创新选题
方案评估 专属定制
点击蓝字关注我吧
引言
中风是全世界死亡和残疾的主要原因。温州医科大学基于中国 CHARLS(2011-2018)、健康检查队列(2017-2024)及英国 ELSA(2004-2014)数据,探索相关因素与中风风险的关联,为中风早期精准个体化识别提供工具。
文献解读
中 文 题 目:基于多模态机器学习的标记使肥胖相关指数与未来中风之间存在联系:一项前瞻性队列研究
发 表 期 刊 :EClinicalMedicine
发 表 时 间 :2025 七月
影 响 因 子 :10/Q1(中科院一区TOP)
是不是数据挖掘耗了太多时 间,进展却缓慢?
别焦虑,生信数析陪你一步步搞定,轻松拿下SCI!
生信数析
←专注生信分析:GBD/NHANES/CHARLS/MR
研究背景
肥胖是中风重要危险因素,但 BMI 不足以评估脂肪分布,中风及死亡率的早期发现与预后预测对干预至关重要,本研究开发计算机定量标记(ISS),探究其在堆叠机器学习模型中预测中风风险的效用。
研究方法
温州医科大学采用前瞻性队列研究,整合中英多队列超13万参与者数据,以多模态机器学习筛选肥胖相关因子构建ISS,用ROC-AUC验证其中风风险预测效能。
研究结果
1 横截面和经度队列的基线特征
总体研究设计见图 1,纳入了来自CHALS的10,044名参与者、来自ELSA的3698名参与者和来自温州医科大学附属第二医院的6884名参与者
图1 工作流程和研究设计。A) 来自 CHARLS、ELSA 和温州医科大学第二附属医院健康检查队列的临床数据收集。B) 肥胖相关指标及其与中风相关性的横断面研究。C) 使用堆叠多模态机器学习方法开发基于肥胖指标的中风风险预测模型。D) ISS 在内部列车和测试集中的预后评估。E)ISS 预测中风相关死亡率的预后有效性。
2 横断面队列中肥胖相关指数与中风之间的关联
表1 说明了 11 个肥胖相关指数水平与中风风险之间的关系。
表1CHARLS 横断面研究中肥胖相关指数与中风的关联。
3 堆叠 ML 模型在训练集、内部和外部测试集中的性能
基础模块用 6 个分类器独立预测训练集特征,经交叉验证后训练堆叠模型;对比各肥胖指数中风风险预测结果,堆叠模型性能优于单个分类器,TyG-BMI 堆叠模型预测功效最高(图 2)。
图2 基础分类器和堆叠模型对各肥胖相关指数(A-K)中卒中风险预测的AUC值。
绘制 SHAP 条形图与蜂群图(图 3),分析显示年龄是模型预测最具影响力的特征,TyG-BMI 次之且预测重要性显著。
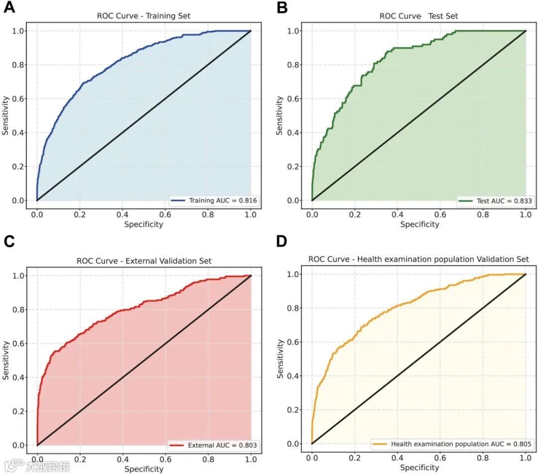
图 3 展示堆叠 ML-TyG.BMI 模型预测脑卒中性能:A-B 为内部门 / 测试集、C-D 为外部测试集 1-2 的 ROC 分析。
表2列出了通过灵敏度、特异性、AUC、NPV、PPV 和准确性评估的六种基线分类器的性能。
表2 训练和内部测试集中基本分类器的性能指标,跨越 5 倍交叉验证。
文章小结
该研究评估十项代谢指标与 BMI 的中风预测性能,确定 TyG-BMI 为最佳预测因子;基于此构建堆叠多模态 ML 模型(CHARLS 训练,ELSA 及考试队列外部验证)并生成 ISS 标记,可实现中风早期风险预测与人群分层,为预防性干预提供临床价值。
(瞄准高分、想复刻顶刊思路的友友看过来!联系生信数析,让科研之路少走弯路,解锁无限潜力~)
长按识别二维码
专属生信分析方案一对一定制~

