本文共3349字,阅读约9分钟
DOE实验设计系列
第04期
关键工艺参数的如何识别、定义?
✎ 作者:合全药业制剂业务后期项目部
✩ 感谢:合全药业制剂业务后期研发团队朱莹、夏彬对本稿件的贡献
作者注:本文中CPPs仅对工艺部分进行探讨,物料相关如API、辅料、包装被定义为关键物料属性; 有观点认为与物料相关的属性也是CPPs,不同的见解将不在本文讨论的范畴内。同样,分析方法中产生的CPPs也不在本文讨论的范畴内。
在QbD理念中,关键工艺参数(Critical process parameters, CPPs)贯穿整个制剂生命周期,从研发、放大到验证,涉及每个工艺流程操作环节。ICH Q8文件中也提到“CPPs需要被识别和控制使得产品达到需要的质量属性目标”,所以CPPs也通常被建议用于研发生产环节及质量控制保证。
图1 - ICH Q8 CPPs被建议用于研发生产环节及质量控制保证
尽管很多朋友对CPPs都不陌生,但能正确识别CPPs并制定合理有效、可行性范围的却很少。若错误的选择或遗漏,都将使工艺过程变得无法控制,产品质量无法保证。接下来,这里提供一种方法帮助各位朋友解决以上问题。
首先,是正确识别CQAs。
如何能更好地识别并控制CPPs?
需做到
对关键质量属性的识别
01
关键质量属性(Critical Quality Attributes, CQAs)由目标产品质量概况(Quality Target Product Profile, QTPP)通过风险评估表格得到。CQAs包括物理、化学、生物、微生物的性能或特征,具有适当的限度、范围或分布,可以确保得到期望的QTPP(来自:PDA TR60 生命周期方法的工艺验证)。
图2 - FDA-IR案例中利用风险评估根据QTPP制定CQAs及目标范围
识别和定义键质量属性请记住以下公式:
CMAs(关键物料属性)+CPPs(关键工艺参数)+不可控因子(部分)=CQAs(关键质量属性)
对工艺流程的理解
02
为了更好地理解CPPs,我们接着对工艺流程进行分解:
制剂开发人员需理解整个工艺过程,风险评估在此环节扮演重要角色。除常规的工艺流程图外,如下细分的两个环节可帮助进一步理解工艺流程:
1. 理解单元步骤(大块)和CQAs的关系
图3 - FDA-IR案例中各单元操作与CQAs的风险评估图
2. 各单元步骤(小块)中工艺参数与CQAs的关系
图4 - FDA-IR案例中单元步骤(混合)各工艺参数和
CQA(混合均匀度)关系
通过“工艺流程图、单元步骤(大块)和CQAs的关系、各单元步骤(小块)中工艺参数与CQAs的关系”,就可以更好地理解工艺流程。请注意,工艺过程中的客观环境因素(不可控但却影响CQAs),仍需将其纳入考虑范围。
小结
03
CQAs是对QTPP的分解解读,即通过风险评估将QTPP分解为专业角度“可理解、可定义、可执行”的多个小目标(CQA),并结合药典(中美、欧洲等)、行业标准、先验知识、历史数据,从数学角度制定可靠的“可视化、可量化”的范围。虽然CPPs是以CQAs为目标进行的研究,但最初的各PPs(工艺参数,process parameters)范围确定仍必不可少,范围数值可来自于先验知识、历史数据,甚至是产品设备说明书、设备供应商提供的经验数据等。
通常在正式实验设计DOE之前,会考虑进行一些预实验工作,其意义在于:
可通过制定各PPs的初期范围,并进行工艺范围边界探索实验。否则,按常规析因设计各参数端点值组合而成的实验,往往在现实中无法达到且无意义。
基于CPPs + KPPs +其他PPs(贡献低)=全部PPs,通常可以通过风险评估和预实验删除“其他PPs(贡献低)”的一部分,使得CPPs, KPPs(重要工艺参数, Key Process Parameters)和剩余“其他PPs(贡献低)”作为因子加入到后续DOE开发中,达到降低实验量、控制时间和成本的目的。剩余“其他PPs(贡献低)”则可通过“ANOVA分析以P值大于0.05不显著”为依据去除。
用统计学分析、识别并定义CPPs
04
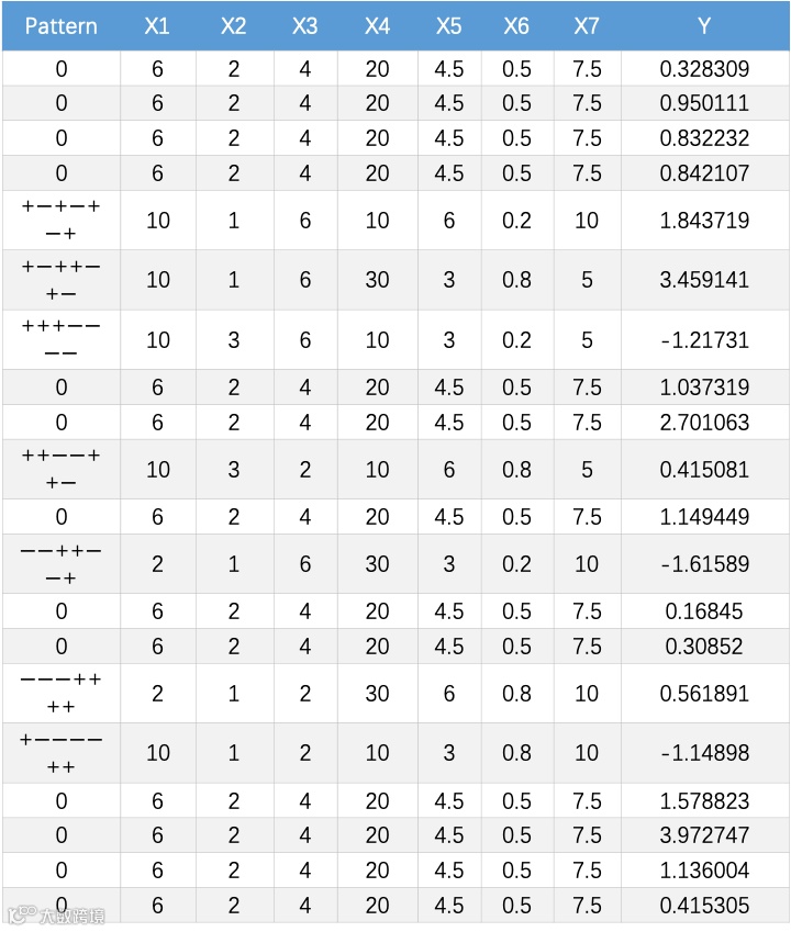
