
在工程中,应力、应变是很常用的机械参量。通过对机械零件和机械结构的应变、应力测量,可以分析其受力状况和工作状态,验证设计计算,确定工作过程和某些物理现象的机理。
目前应变测量面临的一些问题:
01 测点信息与通道的匹配
02 长导线状态下的影响
对于应变测量,肯定需要考虑长导线影响问题,软件实际计算是按仪器内部的桥压进行计算的,长导线会导致应变片两端产生压降,测试的应变值偏小。
对于长导线的影响,可以通过多种方式去消除其影响:
● 通过人为测量导线电阻,输入软件中,计算应变过程中,将导线电阻影响扣除;
● 通过硬件电路实现导线电阻测量,自动填充到软件中,计算应变过程中,将导线电阻影响扣除;
● 直接将桥压输入到应变片两端,消除导线电阻的影响;
● 通过恒流激励,通过电阻的变化,换算到应变变化,消除导线电阻的影响。
03 高温引起电阻的剧烈变化
在高温应变测量中,应变片阻值会随着温度的变化而变化,变化可能超过桥路的量程,将导致传统惠斯通电桥平衡不了,无法进行测量。
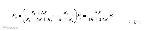
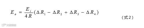
如下为惠斯通电桥,Eo为输出端电压,Ei为供桥电压,输出端电压随着桥臂电阻的变化而变化,如式(1)所示,由于ΔR<<R,可以忽略分母中的ΔR项和分子中ΔR的高次项,对于最常用的全等臂电桥,可简化为式(2)。
在高温测试中,ΔR是不可以忽略的,故高次项不能忽略,需要考虑非线性影响,用常规惠斯通桥路进行应变测量会带来误差。



04 通道状态的检查
05 后期通道的定期校准
01 测点与传感器智能识别功能
02 导线电阻自动测量及修正
03 四线制供桥与双恒流激励
04 系统自检功能
05 应变程控自动校准功能
【关于东华测试】
国内测试行业A股上市公司
微信号:dhtest
官网:http://www.dhtest.com/
客服热线:400-6565-228
欢迎关注东华测试服务号服务号


