移,体现出较强的非线性特性;
④ 索会产生松弛和应力损失。
索张拉结构施工过程中,必须准确测量拉索张力以保证工程安全和施工顺利进行。如在斜拉桥和用扣索加劲的拱桥施工中,必须调整索力以达到索力和线型的优化。另一方面,在工程结构使用过程中,拉索往往由于腐蚀和振动等原因受到损害,导致拉索的索力松弛。作为张拉结构的重要构件,拉索的损害将会给结构带来灾难性的后果。受到损坏的拉索,索力将发生变化,而变化的索力会影响结构内力分布和结构线型,因此索力可以作为结构健康状态评估的重要指标,在整个工程施工和使用期限内,都必须准确地了解索力状况。
振动法测索力是目前测量斜拉桥索力应用最广泛的一种方法。其原理是以环境振动或者强迫激励拉索,传感器记录下拉索振动的时程数据,并有此识别出索的振动频率。而索的拉力与其固有频率之间存在着特定的关系。于是,索力就可由测得的频率经换算而间接得到。
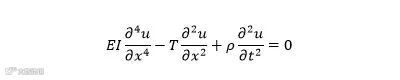
索在张紧状态下,其自由振动方程为(1):

式中,x为沿索方向坐标,u(x,t)为索上各点在时刻t的横向位移;EI为索的抗弯刚度;T为索拉力;ρ为索的线密度。
假定索的边界条件为两端铰接,则方程(1)的解为式(2):


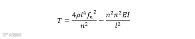
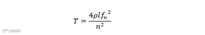
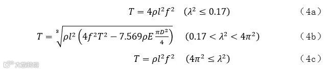
公式(3)到推导过程是建立在将拉索理想化为“张紧的弦”,但是由于忽略了拉索实际存在的垂度和抗弯刚度的影响, 有时会带来不可接受的误差, 需要对弦公式进行修正。考虑垂度和抗弯刚度后, 索的振动方程呈现非线性, 因此有必要寻求简单实用的由频率换算索力的工程公式。
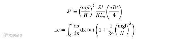
对于斜拉桥拉索而言可以忽略抗弯刚度的影响,但必须考虑垂度的影响,因此采用索振动的一阶位型, 用能量法推导出考虑索垂度影响时拉索基频与索力的关系, 进而用曲线拟合方法建立了索力计算实用公式。
最终,考虑垂度影响的斜拉桥索力计算公式如下:



图1 DH5906W无线索力测试系统实物照片

图2 索力分析模块设置界面

图3 索力分析模块结果显示界面


图4 索力测试现场照片
【关于东华测试】
国内测试行业A股上市公司
微信号:dhtest
官网:http://www.dhtest.com/
客服热线:400-6565-228
欢迎关注东华测试服务号


