双立柱巷道式堆垛机传动设计研究
聚焦升降、行走与货叉机构的关键结构设计与计算
|
自动化立体仓库作为现代物流系统的核心组成部分,是一种无需人工直接干预即可实现货物自动存储与提取的高科技系统,在提升生产效率、降低运营成本方面具有重要意义。堆垛机作为其中最关键的起重设备,可在狭窄巷道内高速穿梭,完成货物的精准存取。 本文围绕当前广泛应用的双立柱巷道式堆垛机,重点对其三大核心机构——升降机构、行走机构及伸缩货叉机构进行结构设计与力学分析。通过方案设计、受力计算、参数初选与校核验证等步骤,系统完成关键部件的设计优化,确保设备在高速运行下的稳定性、精度与安全性。 关键词:自动化立体仓库 堆垛机 双立柱巷道式堆垛机 传动设计 结构计算 |
第1章 绪论
随着企业生产与管理水平的提升,物流系统的优化已成为企业竞争力的重要体现。堆垛机作为自动化立体仓库中的核心搬运设备,承担着货物在巷道内高效存取的关键任务。
1.1 堆垛机简介
堆垛机是一种配备起重装置的有轨或无轨搬运设备,通过电机驱动实现整机移动与载货台升降。其配备位置传感器与高度检测系统,可精确定位货位,并自动完成货物的推入或拉出操作,部分机型还具备读取货物信息功能。
1.2 堆垛机的发展
早期堆垛机由桥式起重机演变而来,称为桥式堆垛机。20世纪60年代,美国率先推出巷道式堆垛机,采用地面或顶部导轨防倾覆设计。随着计算机控制与自动化技术的发展,堆垛机性能持续提升,最大运行高度已达40米,广泛应用于各类高密度仓储场景。
相较于桥式堆垛机,巷道式堆垛机具有自重轻、空间利用率高、通道宽度小等优势;相比无轨堆垛机,其采用钢轮钢轨运行,结构刚度更高,定位精度更优,尤其适用于高层货架作业环境。
1.3 有轨巷道式堆垛机特点
有轨巷道式堆垛机专用于高层货架巷道内的货物存取,具备以下特征:
(1)结构高而窄,宽度与货物单元匹配,适应窄巷道作业;
(2)高刚度与高精度要求,制动时顶端水平位移不超过20mm,导轨垂直度误差控制在3–5mm以内;
(3)配备伸缩货叉、伸缩平台或机械手等专用取物装置,支持两侧货架作业;
(4)电力拖动系统需兼顾高速、平稳与精准定位,停车精度达5–10mm;
(5)安全等级高,尤其配备司机室的机型需满足严格安全标准。
1.4 堆垛机结构组成与控制系统
堆垛机主要由运行机构、升降机构、载货台及取货装置构成。
运行机构采用地面驱动形式,由电机、减速器、制动器及行走轮组成,顶部设置水平轮沿上横梁导向,下横梁集成电气柜与缓冲装置,确保运行稳定。
升降机构通过电机、减速器驱动钢丝绳或起重链,带动载货台沿立柱垂直运动。立柱为抗扭箱形结构,两侧安装导轨,并配备上下限位开关,保障升降安全。
货叉机构为三级直线差动式伸缩结构,由上叉、中叉、下叉及滚针轴承组成,支持横向伸缩作业。驱动方式分为齿轮-齿条与链轮-链条两种,上叉由链条或钢丝绳牵引,实现双侧存取功能。
控制系统采用PLC为核心,结合变频器、旋转编码器与光电开关,构建闭环控制体系。通过高精度编码器实现位置反馈,配合变频调速技术,确保堆垛机高速运行下的精确定位,提升整体作业效率。
1.5 研究背景与意义
自动化立体仓库是现代工业发展的关键基础设施,堆垛机作为其核心执行设备,其性能直接影响仓储效率与系统可靠性。我国在高端堆垛机设计方面仍需追赶国际先进水平,亟需突破传统设计思路,研发高效率、高安全性、高可靠性的新型设备,助力智能制造与物流升级。
1.6 研究内容
本文主要研究内容包括:
(1)堆垛机门架结构设计与力学计算;
(2)伸缩货叉机构的强度与挠度分析;
(3)行走机构的驱动与承载设计;
(4)升降机构的动力选型与制动设计;
(5)安全防护结构的校核与优化。
第2章 堆垛机门架结构设计计算
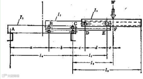
门架为堆垛机的核心承力结构,常见形式为单柱式或矩形框架式,支承方式分为上部支承与下部支承。本文采用双立柱下部支承式门架。
门架需承受运行惯性力、货叉作业弯矩等复合载荷,易产生纵向与横向挠曲。柱端振动与货叉前端挠度直接影响定位精度,因此必须具备足够的强度与刚度。
2.1 框架弯矩与挠度分析
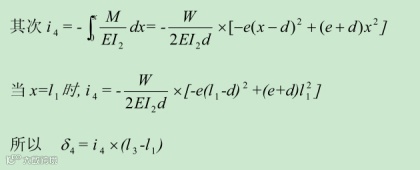
门架为超静定结构,按角变位移法进行力学建模。货叉作业时产生的垂直方向弯矩虽较小,但叠加运行方向弯矩后形成合成最大弯矩,为结构设计控制工况。
2.2 设计数据校核
通过弯矩分布计算与应力校核,验证各构件在极限工况下的强度与刚度满足设计要求,确保结构安全可靠。
第3章 堆垛机伸缩货叉机构设计
货叉为三节伸缩式结构,由电机、减速器、链轮链条及上下叉体组成。设计重点在于保证伸缩过程中的强度与挠度控制。
3.1 伸缩货叉的强度与挠度
对下叉、中叉及上叉分别进行受力分析,计算各阶段载荷分布,校核关键截面应力,确保在最大伸出行程下仍满足刚度与强度要求。
3.2 货叉参数选择与零部件校核
合理选取货叉长度、材料与截面尺寸,并对轴承、链轮、链条等关键零部件进行选型与寿命校核,保障机构长期稳定运行。
第4章 堆垛机行走机构设计计算
行走机构由走行轮、驱动电机与减速器组成。设计中需综合考虑轮压、牵引力与运行平稳性,合理选配驱动系统,确保整机在轨道上的可靠运行。
第5章 堆垛机升降机构设计计算
升降机构设计包括提升部件的力学计算、电机与减速器选型,以及制动器容量设计,确保载货台在各种工况下安全、平稳、精准升降。
图 2-1
图 2-2
图 3-1