用例子说明如何操作:按如下系统的实验设计为例,X1~7为PPs,Y为CQA。
表1 实验设计DOE表格
注:
1)该数据集是虚拟数据集,只为说明问题但不具备实际意义;
2)Pattern指组合模式,每个因子的范围上限为 + ,下限为 - ,
例如X1(2,10),则10为+,2为-;0则是各因子的中心点组合;
3)实际工作中还需对结论数据先进行探索性研究或可视化分析;
4)表格是系统的实验设计,其他传统实验设计或历史数据也可通过统计学分析得到结果。
经过方差分析(ANOVA)标准化系数结果如下:
图5 初期PPs(总)标准化参数估计及显著性分析
接着,根据初期PPs排序结果排除掉不显著(not significant)的因子X3、X5、X6
图6删除掉X3、X5、X6后的标准化参数估计表
得到X1、X4、X7的P值都小于0.05,显示有统计学意义。(当某个参数的P值正好在0.05附近,在实验设计中较为常见,而如何去处理,后续文章“实验设计DOE结果分析篇”中会详细叙述,本篇默认暂不处理)。
很多朋友认为,此时CPPs部分工作就到尾声了,会得到结论:X1、X2、 X4、X7是CPPs,需要重点关注并结合SPC和PAT方法着重控制。但以此得出结论存在两个问题:
结论中的显著性因子有些虽然具有统计学意义,但由于实际操作范围广,即使是显著性因子,也不应认为是CPPs;有些模棱两可的因子如X2, P=0.0559,如果实际操作范围很狭窄,也应被认为是CPPs。
将CPPs和KPPs混为一谈。KPPs, CPPs可能影响关键质量属性;KPPs则有可能影响工艺性能。(具体可参考PDA TR60)
可见,CPPs的定义不应该直接与显著性(P<0.05)挂钩,而需要结合“显著性”与“参数操作范围”。:
Scale Estimate标准化系数估计,相当于Half Estimate,定义CPPs时需乘以2,成为Full Estimate。在正式实验设计DOE结果ANOVA分析显著性结果的基础上,结合初期定义后不断理解的各参数实际操作范围(上下限),通过定义M值不同的分段值,即可定义CPPs, KPPs,
与风险评估等级类似(低、中、高分别定义为1,2,3);M也可以定义为(其他PPs <10% , KPPs 10-30%, CPPs >30% 或者 其他PPs<15% , KPPs 15-30% , CPPs >30%等)。
结论
05
1
除正式系统实验设计可识别并控制CPPs外,传统实验设计或历史数据也可以整理成矩阵表格的形式通过“数据理解、数据清洗、数据探索、数据建模”的方式得到CPPs。比如,很多情况下只有历史文件或其他场地转移得到的数据包,快速高效地识别、挖掘出关键工艺信息,对接收方后续的研发、生产具有很高的商业价值。
2
申报资料提交时所需的NORs(Normal Operating Ranges) 和PARs(Proven Acceptable Ranges)的制定依据及范围,建议结合CPPs及利用仿真模拟降低缺陷率来证明范围的合理性和可靠性。
👀
敬请关注DOE系列文章
文章预告
“实验设计DOE结果分析篇”
关于合全药业制剂研发后期项目部
合全药业制剂业务部(Pharmaceutical Development Services, PDS)服务涵盖了制剂研发生产、分析服务的全产业链,从药物固态研究、盐型和晶型筛选、处方前开发、稳定性评估、处方开发、制剂分析到临床及商业化GMP的制剂产品供应等。
制剂研发后期项目部隶属于制剂业务部,致力于将候选药物从临床阶段推向商业化,并针对不同的临床开发阶段制定不同的风险控制策略。目前合全药业一站式制剂研发平台已完成超2500个处方前研究化合物,1200多个临床试验GMP制剂批次的生产可在6-8周内快速生产临床I期制剂产品,以及15个制剂后期项目。
关于合全药业
合全药业是在中美两地均有运营的药明康德子公司,服务于生命科学行业,拥有卓越的化学创新药研发和生产的能力和技术平台。作为全球新药合作研究开发生产领域(CDMO)领军企业,合全药业致力于为全球合作伙伴提供从临床前到商业化,高效、灵活、高质量的一站式CMC(化学、生产和控制)解决方案。


