PART 01
TCP拥塞控制简介
从广义上讲,TCP拥塞控制的是让每个源确定网络中有多少可用容量,以便它知道可以安全传输多少数据包,防止过多的数据注入到网络中,使网络中的路由或者链路不至于过载。在网络中发生拥塞时,拥塞控制减少向网络中发送数据的速度,防止造成恶性循环;同时在网络空闲时,提高发送数据的速度,最大限度地利用网络资源。当然,确定可用网络容量并非易事,不断有新的TCP连接的加入和减少;更糟糕的是,可用带宽会随着时间的推移而变化,这意味着任何给定的源都必须能够调整它在传输中的数据包数量。
PART 02
理论上,拥塞控制有两种实现方式:
端到端拥塞控制:在这种拥塞控制方法中,由发送端自己来判断是否拥塞,然后调整传输速率;
网络辅助的拥塞控制:由网络中的路由器来告诉发送方,网络的拥塞情况。
通过网络层反馈拥塞信息实现拥塞控制的方法,需要得到网络设备的支持,改造底层硬件;现在常用的TCP协议大都采用的是端到端拥塞控制,即由发送端自己来判断是否拥塞;若发送端检测到这种现象,就应该降低发送数据的速率,若没有,则可以慢慢提高速率。拥塞控制算法需要解决以下三个问题:
TCP如何限制数据的发送速率;
TCP如何检测网络中是否拥塞;
TCP采用什么算法来调整速率(什么时候调整,调整多少)。
TCP拥塞控制算法发展的过程当中出现了以下几种不一样的思路:
基于丢包的拥塞控制:将丢包视为出现拥塞,采取缓慢探测的方式,逐渐增大拥塞窗口,当出现丢包时,将拥塞窗口减少,如Tahoe、Reno、BIC-TCP、Cubic等;
基于时延的拥塞控制:将时延增长视为出现拥塞,延时增长时增大拥塞窗口,延时减少时减少拥塞窗口,如Vegas、Westwood等;
基于链路容量的拥塞控制:实时测量网络带宽和时延,认为网络上报文总量大于带宽时延乘积时出现了拥塞,如BBR;
-
基于学习的拥塞控制:没有特定的拥塞信号,而是借助评价函数,基于训练数据,使用机器学习的方法造成一个控制策略,如Remy。
PART 03
Reno算法所包含的慢启动、拥塞避免和快速重传、快速恢复机制,是现有的众多基于丢包的拥塞控制算法的基础。发送方维持一个叫做拥塞窗口cwnd(congestion window)的状态变量和慢开始门限ssthresh状态变量。ssthresh的用法如下:
当cwnd<ssthresh时,使用慢开始算法。
当cwnd>ssthresh时,改用拥塞避免算法。
当cwnd=ssthresh时,慢开始与拥塞避免算法任意。
(1)慢热启动算法 – Slow Start
连接建好的开始先初始化cwnd = 1,表明可以传一个MSS大小的数据。
每当收到一个ACK,cwnd++; 呈线性上升。
每当过了一个RTT,cwnd = cwnd*2; 呈指数上升。
(2)拥塞避免算法 – Congestion Avoidance
当cwnd >= ssthresh时,就会进入“拥塞避免算法”。算法如下:
收到一个ACK时,cwnd = cwnd + 1/cwnd
当每过一个RTT时,cwnd = cwnd + 1
(3)拥塞状态算法 – Fast Retransmit
Reno在收到3个duplicate ACK时就开启重传,而不用等到RTO超时。拥塞发生时:
cwnd = cwnd/2
sshthresh = cwnd
(4)快速恢复 – Fast Recovery
cwnd = sshthresh + 3 * MSS (3的意思是确认有3个数据包被收到了)
-
重传Duplicated ACKs指定的数据包; -
如果再收到 duplicated Acks,那么cwnd = cwnd +1; -
如果收到了新的Ack,那么,cwnd = sshthresh ,然后进入拥塞避免算法。

BIC-TCP 和 CUBIC
TCP-Reno在大拥塞窗口环境下,由于一个数据包的丢失所带来的窗口缩小要花费很长的时间来恢复(每次仅增加1),这样,带宽利用率不可能很高且随着网络的链路带宽不断提升,这种弊端将越来越明显。为了改善Reno拥塞避免阶段的表现,BIC-TCP提出这样一个二分思想的:当出现丢包的时候,说明最佳窗口值应该比这个值小,那么BIC就把此时的cwnd设置为max_win,把乘法减小后的值设置为min_win,然后BIC就开始在这两者之间执行二分思想--每次跳到max_win和min_win的中点。
BIC-TCP在高速网络中具有良好的可扩展性、自身竞争流之间的公平性和低窗口振荡的稳定性。然而,BIC-TCP的拥塞控制窗口增长仍然可能会过大,特别是在短RTT或低速网络下。此外,在拥塞窗口控制的几个不同阶段(二进制搜索增加、最大探测、Smax和Smin)增加了协议实现和性能分析的复杂性。
CUBIC是BIC-TCP的改进算法,CUBIC算法通过寻找一个新的窗口增长函数,三次方函数,在保持BIC-TCP的优势的同时(特别是它的稳定性和可伸缩性),同时简化了窗口控制的复杂度。CUBIC窗口控制函数如下:

其中,W(t)是在时间t时,窗口的大小,C为CUBIC参数,t为上次减窗经过的时间,K为上述函数在没有进一步损失事件时将W增加到Wmax所需要的时间周期,当发生拥塞事件时,CUBIC将当前cwnd设置为Wmax * β,乘法减小系数;由此可知K是:
-
当cwnd < Wmax. CUBIC在凸函数区域,即拥塞避免区间,cwnd的增长随时间的增加而变小; -
当cwnd>=Wmax. CUBIC在凹函数区域,即新的Wmax 探测区域,当距离上次发生拥塞事件越久,cwnd 增长越快。
TCPW (TCP Westwood)
不同于基于丢包的拥塞控制,TCPW发送端监控ACK报文的接收速率,进而估算当前连接可达到的数据发送速率(可用带宽)。当发送端检测到丢包时(超时或者3个重复ACK),发送端根据估算的发送速率设置拥塞窗口大小(cwnd)和慢启动阈值(ssthresh)。


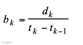
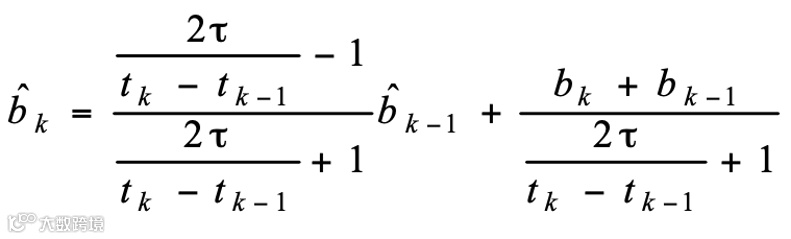
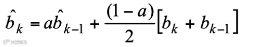
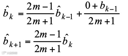
为了方便理解,假设 tk – tk-1 是一个常量;当前的带宽评估可以可以简化为:


因为最优带宽和延迟无法同时测量(btlBw的测量会造成存在网络缓存增加RTT,而RTprop的测量要求网络缓存为空),所以分别估计带宽(btlBw)和延迟(RTprop),最后计算出cwnd。同时增加变量pacing rate(btlBw * 增益系数),用于控制发送端的发送速率,以解决发送端突发造成的网络排队问题。
TCP BBR一方面能够提升丢包环境下的发送速率,充分利用网络带宽,同时,也能够降低网络链路buffer的使用率,从而降低传输延时。TCP BBR 不仅适合TCP场景,同时QUIC也使用了BBR作为拥塞控制算法。
PART 04
虽然现在的实时多媒体通讯大部分都是基于UDP协议来实现,但是也存在一些情况,需要通过TCP来传输音视频;例如UDP端口屏蔽。相对于UDP数据传输的丢包,乱序, TCP网络下的传输数据延时大,队头阻塞等问题,为实时音视频传输也带来了更大的挑战。
实时多媒体的一些特点:
对于视频高清的需求,大码率场景下,单位吞吐大幅增加,单帧大小大幅增加,导致网络丢包数大幅增加,
实时通信对低延迟的要求,导致对数据传输的实时性的要求高。
为了更好的提升实时多媒体QoS,在TCP 环境下,设置拥塞控制和流量控制,需要考虑到以下一些的方面:
快速地检测到网络的拥塞事件发生;
精准的控制编码码率,特别是对视频关键帧的编码,避免出现大的网络冲击;
更积极的网络探测,对网络带宽的充分利用,可以带来更好的音视频体验;
通过simulcast和SVC, 在带宽不足的情况下,尽量保证音视频的实时性和流畅度;
尽量避免发送无效数据冲击网络,例如FEC、NACK。
PART 05
总结
拥塞控制应该是TCP中相对比较复杂的一个部分了,通过介绍TCP拥塞控制设计思想以及一些常用拥塞控制算法的设计思路,希望大家能对TCP拥塞控制有更好的了解。



