

透过大数据分析川普个人推特的推文,结果十分惊人。
若要形容甫就任美国第45任总统的川普(Donald Trump),“推特狂人”肯定是个不会被遗忘的说法。
川普靠着他的推文,在总统选战中喂养着成千上万的网民,并凝聚了一股坚不可摧的势力,最终庞大的隐性网民也透过选票让他在选战中胜出,跌破一票民调专家的眼镜。
若要来分析选赢的关键因素,他对于个人推特账号(@realDonaldTrump)的经营,功不可没。不过这一切都是他一个人办到的吗?
源起
Twitter网友Todd Vaziri发现,川普个人推特账号的发文,其实来自两种不同装置,分别是iPhone以及Android手机,并认为“言词激烈”的推文都来自Android手机;发言内容比较正常的,都来自iPhone。
这一点,引发了数据分析师David Robinson的注意。他也发现,川普发表祝贺内容时,是透过iPhone;而用来抨击选战对手时,则是透过Android手机。
到底川普个人推特推文的差异,从何而来?这些推文是不是由他一个人包办,透过大数据分析,一切都无法隐藏。

Twitter网友发现川普推文分别来自iPhone与Android手机端,且发文内容风格迥异。
发文时间对比
David Robinson将川普推特的推文导入分析工具、并去除少数透过网页端、iPad所发的推文,仅留下透过iPhone、Android手机推文的数据后,留下来自iPhone的628条推文,以及来自Android手机的762条推文。将发文时间纳入分析后发现:
川普习惯在早上发推文;而他的助理或团队习惯在下午或晚上发推文。

就推文时间分析来看,可看出来自Android手机的推文时间大多落在早上,与来自iPhone端的推文时间区间不同。
发文习惯对比
转发推文部分,来自Android手机的推文,习惯用双引号将整句引用的话给包起来(推文中有500多条没有用双引号,200多条有用双引号);而来自iPhone的推文,几乎没有用双引号。
川普转推惯用双引号,他的团队则没有这个习惯

川普转发推文多爱用双引号。
从分享网页链接(link)与图片的方面,来自Android手机与iPhone的推文习惯也有所不同。
数据显示,来自iPhone的推文大多都会附上图片与link,并且内容多以宣传为主;来自Android手机的推文,多没有附图以及link,更多的是仅含文字的内容。
川普的推文都以文字为主,少附link以及图片

川普的推文很少用链接以及图片,来自iPhone的推文习惯不同,常附图片。
文字对比
就发推文时使用的文字来看,以下是来自Android手机的推文常见字:

接着来分析一下来自iPhone与Android手机的推文文字:

由此可发现,带有标签(#)的推文基本上来自iPhone;iPhone推文常见宣传类用词,例如“参加、明天、晚上七点”等;而来自Android手机的推文,常常包含强烈情绪性字眼,例如“差劲(badly)、疯了(crazy )、软弱(weak)、傻瓜(dumb)”等等。
情感分析
不仅用词有别,来自Android手机以及iPhone所发的推文,在情感上也有很大差异。
透过用到 tidytext 当中的NRC Word-Emotion Association辞典,数据分析师将推文的用词跟“积极、消极、愤怒、期待、厌恶、恐惧、快乐、悲伤、惊讶、信任”这十种情绪进行了关联分析,结果发现:
Android手机的推文中(共4901个字),总共有321个字与「愤怒」的情感有关、有207个字与厌恶的情绪有关。
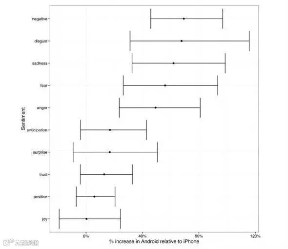
而透过Poisson test 分析后,更可明显发现Android手机的推文更喜欢使用强烈情绪性的字眼,若透过95%信赖区间来看(下图),就能看出Android手机推文与iPhone推文的不同。
从结果来看,Android手机端的推文,使用“厌恶、悲伤、恐惧、愤怒”等消极情绪字眼的比例比iPhone的推文高出40%~80%。

