2025年合成生物学创新赛
第15期《科普专栏》
文章来自湖北大学 芳烃交响团
题为:Rieske型芳香环双加氧酶
微生物界的“环保卫士”与“化学艺术家”
在我们生活的地球上,有一群“环保卫士”日夜守护环境——它们便是微生物界的“化学艺术家”:Rieske型芳香环双加氧酶(RDOs)。
“顽固小怪兽”横行
环境中的芳香族污染物(多环芳烃、农药、塑化剂等),以苯环为心脏,自带“六边形能量盾”,惰性极强,自然降解需数十年。其脂溶性助其渗透生物屏障,沿食物链攀升,潜伏人体肝脏脂肪,半衰期数十年,构成慢性毒害[1]。
图1 我们这个星球上芳香化合物造成的严重污染
正当“小怪兽”肆虐之际,英勇的“环保卫士”——RDOs挺身而出。它们配备神奇“魔法武器”:能将氧气精准引入苯环,将其转化为易降解物质。这如同在“小怪兽”的坚硬外壳上打开缺口,瓦解其顽固性。
始于RDOs由多个成员组成,它们分别是:
①能量转换站(HcaD还原酶):从NADH分子中提取电子到FAD,然后将它们传递给铁氧还蛋白;
②量子快递员(HcaC铁氧还蛋白):通过[2Fe-2S]簇穿梭传递电子;
③分子手术刀(HcaEF双加氧酶):利用Rieske [2Fe-2S]中心将电子传送到邻近亚基中的单核铁,激活分子氧,执行苯环切割的"主刀"任务[2]。
图2 RDOs酶系统的组成
然而,“环保卫士”自身也面临挑战:冷冻电镜显示其HcaEF亚基仅靠脆弱的盐桥连接,稳定性差[3],对环境波动极为敏感,酶复合体易解离导致电子链断裂——如同橡皮筋固定的齿轮稍扰即失效。加之天然催化效率仅29.6%,其“战斗力”亟待升级。
图3 HcaEF复合体的冷冻电镜结构揭示HcaE和HcaF亚基之间较弱的相互作用
原子尺度的“结构外科手术”
通过冷冻电镜解析HcaEF的结构,科学家锁定β亚基Q73位点。分子动力学模拟显示,将其突变为Q73I后:
①热稳定性提升 :熔解温度从野生型的43.7℃升高到突变体的47.9℃,显著提高了酶的热稳定性。
②催化效率提高 :周转率从29.6% 增加到43.8%,显示出约50%的改善。
图4-5 Q73I突变体蛋白性能的增强
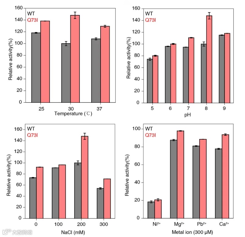
③工业潜力增强 :突变体在高温温度下显示出增加的催化活性,与野生型相比,相对增加分别为17 %、48 % 和19%。此外突变体还增强了酶对pH、NaCl浓度和二价阳离子的耐受性[3]。
图6 Q73I突变体蛋白与野生型蛋白的工业潜力对比
基于此构建的高效工程菌在生长速度、3-PP消耗效率及环境耐受性等多方面均优于野生型,前景良好[3]。
未来展望
①将稳定六聚体的策略应用于催化其他底物的RDOs,处理更多污染物;
②用共价Linker将RDOs各组分连接,提高电子传递效率,增强催化活性。
图7 未来进一步提高催化效率的策略:共价Linker
从微观的酶催化到宏观的生态保护,每一份努力都在为地球书写可持续发展的诗篇。
结语:生命科学的生态诗篇
人类用X射线破译酶结构,用基因编辑器重写蛋白质密码,这不仅是改造工具,更是重订与自然的契约。Q73I突变、Linker工程等“分子手术”的生态价值,或远超万吨级污水处理厂——它揭示:修复地球的钥匙,正藏于生命最精微的构造中。
——每一次精准的基因编辑,都在求解人与自然共生的新方程。
参考文献
[1] Samanta, S.K., et al. 2002. Polycyclic aromatic hydrocarbons: environmental pollution and bioremediation. Trends Biotechnol, 20(6): p. 243-8.
[2] Han, Q., Qin, Y., & Li, D. 2021. Research progress on bacterial Rieske non-heme iron ring hydroxylases in the degradation of polycyclic aromatic hydrocarbons. Chinese Journal of Biotechnology, 37(10), 3439-3458.
[3] Jiang, Wenxue, et al. 2025. Structure-guided engineering of a Rieske-type aromatic dioxygenase for enhanced consumption of 3-phenylpropionic acid in Escherichia coli. Journal of Hazardous Materials 491 : 137954.
合成生物学创新赛由中国生物工程学会合成生物学专业委员会指导并主办。
创新赛聚焦合成生物学领域,汇聚全球领域内领军专家学者,面向对合成生物学有热情的在校大学生以及在读硕士研究生,为青年学生提供一个与顶尖学者面对面交流学习、展现自身创新力的创智、创造平台。
创新赛践行合成生物学“造物致知、造物致用”的理念鼓励当代学生从兴趣出发,探索合成生物学在不同领域的创新和应用,同时为合成生物学、生命科学、交叉学科培养后备生力军。

