
本文主要是通过纹波电流的计算,然后通过电容的热等效模型来计算电容中心点的温度,在得到中心点温度后,也就是得到电容的工作点最高的问题后,通过电容的寿命估算公式来估算电容的设计寿命。
首先,电容等效成电容、电阻( ESR )和电感( ESL )的串联。关于此请参考其他资料,接下来演示电容寿命计算步骤:
1 、纹波电流计算,纹波电流计算是得到电容功率损耗的一个重要参数,在设计电容时候,我们必须首先确定下来电流的纹波大小,这和设计规格和具体拓扑结构相关。 铝电解电容常被用在整流模块后以平稳电压,我们在选择好具体拓扑结构后,根据规格要求得到最小的电容值:

控制某一纹波电压所需的电容容值为:

P: 负载功率(单位 W )
注意:这是应用所需要的最小电容容值。此外,电容容值有误差,在工作寿命期内,容值会逐步降低,随着温度降低,容值也会降低。
必须知道主线及负载侧的纹波电流数据。可以首先计算出电容的充电时间。
fmain 是电网电流的频率。
电容的放电时间则为:

充电电流的峰值为:

dU 是纹波电压( Umax – Umin )
则充电电流有效值:

接下来计算放电电流峰值和有效值。

最后计算得出:整流模块后纹波电流:

这个有效值只是纹波电流的计算式,在复杂的市电输入的情况下,我们必须考虑各阶谐波的纹波有效值,也就是说要通过各阶谐波的有效值叠加,才是最后得到的电容纹波寿命计算的纹波,也就是需要将电流傅立叶分解。
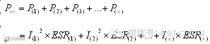
2 、计算功率损耗
在得到纹波电流后,我们可以计算各阶电流的纹波损耗,然后将各阶纹波求和:

3 、计算电容中心点温度
得到功率损耗后,我们由电容的热等效模型(参考其他资料)计算中心点温度:

其中:
Th 电容为电容中心点温度 , 为电容最高温度,其值直接影响到电容寿命,是电容寿命计算公式中的重要参数。
Rth 为电容的热阻,其值和风速等有关 ,Ta 表示电容表面温度。
P Loss 为纹波电流的中损耗。
4 、计算电容寿命
得到电解 电容中心点最高温度后,我们可以计算电容的寿命,各个电容生产厂商会有不同的电容寿命的计算参数,也有不同的电容寿命修正值,现我们介绍 阿列纽斯 理论来计算电容寿命,其公式是说,电容工作没下降 10 度,其寿命增加一倍,反过来也就是电容温度升高 10 度,电容寿命减小一倍:

Lop 为电容工作寿命,即设计寿命
Lo 为电容在最大温度时的寿命
Tmax 为电容的最大工作温度,在电容的说明书上会有电容的最大温度值
Th 为电容的实际工作时候的温度,也即以上计算出来的电容中心点温度。
以上 Lo 和 Tmax 都是电容产品规格书上的数据, Th 我们已经计算出来, 故可以得到电容的设计寿命。其中 阿列纽斯 理论是一个经验总结的理论,各个厂商可能有自己的寿命计算公式,可以向各个厂商咨询,在本栏目的电容设计中也有介绍各个知名厂商的电容寿命计算公式,各位可以参考。
以上是电容寿命估算的一般步骤,当然,如果已经设计好了产品,我们还有一种方法来估计电容寿命,即已经有产品,我们来检验电容寿命设计是否合理,我们可以通过测试电容中心点温度的方法,然后通过电容的寿命计算公式来检验。
1.值得收藏的电子产品20多种认证,你都知道吗?
2.环境及可靠性试验设备选择的五大基本原则;
3.电阻器常见的失效模式与失效机理;
4.LCD屏的电磁兼容整改及设计技术分析;
5.工程师必读:如何在型号研制过程中控制电子元器件的可靠性;
6.给企业带来巨额损失的PCB“黑盘”,其实可以规避;
7.EMC整改分析——散热结构引起的ESD问题;
8.电子元件的可靠性与可靠性试验;
9.LED驱动电源如何进行EMC整改?;
10.信号完整性100条经验规则;
11.滤波器选择需注意的十个问题;
12.产品EMC辐射发射超标原因有哪些?。
13.浅谈HALT(高加速寿命筛选试验)在可靠性设计中的应用......
直接在公众号(需先关注)对话框回复序列号即可查看,例如“1”。
喜欢就关注我们吧!欢迎并感谢您分享转发朋友圈!
欢迎添加我们的微信服务号:pxke01








喜欢本文请點個贊
并分享到您朋友圈哦!