以95%信赖区间来看来看Android手机推文与情绪的关联性。

Android手机推文爱用情绪性字词的比例比iPhone推文高出很多。
●总结
从川普个人推特账号的单则推文中,可能看不出个所以然。然而在大数据的分析下,却能很清楚看出脉络。
由上述分析结果可看出,川普个人推特的推文,来自Android手机的发文与来自iPhone的发文,明显是由不同人所写,因为发推时间、推文内容、标签使用率、转发方式都截然不同。
且来自Android手机的推文也显得更为激烈与消极。
众所周知,川普个人用来发推的行动装置,就是三星的Galaxy系列手机。
基于上述分析,几乎可以确定来自Android手机的推文是由川普本人所发;而来自iPhone的推文,则应该是出于他助理团队之手。
如果你记忆犹新,在上任之前,川普就曾表示就任总统后最怕的事就是:不能再用他的Android手机。
因为担心情报走漏的缘故,美国总统都需要使用安全部门提供的加密手机。且据了解,美国前总统奥巴马无法使用他的加密手机来发推文。
而究竟川普是否能在上任后续用他的Android手机来透过“推特治国”,相信将是未来好一阵子,媒体都将相当关注的焦点。
本文来源:DZone
阅读推荐《用推特治国是一种什么样的体验?》
冲动鲁莽、凭本能行动、相信有广泛而隐蔽的阴谋在对他进行暗中破坏,渴望斗争,更倾向于其助手所称的“另一种事实”,特朗普上任没几天就已经表明,他几乎是一位史无前例的白宫主人。
到了晚上,他待在白宫里看电视或是浏览社交媒体,通过Twitter发布他对自己所看到的东西做出的即时判断。他关注零星的意见,觉得它们和经过仔细研究得出的报告一样重要。他诋毁情报专业人员的结论,然后又否认自己这么干过。他在冲突和混乱中如鱼得水。
每隔四年或八年,这座首都都要努力去适应新总统的各种方式,对于它来说,特朗普算得上是个大挑战。很少有哪个总统会像特朗普这样,对各种随机的意见做出反应。不管他是因为打开电视看到了什么而发的推特,职业政府官员和国会议员都得从那些随机的推文里揣测政策。
虽然当特朗普还是候选人的时候,这种习惯就已经导致了议论和惊讶,但如今他已经是国家统帅,他那140个单词的声明带有奥林匹亚山闪电的力量。
在刚过去的24小时里,他威胁要派遣联邦力量进入芝加哥,并发誓要调查他自己提出的不实说法——11月有300万到500万的非法投票,令他输掉了普选。即便在他每天签署政令推翻各部门施行已久的政策之时,他也没停止过咆哮。
特朗普的顾问说,他这些愤怒的、确实有些冲动的做法对于选民来说很有吸引力,因为这表明他是一个积极行动的人。在他们看来,有些人抱怨他抓住虚构的选票造假或就职典礼人数问题不放,只是在想方设法削弱他的合法性。
然而,他自己的一些顾问私下里也担心他总是挑起不必要的战斗,以及乱发消息。他们讨论过要拿走他的手机,或者取消他的Twitter帐户,但是这位总统打算保留自己对世界发言的渠道,对这些建议不屑一顾。
其结果每天都在显示出来。周二晚8点,比尔·奥雷利(Bill O'Reilly)在他的福克斯新闻台(Fox News)节目中播放了一个关于芝加哥犯罪危机的片段,访问了一位专家,探讨总统是否可以介入。这位嘉宾称芝加哥的暴力是“浩劫”。
到了晚上9:25,特朗普发出了一则推文,使用了奥雷利的节目里一闪而过的统计数据。“如果芝加哥不能处理现在这场可怕的‘浩劫’——2017年就有228起枪击,42人丧生(比2016年增加24%)——我会派联邦的人进去!”总统写道。
