自然环境中的金属腐蚀多涉及电荷转移反应,即是电化学过程。电化学反应是腐蚀过程中重要,也是最为复杂的化学反应。腐蚀研究从早期的形貌观察、失(增)重法,逐渐开始应用电化学方法监测腐蚀过程,明确腐蚀机制,这是腐蚀科学的重要进步。对于腐蚀反应而言,因非平衡和多反应耦合特征,很多电化学技术应用受限,在腐蚀中最重要也是被广泛使用的技术通常有两种:极化曲线和电化学阻抗谱。电化学噪声技术因数据解析复杂,与腐蚀反应之间的物理化学图像建立困难而应用受限。实际上,极化曲线和电化学阻抗谱在腐蚀体系的重复性欠佳,解析获得的参数,如极化电阻(Rp)和电荷转移电阻(Rct)等,与腐蚀电化学反应本征参数缺乏直接的联系。因此有必要从电化学的基础出发,进一步明确腐蚀电化学测试分析的基础:腐蚀方程的科学性和局限性,并进一步明确电极反应与腐蚀反应的区别与关联。
腐蚀过程中的电化学反应通常为氧化性物种(如O2,H+)被还原和金属被氧化形成离子过程,以及后续的化学反应等,电化学反应可如下表示:
阴极反应:O+ne=R
阳极反应:M =Mn++ne
总的腐蚀反应:O+M=R+Mn+
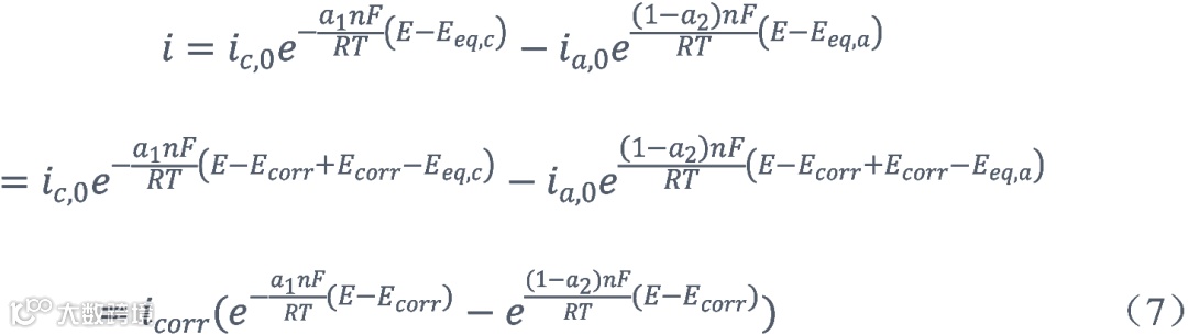
对于这两个电极反应,假设都是基元电化学反应,则反应的电流和电位满足Butler-Volmer公式的电流-过电位方程,可表达为:
式中:i表示电流,C,浓度;E,电位;F,法拉第常数;R,气体常数,T,温度;a1,阳极反应的传递系数;a2,阳极反应的传递系数;下标c表示阴极反应,a,阳极反应;O,氧化物种;R,还原性物种,(0,t),距离电极表面0,t时刻(电极表面);eq,平衡;上标*,表示本体;ic,0和ia,0分别为阴极反应和阳极反应的交换电流密度,并取阴极电流为正。这两个方程是描述腐蚀电极表面发生的腐蚀反应的本征方程,表明各自反应的物种浓度及其空间分布对电流大小有显著影响,但实际应用不方便。但是考虑到腐蚀电极的两个电化学反应在同一个电极上发生,因此具有相同的电位,并作如下重要假设:(1)腐蚀电极的自腐蚀电位与阴阳极反应的各自平衡电位差值较大,可以分别忽略阴极反应的阳极分支和阳极反应的阴极分支;(2)表面浓度与本体浓度近似相等,前提是动力学速率小且电位偏离各自平衡电位较小。此时,对于腐蚀发生的阴阳极反应分别简化为:
根据自腐蚀电流icorr和腐蚀电位Ecorr的物理意义,可知:
则腐蚀电极的电流与电位的关系为:
定义:
极化电位:
阳极Tafel斜率:
阴极Tafel斜率:
则:公式7可写作:
这个方程被称之为腐蚀基本方程,具有简洁对称美。式中icorr和Ecorr为自腐蚀电流和自腐蚀电位,其物理意义为没有外加极化电位时,腐蚀电极阴极反应和阳极反应耦合电流大小相等时的电流及其对应的电位。腐蚀方程是腐蚀电化学测试与分析的基础,特别是极化曲线的解析,可以快速获得icorr,进而快速得到实时腐蚀速率信息,但该基本方程只是形式上与Butler-Volmer方程具有相似性,实质是两个反应耦合后的动力学方程(没有平衡态),而Butler-Volmer则表达的是一个电化学反应(严格讲要求是基元反应)的氧化和还原两个方向(存在平衡态)。必须明确的是:腐蚀方程作为极化曲线和电化学阻抗谱等腐蚀电化学测试分析的基础,但实际是建立在多步假设的基础上得到的,特别是关于极化电位的要求,以及对表面浓度的简单处理,这通常与实际情况并不符合。另外特别注意a1与a2并不相等,因这两个传递系数分别对应两个不同的电化学反应。已有文献报道传递系数介于0.1至0.9,这可能是腐蚀测试中Tafel斜率高达几百mV/dec的原因。
对于浓度项,或者扩散控制下的腐蚀电化学研究,经典腐蚀电化学基于菲克第一定律和稳态传质过程,并假设扩散层的浓度处于线性,则:
处于极限扩散时,
式中iL为极限电流,1为扩散层厚度,联立两式,可得:
则式3应该表达为:
对于阳极反应的式4,因为就是金属自身的溶解,一般不认为存在扩散控制。通过此时的处理,不能获得式1或者式2的腐蚀方程,icorr的解析一般通过图解法获得。但是在这个推导过程隐含了一个重要假设:即扩散层厚度是一定的。这与实际体系也不符合,实际上扩散层内厚度与测试时间有关,且浓度区间也非线性,因此极限扩散电流也不是一定值。
实际上对于O+ne=R的电化学反应,其电化学动力学基本方程应该具有如下形式(Butler-Volmer公式的电流-电位方程):
该式表明电化学反应的动力学基本参数是且仅是k0,a和E0。而在溶液中的传质过程,在忽略电迁移和强制对流的前提下,均可用菲克第一和第二定律描述,即表明浓度梯度需要考虑,扩散系数是重要的参数。对于腐蚀而言,腐蚀电化学需要确定的参数应该是阴极反应和阳极反应各自的标准速率常数k0,传递系数a和标注电极电位E0,而不是简单默认a为0.5,且用icorr则为腐蚀动力学参数。推导过程已经表明icorr与各自阴阳极反应的交换电流、反应物种的浓度梯度、传递系数、各自的平衡电位以及自腐蚀电位等有关,因此实际体系应用腐蚀基本方程要做判断,即是否满足电位和浓度条件,前提是研究清楚阳极反应和阴极反应,以及可能后续的化学反应。
中山大学材料学院曹发和教授 供稿
江苏东华分析仪器有限公司
您还可以通过如下方式联系我们:
邮箱:dhc@dhtest.com
官网:www.dhfenxi.com
客服热线:400-8282-932
支持东华分析 树立民族品牌

