
声学是物理学分支学科之一,是研究媒质中机械波的产生、传播、接收和效应的科学。近期小编将分几期向大家介绍声学振动的一些基本概念,本期关注——声压与声压级。
一
声压
声压是由于声波的存在而引起的大气压力增值,用符号p表示。单位是Pa或N/m2。
听阈声压也称为基准声压 p0=2×10-5Pa (1000Hz),即标准化额定听阈,表示有正常听力的人,平均能听到的1000Hz的最低声音。在水中p0=1μPa。通常p和p0指有效值而非瞬时值。

dB标尺
由于可检测到的声压幅值范围很大,而人耳对声压刺激的反应与对数规律有关,习惯上在表示声学参数时,都是取测量值和参考值的比率的对数值,即采用dB标尺。

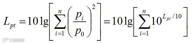
二
声压级

p—实际声压
痛阈声压和声压级分别为p=20Pa,Lp=120dB (1000Hz)
阈声压和声压级分别为p=20Pa,Lp=120dB (1000Hz)
1.相同声压级加法
两个同声压级相干单频声源叠加,声压级增加6dB。
两个同声压级非相干声源叠加,声压级增加3dB。
工程上遇到问题一般是加3dB。
2.不同声压级加减法
查表:

例:L1=55dB , L2=51dB
ΔL=4dB,对应增量L+=1.4dB
所以:55dB+51dB =(55+1.4)dB =56.4dB
L1=60dB, L2=53dB
ΔL=7dB,对应减量L-=1dB
所以:60dB-53dB =(60-1)dB =59dB
计算:

例:55dB+55dB=10lg(1055/10+1055/10)=58dB
55dB+40dB=10lg(1055/10+1040/10)=55dB
60dB-53dB=10lg(1060/10-1053/10)=59dB
两个声源声压级相差15dB以上,则小的声压级影响可忽略。



微信ID:donghuatest
长按左侧二维码关注