
首先,我们需要理解什么是PV?
PV(Present Value),也就是现值,举例来说就是未来n期的1块钱用一定的折现率贴现后等于现在的多少钱。
例如,现在的1块钱值钱和2年后的1块钱值钱,哪一个更值钱?在经济学中和现实生活中,我们可以很容易的发现,现在的1块钱更值钱。其中涉及到投资机会成本和通胀率的问题。
假设,你会在2年后得到1块钱,那这1块钱对于现在来说值多少钱呢?折现率r为5%:
现值公式为:PV= FV/(1+r)n
PV=1/(1+5%)2 =0.907029
其次,我们需要理解什么是资产价值?
国外的教科书有一句经典的理论:“When you buy real estate, you are buying a set of assumptions about the future”. 你当前购买的资产,实际上代表着你购买了这个资产未来产生的收益。由此,我们可以得出一个总的前提:
Property Value = Present Value of Expected Future Cash Flows

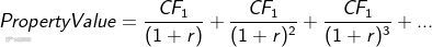
1.资产的价值 = 未来每年的现金流CF(cash flow)的现值总和,那么我们的资产估值最理想化的公式就出来了:(不考虑现金流增长率)
(其中,CF1表示第一年产生的现金流,r表示折现率)
2.再进一步分析,每年资产产生的现金流(CF)不是固定不变的,会有一定的增长率,我们假设资产的现金流的每年增长速度为g,那么资产估值的公式进一步深化为:

那么可以得出,

好了,说好的一张图解读,让我们通过图片总结一下:

看到这张图是不是联想到了永续年金模型,没错!
商业地产的属性与年金的属性相似:
1. 每年都有一笔稳定的现金流,而是具有较为稳定的增长特征
2. 存续期较长,且规模稳定
因此,我们可以用一个增长性的年金的角度看待商业地产的资产价值。
所以,基于商业地产的属性,通过以上两步的数学推算:
Cap Rate的近似值等于 折现率r 减去 NOI的增长率g,即,
(有兴趣的小伙伴,也可以结合学习参考戈登模型(Gordon Model),具有类似的推断)
现在大家是不是对Cap Rate 有了更深刻和立体的理解呢?
划重点:Cap Rate 与折现率和NOI的增长率相关。
答案:NO! 我们从上面的公式中看到,CapRate约等于折现率减去NOI的增长率,折现率代表着投资方对项目的收益预期,因此,公式中的r才是真正的投资回报率,通常我们会用项目的IRR来代表折现率,所以项目的IRR才代表着真正的投资回报率。当NOI增长趋向于0时,Cap Rate也会趋向于投资回报率水平IRR。
针对商业地产的盈利模式和估值,不同的指标,计算方式不同,所以用处不同。对很多地产人,特别是投拓人员来说,这方面一直是一个模糊地带,甚至是很多公司也是没有一个精细的测算体系。不同的计量方法对企业利润的影响是很大的。
大部分做传统地产,特别是高周转的房企,都是采用成本覆盖法—即直接用住宅地块开发的利润覆盖商业地块成本的做法。但是后来发现对不动产项目没有一个清晰的认知,缺乏精细的定位和策划,导致错过了一些超额利润的机会。

本套课程为视频课,时长为1.5小时,详细分析梳理了静态和动态投资回报及敏感性分析、Cap Rate、NOI、NPI、EBITDA、IRR的内容及案例详解,适合新手入门,行业老手也可以查缺补漏。
限时仅售99元,扫码学习

购买后加助教微信crec8888,可领取PDF版课件资料
END
部分源自:资管芝士,如有侵权请联系删除

- 热文推荐 -


