创新选题
方案评估 专属定制
点击蓝字关注我吧
引言
衰老以生理完整性和适应性逐渐恶化为特征,是一个复杂且多维的过程,本研究聚焦英国、美国、中国三国人群,基于UK Biobank、NHANES、CHARLS三大队列数据,选定 14 项跨系统衰老指标,绘制全生命周期百分位曲线并确立规范值,为理解跨系统衰老异质性与社会经济差异提供参考。
(想靠GBD、CHARLS、NHANES数据库解锁生信分析?关注后后台戳我们!专业数析支持,让科研之路少走弯路~)
文献解读
中 文 题 目:界定英国、美国和中国多系统衰老指标的生命周期百分位曲线及规范值
发 表 期 刊 :J Cachexia Sarcopenia Muscle
发 表 时 间 :2025年6月
影 响 因 子 :IF=9.1
是不是数据挖掘耗了太多时 间,进展却缓慢?
别焦虑,生信数析陪你一步步搞定,轻松拿下SCI!
生信数析
←专注生信分析:GBD/NHANES/CHARLS/MR
研究背景
全球老龄化加剧,但现有研究难覆盖衰老的多系统异质性、跨群体差异及社会因素影响,也缺乏多国多系统衰老指标的生命周期规范值,故本研究聚焦英、美、中,建立相关曲线与规范值。
研究方法
采用英、美、中三国数据(UKBB、NHANES、CHARLS),选取14项多系统衰老指标(含身体测量、肌力、激素、骨健康、认知等),通过GAMLSS模型绘制不同社会人口学背景(性别、教育、收入)下各指标的生命周期百分位曲线,并确定各年龄特定指标的规范值。
研究结果
1 参与者的基本特征
三国队列(CHARLS 60.0 岁、NHANES 29.0 岁、UKB 64.8 岁,共 15,332 人):男性肌肉骨骼 / 肺部衰老指标多高于女性(UKB 与 NHANES 一致),高收入高教育组多项指标更优。
2 多系统衰老指标的百分位曲线与规范值
20 + 岁后,除认知功能 70-75 岁显著下降(中国人最明显),其余衰老指标多随年龄下降 / 稳定(中年后更著),不同人群年龄特异性规范值见表 S7–S12(图 1、2)。
图1 CHARLS和NHANES中不同社会人口学背景下index_Lab的虚弱百分位曲线
图2 认知功能的百分位曲线在三种数据集中按不同社会人口学背景评分
3 三个国家不同社会人口学背景下衰老指标百分位曲线的差异
性别分层:男女心血管 / 肌肉骨骼衰老指标曲线有差异,女性 40-50 岁后 BMC、BMD 骤降(男性缓降),男性中年后 DBP 上升(英、中女性稳定)(图 3、4)。
图3 英国血液和国家卫生营养学不同社会人口学背景下的人体矿物质含量百分位曲线
图4 英国和NHANES不同社会人口学背景下人体矿物质密度的百分位曲线
中国参与者收入 / 教育水平与多系统衰老指标(脑、肌肉骨骼、肺等)关联显著(低收入 / 低教育组指标更差),英美无此差距。
图5 三个数据集中不同社会人口学背景下的握力百分位曲线
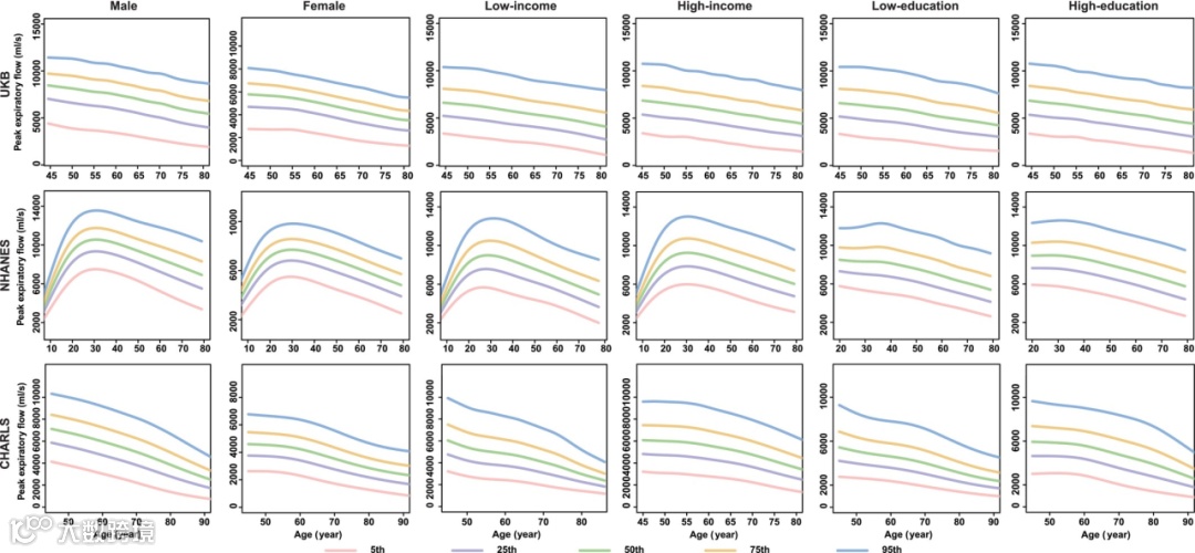
图6 三个数据集中不同社会人口学背景下的呼气峰值流量百分位曲线
文章小结
本研究基于英、美、中数据,构建多系统衰老指标的生命周期曲线与规范值,发现多数指标20岁后渐衰退(认知70岁后加速降),且衰老异质性受国家、社会人口学背景影响显著;成果为全球老龄化研究与干预提供跨群体参考基准。
(瞄准高分、想复刻顶刊思路的友友看过来!联系生信数析,让科研之路少走弯路,解锁无限潜力~)
长按识别二维码
专属生信分析方案一对一定制~

