
比载是指导线单位长度、单位截面上承受的荷载称为比载,其单位是N/mm2*m。
作用在导线上的机械荷载有自重、冰重和风压,这些荷载可能是不均匀的,但为了便于计算,一般按沿导线均匀分布考虑,在导线计算中,常把导线受到的机械荷载用比载表示。
由于导线具有不同的截面,因此仅用单位长度的重量不宜分析它的受力情况。此外比载同样是矢量,其方向与外力作用方向相同,所以比载是指导线单位长度、单位截面积上的荷载。
常用的比载共有七种,分别为自重比载、冰重比载、导线自重冰重总比载、无冰时风压比载、覆冰时分压比载、无冰有风时综合比载、有冰有风时总比载。
根据作用力方向的不同,比载可分为垂直比载、水平比载和综合比载。
1.自重比载:导线本身重量引起的比载,按下式计算:

式中:
g1:导线的自重比载,N/m.mm2;
q:每公里导线的质量,kg/km;
S :导线截面积,mm2。
2.冰重比载:导线覆冰时引起的比载。
导线覆冰时,由于冰重产生的比载称为冰重比载,假设冰层沿导线均匀分布并成为一个空心圆柱体,冰重比载可按下式计算:

式中:
g2:导线的冰重比载,N/m.mm2;
b:覆冰厚度,mm;
d:导线直径,mm;
S:导线截面积,mm2。

覆冰的圆柱体
设覆冰圆筒体积为:

取覆冰密度:
则冰重比载为:

3.导线自重和冰重总比载:导线覆冰时自重和覆冰合比载;
导线自重和冰重总比载等于二者之和。
g3=g1 + g2
式中:
g3:导线自重和冰重比载总比载,单位:N/m.mm2。
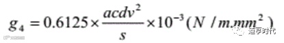
4.无冰时风压比载:无冰时导线受风压产生的比载;
无冰时作用在导线上每平方毫米的风压荷载称为无冰时风压比载,可按下式计算:

式中:
g4:无冰时风压比载,N/m.mm2;
C:风载体系数:
当导线直径d< 17mm时,C=1.2;
当导线直径d≥17mm时,C=1.1;
V:设计风速,m/s;
d:导线直径,mm;
S:导线截面积,mm2;
a:风速不均匀系数,采用下表所列数值。

作用在导线上的风荷载是由空气运动所引起的,表现为气流的动能所决定,这个动能的大小除与风速大小有关外还与空气的容重和重力加速度有关。
由物理学中证明,每立方米的空气动能表示关系为:

式中:
q:空气动能(N/m2),
V:风速(m/s),
m:空气质量(kg/m3)
当考虑一般情况下,假定在标准大气压、平均气温、干燥空气等环境条件下,则每立方米的空气动能为

实际上每立方米的空气动能还只是个理论风压,而作用在导线或避雷线上的横方向的风压力要用下式计算:

式中:
Ph—迎风面承受的横向风荷载(N)。
式中引出几个系数是考虑线路受到风压的实际可能情况,如已说明的风速不均匀系数α和风载体型系数C等。
另外:
K表示风压高度变化系数,若考虑杆塔平均高度为15m时则取1;
θ表示风向与线路方向的夹角,若假定风向与导线轴向垂直时,则θ=90°;
F表示受风的平面面积(m2).
设导线直径为d(mm),导线长度为L(m),则F=dL×10-3。
由此分析则导线的风压计算式为:
相应无冰时风压比载为:

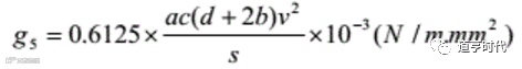
5.覆冰时风压比载:导线覆冰时受风压产生的比载;
覆冰导线每平方毫米的风压荷载称为覆冰风压比载,此时受风面增大,有效直径为(d+2b),可按下式计算:

式中:
g5:覆冰风压比载,N/m.mm2;
C:风载体型系数,取C=1.2;
6.无冰有风综合比载:自重与风压形成的综合比载;
无冰有风时,导线上作用着垂直方向的比载为g1和水平方向的比载为g4,按向量合成可得综合比载为g6,如下图所示:

无冰有风综合比载
g6称为无冰有风时的综合比载,可按下式计算:

式中:
g6:无冰有风时的综合比载,N/m.mm2。
7.覆冰有风综合比载:覆冰时受风压产生的综合比载。
导线覆冰有风时,综合比载g7为垂直比载g3和覆冰风压比载g5向量和,如下图所示:

覆冰有风综合比载
可按下式计算:

式中:
g7:有冰有风时的综合比载,单位:N/m.mm2。

道亨时代&恒华科技 出色源自专业