周二,记者追问白宫新闻秘书肖恩·斯派塞(Sean Spicer),如果总统真的相信假选票广泛存在,那么为什么没有下令调查,后来,在周三上午,特朗普发了一条怒气冲冲的推文,说自己会这么做的。
不同于以往任何总统,特朗普是电视与社交媒体的产物,是一个迷恋尼尔森(Nielsen)收视率的真人秀明星,凭着一个强悍的Twitter帐户,他得到了这片国土上最高的官位。
林登·B·约翰逊(Lyndon B. Johnson)总统曾在椭圆办公室里放了三台电视,这样他可以同时观看所有三个电视网的夜间新闻。但是,随着24小时有线电视时代的到来,其他总统证明自己应该避开无休止的电视喧嚣,以免出现反应过度的情况。
乔治·W·布什(George W. Bush)总统总是说他尽量不看电视新闻。(“对不起了,”他会对电视记者这么说,露出一个难为情的笑容。)奥巴马则选择在深夜看ESPN台的“体育中心”(SportsCenter)节目。
特朗普却不然,他虽然不怎么读书,却是电视和社交媒体的忠实消费者,它们显然指导着他的行为。例子比比皆是。
大选之后,他正在为担任总统做准备,一天,福克斯新闻在上午6:25播出了一个大学生燃烧美国国旗的片段。上午6:55,特朗普在Twitter上写道:“不应该容许任何人烧国旗——如果他们这么做,就得承担后果——要么失去公民资格要么坐一年牢。”
同样,关于新的空军一号和F-35战斗机高昂成本的推文,也是在新闻报道之后很快发出,而不是在政策简报之后。
至少到目前为止,特朗普已经表明,他不相信其他总统在他们自己身上施加的限制。周三,道琼斯(Dow Jones)工业平均指数超过两万点后,由工作人员管理的特朗普官方Twitter帐号发了一则消息,宣布这“很棒!”,虽然其他总统都遵循不评论每日股市涨跌的原则。
芝加哥这件事的宣言也提供了一个例子。通常来说,威胁派遣联邦力量进入美国最大的城市之一——特朗普先生没有说明他是指国民警卫队、联邦调查局,还是任何其他机构——这种事可不是能随便说说的。在卡特里娜飓风期间,布什花了至关重要的几天时间,与助手私下讨论是否需要接管路易斯安那州的国民警卫队。
特朗普认为,在发表评论之前没有必要进行这样的深思熟虑。正如他在自己的就职演说中所说的那样,现在是“行动的时刻”。但他的行动与言辞是否一致,在他就职不到一个星期的时间里,情况尚不分明。(《纽约时报》)
资料来源: Michael D. Shear自华盛顿、Maggie Haberman自纽约报道
版权声明:本文旨在分享传播优质内容,版权归原作者所有,如涉及版权等问题,请联系删除
启发企业战略定位、挖掘商机和产生合作机会,这场适合总裁、董事长、CEO及企业创始人参加的高端房地产论坛即将于2017年2月25日(星期六)在上海新发展亚太JW万豪酒店举办
本次论坛议题包括:2017年中国经济形势及房地产市场趋势分析、新形势下一线/二线/三线城市房地产企业的挑战及合作机遇、住宅/商业/办公/物流/酒店等地产的投融资前景与合作、房地产不良资产处置、资产运营和管理、证券化和房地产基金的合作机遇、资本全球化时代的海外房地产投资机遇与挑战、房地产与互联网及其他新技术的融合等。
届时,近百位房地产、金融机构以及相关上下游新兴企业决策层、管理层、城市运营商、土地开发商以及相关行业精英人士将齐聚一堂,高峰论剑,展开思想碰撞,探讨合作机遇。



