一、测试目的
1、电缆线路是电力系统的重要组成部分,其工频参数(主要指正序和零序阻抗)的准确性关系到电网的安全稳定运行,如电缆线路正、零序阻抗参数选取不当,一旦系统运行发生短路故障时,将严重影响到系统继电保护的可靠性,特别是零序阻抗的准确性对电网接地保护的正确性将产生关键的影响。其工频参数如正序参数、零序参数和互感参数,是计算系统短路电流、继电保护整定、电力系统潮流计算和选择合理运行方式等工作的实际依据。(公众号:输配电线路)
2、由于高压电缆其品种与规格的多样性、金属护套接地方式的不同以及布置环境等因素的影响,序阻抗计算非常复杂,而且往往理论计算值与实测值存有较大的差异,因此直接以电缆的出厂参数作为线路参数是不合适的。因此电缆参数需要在高压电缆线路建成后、投运前进行实测。
二、危险点分析及控制措施
1、开工前必须确认高压电缆线路所有工作已完成、线路无工作后方能进行电缆参数测试。
2、测量工作开始前应使用静电电压表测量临近带电线路的该电缆线路的感应电压,并将测得数据告知配合测试的短路侧工作人员,以做好相应防护措施。(微信:shudianxianlu)
3、主测试现场和配合短路侧应保证通讯畅通,加压、拉合接地刀闸均应告知对侧并得到许可后方可进行。
4、如需登高接线时,应系好安全带,防止高空坠落。
三、测试前准备工作
1、了解被试电缆线路的整体情况,根据现场试验条件,编制电缆线路参数试验方案。测量参数前,应收集电缆线路的有关设计资料,如线路名称、电压等级、电缆长度、电缆型号、标称截面以及金属护套交叉互联接地方式等,了解该电缆线路电气参数的设计值或经验值。有条件时,还应对测试现场进行实地查看,以确定测试设备的放置及测试所需的检修电源位置。根据现场实际情况确定参数测试主现场及配合现场,并结合现场实际情况做出测试方案。(公众号:输配电线路)
2、测试仪器、设备的选择。
1)主要测试设备:线路参数测试仪,三相调压器,单相隔离变压器及整套试验接线;
2)辅助测试设备:三相电源线、单相电源线(带漏电保护开关)、静电电压表、万用表、接地线、短路线、放电棒、绝缘杆、温湿度计等。
3、办理工作票并做好试验现场安全措施。变电站值班人员允许开始参数测试工作后,工作负责人应向其余试验人员交代工作内容、带电部位、现场安全措施、现场作业危险点,以及明确人员分工及试验程序。
4、记录测试现场的环境温度及湿度。
四、现场测试步骤及要求
一般应测量的参数有直流电阻R、正序阻抗Z1、零序阻抗Z0 、电容C ,对于距离较近、平行段较长或同沟槽、同隧道敷设的双回电缆线路,还需测量双回电缆间的互感阻抗Zm。
对于110kV及以上电缆线路在进行参数试验时,其金属护套的接地方式应为电缆正常运行时的方式。(微信:shudianxianlu)
1. 电缆电容的测量
1)测量电容必要性
电缆的电容与绝缘厚度有关,当电缆导体截面不变时,绝缘厚度减少则电容增加,电缆绝缘受潮后电容量也会增加,因此,测量电容量可以推断电缆绝缘的厚度是否符合规定,并判断绝缘质量的优劣;对于长电缆线路,它的电容量还影响线路的电压调整率和电缆线路的传输性能;当电缆线路上要进行带电作业时,为了操作人员的安全,需要核算其电容电流。(公众号:输配电线路)
2)测量电缆电容的方法
可以采用交流充电法、交流电桥法、数字式万用表等,也可应用QF1-A型电缆探伤仪测量,一般采用交流充电法,也可根据设备条件选择。
2.1)交流充电法
交流充电法是指电缆线路不通过负荷电流时,测量电缆导体电压和流过电缆绝缘的电容电流,从而计算出电缆线路的电容值。为了减少测量误差,电压表应跨接在电流表前面。(微信:shudianxianlu)
a)测量分相屏蔽型电缆对地电容接线如下图:

图 交流充电法测量分相屏蔽型电缆对地电容
图中,PA为毫安表;PV为电压表;T为调压器;C为每相电缆对地电
容。每相电缆导体对地电容可以用以下公式求得:
C=I×1000/(2πfU)
式中 :
f——电源频率,Hz;
U——电压表读数,V;
I——电流表读数,mA。
b)测量统包型电缆电容:
1.测量三芯对金属护套的电容量接线见图

图 交流充电法测量电缆导体对金属护套的电容
2.电缆一芯对金属护套的电容Cy可用以下公式求得:

