
弧垂计算主要有悬链线法,还有通过悬链线简化的斜抛物线法与平抛物线法。本文只进行简单介绍,控制条件计算方法在后续中推出,内容参考了孟遂民教授编著的《架空输电线路设计》。
一、等高悬点架空线的弧垂、线长和应力

1. 等高悬点架空线的弧垂
架空线上任意一点的弧垂:

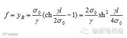
在档距中央,弧垂有最大值:

式中:
σ0 -- 架空线的水平应力,MPa;
γ -- 架空线的比载,MPa/m;
l -- 档距,m;
x1 -- 架空线上任意一点距离悬挂点B点的距离,m。
2. 等高悬点架空线的线长

式中:
σ0 -- 架空线的水平应力,MPa;
γ -- 架空线的比载,MPa/m;
l -- 档距,m。
3. 等高悬点架空线的应力
架空线上任意一点的应力:

悬挂点A、B的应力:

式中:
σ0 -- 架空线的水平应力,MPa;
γ -- 架空线的比载,MPa/m;
x -- 距离最低点的距离,m。
二、不等高悬点架空线的弧垂、线长和应力

1. 不等高悬点架空线的弧垂
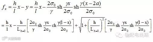
不等高悬点架空线任意一点处的弧垂:

档距中央弧垂

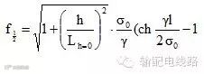
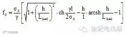
最低点弧垂

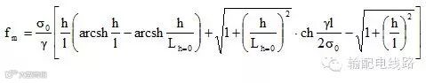
最大弧垂

对于等高悬点架空线,有:

即等高悬点时,最大弧垂=档距中央弧垂=最低点弧垂。
式中:
σ0 -- 架空线的水平应力,MPa;
γ -- 架空线的比载,MPa/m;
h -- 悬挂点高差,m;
x -- 距离低悬挂点的距离,m;
a -- 最低点距离低悬挂点的距离,m;
b -- 最低点距离高悬挂点的距离,m;
x -- 距离低悬挂点的距离,m;
l -- 档距,m。
2. 不等高悬点架空线的线长
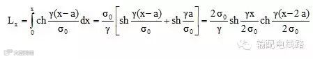
任意一点至左悬点间的线长:

整档线长:

不等高与等高挂点线长的关系:

式中:
σ0 -- 架空线的水平应力,MPa;
γ -- 架空线的比载,MPa/m;
h -- 悬挂点高差,m;
x -- 距离低悬挂点的距离,m;
a -- 最低点距离低悬挂点的距离,m;
b -- 最低点距离高悬挂点的距离,m;
x -- 距离低悬挂点的距离,m;
l -- 档距,m。
3. 不等高悬点架空线的应力
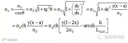
1) 架空线上任一点的应力

档距中央应力:

2) 架空线上任两点应力之间的关系
架空线最低点O处应力,X=a 时

任意一点

任意一点应力

任意2点总应力差:


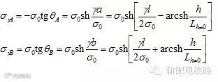
3) 架空线悬挂点处的应力

4) 悬挂点架空线的倾斜角和垂向应力

悬挂点应力的垂向分量:

式中:
σ0 -- 架空线的水平应力,MPa;
γ -- 架空线的比载,MPa/m;
h -- 悬挂点高差,m;
x -- 距离低悬挂点的距离,m;
a -- 最低点距离低悬挂点的距离,m;
b -- 最低点距离高悬挂点的距离,m;
x -- 距离低悬挂点的距离,m;
θ-- 倾斜角(θA、θB),度;
l -- 档距,m。
三、架空线弧垂、线长和应力计算公式的简化
1. 斜抛物线法

1) 斜抛物线弧垂公式
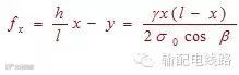
任意一点弧垂:

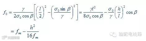
档距中央弧垂:

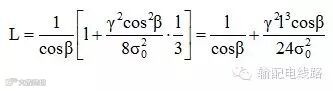
最大弧垂

最低点弧垂

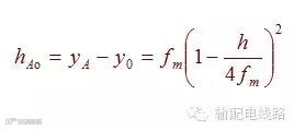
悬挂点A与最低点高差

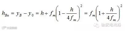
悬挂点B与最低点高差

2) 斜抛物线应力公式
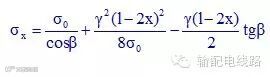
任一点处的应力

3) 斜抛物线的线长公式

式中:
σ0 -- 架空线的水平应力,MPa;
γ -- 架空线的比载,MPa/m;
h -- 悬挂点高差,m;
x -- 距离低悬挂点的距离,m;
a -- 最低点距离低悬挂点的距离,m;
b -- 最低点距离高悬挂点的距离,m;
x -- 距离低悬挂点的距离,m;
β -- 高差角,度;
l -- 档距,m。
2. 平抛物线法

1) 平抛物线弧垂
任意一点弧垂

最大弧垂与中央弧垂

2) 平抛物线线长

3) 平抛物应力
任意一点的应力

式中:
σ0 -- 架空线的水平应力,MPa;
γ -- 架空线的比载,MPa/m;
h -- 悬挂点高差,m;
x -- 距离低悬挂点的距离,m;
a -- 最低点距离低悬挂点的距离,m;
b -- 最低点距离高悬挂点的距离,m;
x -- 距离低悬挂点的距离,m;
β -- 高差角,度;
l -- 档距,m。
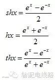
公式中采用的双曲函数:

----本文经输配电线路公众号授权转载----


道亨时代&恒华科技 出色源自专业

