创新选题
方案评估 专属定制
点击蓝字关注我吧
引言
无症状却增病风险的G2SCH,因常规体检缺专项检测而隐匿发病,现有模型难落地。浙江大学医学院用超9万例体检数据,建出AUC0.870、敏感度86.8%的机器学习模型,凭常规体检指标即可早期筛查,补全低成本筛查工具空白。
(想靠GBD、CHARLS、NHANES数据库解锁生信分析?关注后后台戳我们!专业数析支持,让科研之路少走弯路~)
文献解读
中 文 题 目:通过对体格检查指标的机器学习分析,早期发现G2SCH
发 表 期 刊 :Npj Digital Medicine
发 表 时 间 :2025年11月12日
影 响 因 子 :IF=15.1
是不是数据挖掘耗了太多时 间,进展却缓慢?
别焦虑,生信数析陪你一步步搞定,轻松拿下SCI!
生信数析
←专注生信分析:GBD/NHANES/CHARLS/MR
研究背景
G2SCH无症状却增病风险,常规体检漏诊多、血清检测难普及;体检数据机器学习已有应用,但缺G2SCH低成本筛查模型。
研究方法
浙江大学医学院取两机构超9万体检样本,以3种特征选择法+5种机器学习算法构建模型,选LASSO特征、65:35 SMOTENC逻辑回归模型,用SHAP解析特征,以AUC、敏感度、特异性评估性能。
图1 实验背景,设计与样本筛选
研究结果
1 特征分析
2019-2020 年浙大二院解放路院区收集 57,539 份体检记录,其中 92 份为 G2SCH 型,其与非 G2SCH 个体特征详见表 1。
表1 非G2SCH和G2SCH特征统计
G2SCH 组较非 G2SCH 组年龄更高(p<0.001)、女性比例更高(p=0.015)、SBP、AST、肌酐显著升高(p 均 < 0.05),白蛋白、血红蛋白、红细胞计数显著降低(p 均 < 0.05),桥本甲状腺炎患病率更高(p<0.05);两组 BMI、DBP、血脂等指标无显著差异,总体女性年龄低于男性。
图 2 呈现非 G2SCH 与 G2SCH 组关键特征差异及性别分层年龄分布
2 多种机器学习方法在预测G2SCH表现的比较
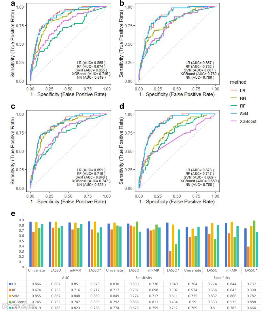
单变量分析、LASSO、mRMR 三种方法分别筛选出 AGE、超声、GLU 等特征,采用不同 SMOTENC 比率,通过 AUC、灵敏度等指标比较 LR、RF 等五种机器学习方法性能,选出各方法最佳模型并绘制 ROC 曲线。
图 3 比较不同特征选择方法下机器学习模型的性能
3 特征重要性排名
SHAP 分析揭示模型中 G2SCH 的预测变量影响,图 4 显示超声、AGE、红细胞为核心预测因子,白蛋白等亦具显著预测价值。
图4 展示顶级模型中影响 G2SCH 预后的核心变量及作用
文章小结
本研究构建的G2SCH预测模型,以65:35 SMOTENC比例+LASSO特征的逻辑回归表现最优(AUC 0.870),关键特征为超声结果、年龄、红细胞,且简化模型适配资源不足地区;模型可灵活匹配不同医疗场景需求,助力G2SCH早筛与高危人群管理。
(瞄准高分、想复刻顶刊思路的友友看过来!联系生信数析,让科研之路少走弯路,解锁无限潜力~)
长按识别二维码
专属生信分析方案一对一定制~