式中 :
f——电源频率,Hz;
U1——电压表读数,V;
I1——电流表读数,mA。
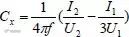
3.测量一芯对其他两芯及对金属护套的电容见下图:

图 交流充电法测量电缆一相导体对其他两相导体和金属护套的电容
测得的电容量可用以下公式求得

式中
Cx ——电缆导体间电容,F;
Cy——电缆一相导体对金属护套的电容,F;
I2——电缆一相导体对其他两相导体的电容电流,A;
U2——电缆一相导体对其他两相导体及金属护套的电压,V;
f——电源频率,Hz。
将公式以上公式整理后得到

如果Cx与Cy的单位为微法,电流单位为毫安,电压单位为伏,电源频率f=50Hz代入公式(1)、(3),则可以将计算公式改写为:


2.2)交流电桥法
交流电桥法是将单臂电桥的两个电阻和标准电容器及电缆连接成桥式回路,见图。图中,G为音频振荡器;R1、R2、R3、R4为电桥内电阻臂;Cn为标准电容器;B为耳机;Cx为电缆一相导体对金属护套或屏蔽层的电容;Cy为电缆一相导体对其他相导体的电容。

(a)测量电缆三相导体对金属护套的电容

(b)测量一相导体对其他相导体和金属护套的电容;
图 交流电桥法测量统包型电缆电容的接线
音频振荡器G的振荡频率一般采用800~1000Hz。当调节电桥电阻使耳机B内接收不到声音时,则电桥达到平衡,电缆的电容可以用下列公式计算:


式中:
R1、R2——测量电缆三相导体对金属护套电容时,电桥两个电阻臂的读数,Ω;
R3、R4——测量电缆一相导体对其他相导体和金属护套电容时,电桥两个电阻臂的读数, Ω。
统包型电缆线路在运行中一相导体对中心点的总电容

交流电桥法测量电缆电容可以适用于较长的电缆线路。
2.3)用数字式万用表测量
用数字式万用表也可以测量电缆线路的电容量,电容的数字化测量有很多方法,通过测量电容的容抗值求出电容量的方法使用方便,测量精度也较高,下图为容抗法测量电容原理框图。

图 容抗法测量电容的原理
被测电容Cx接入运算放大器的反相输入端,其容抗Xc为运算放大器的输入阻抗。反馈电阻Rf的阻值根据电容的量值决定。正弦波发生器产生400Hz的正弦信号U1输入到放大器中。运算放大器的输出U01为

由电容器的容抗Xc=1/(2πfCX)可得:
U01=2πRfU1CX=K1CX
式中K1=2πRfU1为已知。
为了消除其他频率的干扰,让U01通过400Hz的带通滤波器后,再经过交直流转换器转换成直流信号U。设运算滤波器和交直流转换器的转换系数为K2,则
K2=K2U01 =K1 K2CX
可见,输出的直流电压和被测电容值Cx成正比。只要合理设计并适当调节电路参数,即可由测得的U值直接读取被测电容值。
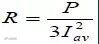
2. 直流电阻试验
测量直流电阻是为了检查电缆线路的连接情况和导线质量是否符合要求。(双臂电桥可以用于电缆芯导体的电阻测量)(公众号:输配电线路)
将电缆线路末端三相短路,如下图所示,在电缆线路始端使用双臂电桥逐次对AB、BC、CA相间直流电阻进行测量。

图 直流电阻试验接线图
根据以下公式计算出单相直流电阻:



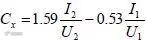
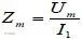
3. 正序阻抗试验
对于正序阻抗,三相阻抗值基本相同,在测量每相的电压、电流后,即可算出阻抗。为获得电阻R1、电抗X1和阻抗角φ1,可采用两个功率表测三相功率的方法。

图 正序阻抗试验接线图
试验接线图如上图所示。将线路末端三相短路(短路线应有足够的截面,且连接牢靠),在线路始端施加三相工频电源,分别测量各相的电流、三相的线电压和三相总功率。(微信:shudianxianlu)
取测得电压、电流三个数的算术平均值,功率取两个功率表的代数和,计算公式为:





式中:
Uav —— 三相电压平均值,V;
Iav —— 三相电流平均值,A;
P —— 两个功率表的代数和,W;
Z1 —— 正序阻抗,Ω;
R1 —— 正序电阻,Ω;
X1 —— 正序电抗,Ω;
L1 —— 正序电感,H;
φ1 —— 正序阻抗角,°。
4. 零序阻抗试验
测量零序阻抗的试验接线图见下图。测量时将线路末端三相短路接地(合上接地刀闸亦可),在线路始端三相短路接单相交流电源,分别测量电流、电压和功率。(公众号:输配电线路)

