“Journal of Materials Chemistry A∣用于固碳和生产高值化学品的光酶杂合系统”
文献信息:

Junli Guo, Lingling Yang, Chenxi Zhao, Zhidao Gao, Yan-Yan Song, and Patrik Schmuki. Constructing a photo-enzymatic cascade reaction and its in situ monitoring: enzymes hierarchically trapped in titania meso-porous MOFs as a new photosynthesis platform.
https://doi.org/10.1039/D1TA04009J
Journal of Materials Chemistry A 影响因子:14.511
背景介绍
光催化-酶偶联系统可直接利用太阳能合成特定的有机分子或燃料,具有广阔的应用前景。与研究广泛的光催化剂材料相比,结合半导体材料-酶反应的研究是非常少的。
在本文中,作者描述了一种半导体材料-酶反应的偶联方法,该方法依赖于在二氧化钛膜的纳米通道中原位形成的分层多孔的金属有机框架(钛基MIL-125)。通过工程改造钛基MIL-125的纳米级孔径,作者实现了细胞色素C(CytC)的捕获,并成功构建了半导体材料-酶反应平台。
该平台不仅代表了一个纳米级的光催化反应器或装置,而且还允许监测和理解光催化偶联酶反应。
图文解读

示意图1 Au@MIL-125(CytC)/TiO2M的构建过程

图1
(a-i)扫描电镜图片:
(a-c)为TiO2M;
(d-f)为30%-MIL-125-NH2/TIO2M;
(g-i)为hpMIL-125/TIO2M;
图中a、d、g为俯视图,b、e、h为仰视图,c、f、i为侧视图。
(j) TiO2M、30%-MIL-125-NH2/TIO2M和hpMIL-125/TIO2M的FTIR图谱。
(k) TiO2M、30%-MIL-125-NH2/TIO2M和hpMIL-125/TIO2M的孔径分布。
(l )TiO2M、30%-MIL-125-NH2/TIO2M和hpMIL-125/TIO2M的XRD图谱。

图2
(a)CytC在30%-MIL-125-NH2/TIO2M和hpMIL-125/TIO2M上的吸附曲线。
(b)光催化和酶偶联反应系统的示意图。
(c-e)在hpMIL-125(CytC)/TIO2M(c)、
30%-MIL-125-NH2(CytC)/TIO2M(d)、
30%-MIL-125-NH2(CytC)co/TIO2M(e),存在下不同浓度过氧化氢下离子电流的变化。
(f)hpMIL-125(CytC)/TIO2M在55°C激活两小时前后的CD光谱。

图3
(a)Au NP修饰的hpMIL-125/TIO2M的SEM图像。
(b)Au@hpMIL-125(CytC)/TIO2M的TEM图像。
(c)Au@hpMIL-125(CytC)/TIO2M的元素图谱。
(d)光催化和酶催化级联反应的机理。
(e-f)hpMIL-125(CytC)/TIO2M(e)和Au@hpMIL-125(CytC)/TIO2M(f)的在不同照射时间下的I-V特性。

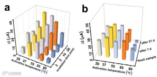
图4
(b)室温下活化温度和储存时间对离子电流的影响。

图5
(a-c)三种不同Au@hpMIL- 125(CytC)/TiO2M样品在不同可见光照射下的平行I-V曲线。
(d)样品对应的校准图。
合成生物学相关内容讨论与合作,及文章投稿
欢迎联系小编:shalafangjian
了解更多合成生物学内容,请关注 iSynFox 🦊:

