DOE实验设计系列
第02期
您还在用单值(或均值)控制图做多属性产品质量控制吗?
✎ 作者:合全药业制剂业务后期项目部
✩ 感谢:合全药业制剂研发后期团队朱莹、夏彬等同事对本稿件的支持
通常执行正式实验设计后得到的各CQA响应值都应处于各自的统计学稳态,才能进行下阶段的统计学分析。即其中每个实验的记录结果数值都需稳定可控、可重复、可验证。如果预实验结果在不断变化,则首先应稳定工艺,再考虑正式实验设计。
比如,片剂研发过程中压片工序以片重响应为例,每个小实验做的过程中随机取10片计算均值作为片重的数据记录,是否可以?
答案是不可以。理由如下:
1. 忽视了波动,在数据上的体现就是变异。变异可能来源于物料(如不均匀长时间下料后分层)、机器(缺乏有效维护校准导致的数值偏差)、人为(不良操作、取样计算误差)等。例子中如果取样的10片波动(变异)过大,说明实验本身就不稳定或取样方式不合理。
2. 忽视了过程的阶段性。压片过程初期和末期片重一般波动(变异)大,中间阶段波动(变异)小,适合用于取样计算为代表。
就计算片重而言,根据研究目的除了需要考虑取样方式、取样工具、取样人员外,更重要的是注意取样时该实验所处的工艺阶段(一般为中期,变异最小)作为响应数据代表该实验结果。该工艺阶段需要稳定可控。
通常,建议采用“控制图”和“工艺能力”来判定工艺阶段的稳定性和可控性。在商业化大生产中,控制图也是很常用的一种质量控制工具。
控制图是什么?
控制图是用于分析和判断过程是否处于稳定状态所使用的带有控制界限的图,是具有区分正常波动和异常波动的功能图表,是现场质量管理中常重要的统计工具。(来自:百度百科)
1924年,休哈特博士绘制了第一张统计过程控制图(Statistical Process Control, PSC),并于1931年出版了《加工产品品质的经济控制》之后,SPC应用于各种制造过程的改善便就此展开。2004年FDA建议,在制造工艺验证中基于对过程和相关产品属性的理解使用多元统计过程控制。
FDA文件
第11页建议
比如:片剂通常伴随着多个属性:片重、片厚、硬度等,常规是如何进行控制图的呢?
首先对设计取样方案(包括取样量、取样点、取样方式、取样人员、取样器具等);
分别记录数据表(如下表1);
绘制上述目标属性的单值(或均值)控制图,并用SPC判异规则判断每个属性是否超限。
表1 数据记录表
但是这种处理方法会带来一个问题:
用两张图来阐述:下图可以想象成片剂的两个属性维度(片厚与硬度)。
图3. 单值控制图
图4. 二维图
图3 每个属性做单值控制图符合限度要求;但如图4所示的二维图下,就有两个点不符合要求。这就告诉我们:片剂属性是多属性的累积(不同属性间可能存在相关性),仅用单值控制图是不够的。
下面介绍两种方法帮助建立多元(多属性)控制图来弥补单值控制图的缺陷。
多元控制图
01
举例说明
图5 案例数据
多元控制图是利用PCA(主成分分析)、PLS(偏最小乘法)建立模型,其主要目的是降维,旨在一张控制图上展示多个过程参数变化(图6~7)。一般常用T2控制图。
图6 PCA和PLS原理
图7 数据表分解成T2、DModX、SPE等控制图
02
绘制T2控制图
图8 具有全部主成分的T2图
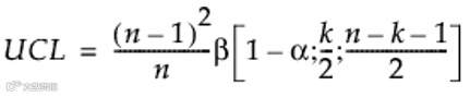
T2的定义上控制线(USL)是基于Beta分布的,定义如下:
其中:
n:历史数据观察数;
K:PCA或者PLS成分数
图9 最大特征值第一列累积达95%
03
根据最大特征值划分T2
图10 超过上控制线(USL)为超限的样本
图10蓝圈部分点(样本17、18、19、23)是需要关注的超限的样本,这样我们就实现了一张控制图就完成了多属性目标的控制。但是也存在以下问题:
传统多元控制图只能显示篮圈数据样本点是异常的,其他点被认为无异常;每个点各属性维度如何、单独一元控制图时是不是有异常等情况无法得知。
基于模型的多元控制图
04
举例说明
图11 案例数据
图12 上控制线(USL)以下的点14处于多属性可控状态
图13 样本14各单独属性处于一元(单值)可控状态
图14上控制线(USL)附近的点23多属性已接近失控状态
图15 样本23部分属性已处于一元(单值)失控状态
基于模型的多元控制图不仅能得到如传统多元控制图的信息,更重要的是能迅速了解每个样本点贡献组成及哪些点在一元(单值)控制图下是失控的(图11~15)。
结 论
产品往往是多属性组合的综合体,分别对每个属性做单值控制图是存在风险的,必须同时考虑所有属性带来的影响。建议采用“基于模型驱动的多元控制图”或“单值控制图”+“多元控制图”的方式来进行质量控制。
随着智能制造的发展,质量控制图已经不再只是对历史数据的分析,如结合PAT(Process Analytical Technology)分析技术、设备实时数据传输到云服务器就可以对单目标属性或者多目标属性制定限度、进行监控,一旦超限邮件自动提醒或与不断自动与历史数据比对快速发现潜在风险失效模式;数据量足够多时,甚至可以构建部署AI模型,根据结果自动反馈调节控制工艺参数,实现工艺的稳定可控。
关于合全药业制剂研发后期项目部
合全药业制剂业务部(Pharmaceutical Development Services, PDS)服务涵盖了制剂研发生产、分析服务的全产业链,从药物固态研究、盐型和晶型筛选、处方前开发、稳定性评估、处方开发、制剂分析到临床及商业化GMP的制剂产品供应等。
制剂研发后期项目部隶属于制剂业务部,致力于将候选药物从临床阶段推向商业化,并针对不同的临床开发阶段制定不同的风险控制策略。目前合全药业一站式制剂研发平台已完成超2000个处方前研究项目,860多个临床试验GMP制剂批次的生产,可在6-8周内快速生产临床I期制剂产品。
关于合全药业
合全药业是在中美两地均有运营的药明康德子公司,服务于生命科学行业,拥有卓越的化学创新药研发和生产的能力和技术平台。作为全球新药合作研究开发生产领域(CDMO)领军企业,合全药业致力于为全球合作伙伴提供从临床前到商业化,高效、灵活、高质量的一站式CMC(化学、生产和控制)解决方案。