图 零序阻抗试验接线图
取测得电压、电流和功率三个数,分别代入下列公式计算:





式中:
U0 —— 电压值,V;
I0 —— 电流值,A;
P —— 功率,W;
Z0 —— 零序阻抗,Ω;
R0 —— 零序电阻,Ω;
X0 —— 零序电抗,Ω;
L0 —— 零序电感,H;
φ0 —— 零序阻抗角,°。
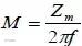
5. 互感阻抗试验
在双回平行敷设的电缆线路中,若其中一回电缆线路中通过不对称短路电流,可能通过互感作用,在另一回电缆线路感应电压或电流,有可能使继电保护误动作。因此对于距离较近、平行段较长或同沟槽、同隧道敷设的双回电缆线路,当金属护套为不完整的交叉互联系统时,应对双回线路间的互感阻抗Zm进行测量。(公众号:输配电线路)
接线图如下图所示。将两回线路末端三相各自短路并接地(合上接地刀闸亦可),在其中一回线路施加试验电压,并测量电流,在另一回线路用高内阻的电压表测量感应电压。

图 互感阻抗测量接线图
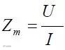
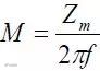
并利用测得的数值按下式计算互感阻抗Zm和互感M:


式中:
U —— 非加压线路的感应电压,V;
I —— 加压线路电流,A;
f —— 试验电源的频率,Hz。
五、测试结果分析及测试报告编写
1. 测试结果分析
电缆参数受电缆金属护套的交叉互联方式和电缆敷设方式影响很大,且不同电缆厂家的产品参数也不尽相同,在确认上述两方面情况后与厂家的理论参考值进行比较分析。(微信:shudianxianlu)
2. 测试报告编写
测试报告填写应包括以下项目:测试时间、测试人员、天气情况、环境温度、湿度、委托单位、电缆线路名称、电缆型号、电缆长度、直流电阻、正序阻抗、零序阻抗、互感阻抗等,备注栏写明其它需要说明的内容。
六、测试注意事项
1. 直流电阻试验
每一相电缆线路直流电阻测出后,根据式下式换算成20℃时单位长度的直流电阻值,并与出厂值进行校核。

式中:
Kt = 254.5 / ( 234.5+t ) —— 铜导体时;
Kt = 248 / ( 228+t ) —— 铝导体时。
直流电阻测试虽然简便,但无法消除试验短接线的导体电阻和接触电阻的影响,会给测量带来一定的误差,此误差对大截面短电缆的测量结果影响尤为突出。为减小接触电阻的影响,准确测量电缆的直流电阻,电缆线路末端的短路线应有足够的截面,并使短路线尽可能的短,且连接牢靠。(公众号:输配电线路)
2. 序阻抗试验
在进行正序、零序阻抗试验时,试验电压应按线路长度和试验设备容量来选取,应避免由于电流过小而引起较大的测量误差。(微信:shudianxianlu)
电缆线路的零序阻抗与高压电缆的金属护套接地方式有关,因此测试时电缆线路金属护套的接地方式应为电缆正常运行时的方式。金属护套单端接地与两端直接接地或交叉互联接地,其零序阻抗相差很大。这是由于金属护套单端接地时,零序电流只能通过大地返回,大地电阻使线路每相等值电阻增大;当金属护套两端直接接地或交叉互联接地时,零序电流是通过金属护套返回,因此零序阻抗小得多。
3. 互感阻抗试验
在测量双回电缆线路间的互感时,由于线路上可能存在较大的干扰电
压,非加压线路上测得的电压为感应电压和干扰电压的叠加,测量时
必须排除干扰的影响才能获得准确的结果。
在现场试验中通过对试验电源的倒相,可达到消除干扰电压对测量结
果影响的目的。如图互感阻抗测量接线图所示,即在线路L1不加压的情
况下,先测量线路L2上的干扰电压U0,然后线路L1加压,读取电流I1
和线路L2始端对地电压U1;切断电源,将电源倒相后再次加压,当电
流达到I1时,测量线路L2始端对地电压U2。(公众号:输配电线路)
排除干扰后的感应电压Um和互感阻抗Zm按下式计算:



----本文经输配电线路公众号授权转载----

道亨时代公众号主要服务于电力行业从业者,愿景为大家分享相关技术,部分作品或内容来自或参考相关文章,如涉及版权问题,请联系我们及时处理,由此带来的不便敬请谅解!
同时感谢公众号合作伙伴的鼎力支持!

道亨时代微信公众号:BJDHSDKJ
投稿和联系邮箱:25458091@qq.com

道亨时代&恒华科技 出色源自专业

