集肤效应
集肤效应亦称表面效应。
当直流电通过导体时,在导体截面上各处的电流密度是相等的。
而当交流电通过导体时,在导体横截面上的电流密度是中间小,表面大,当电流频率相当高时,导体的中心可能没有电流,全部电流集中于导体的表面层,这种现象称为高频电流的表面效应,圆柱导体上的高频电流的集肤效应如图1所示。
图1 高频电流的集肤效应
产生集肤效应的原因是:当交流电通过导体时同时产生环绕导体的磁场,这个磁场又在导体上产生了自感电动势,自感电动势与原电动势方向相反,自感电动势在圆柱导体的中心最强,表面最弱。由于自感电动势对原电动势的抵消结果,使高频电流表面最大,中心最小,形成了集肤效应。
由于集肤效应的作用,导体横截面上的电流密度从表面到中心按指数规律递减,距表面x处的电流密度Ix见式1,即:
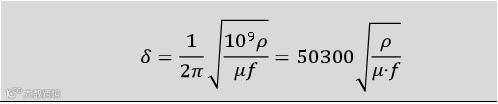
工程上从导体表面到从Ix的幅值降到I0的1/e(e=2.718,则1/e≈36.79%)处的深度称为电流透入深度,用δ表示,用式2进行计算:
由上式可知,电流透入深度δ与ρ、μ、f有关;当ρ增大,μ、f减小时,δ将增大。由理论计算可知,在电流透入深度δ层内,电流所产生的热量占全部电流产生总热量的86.5%。
从式2还可知,当电流频率f不变时,只要ρ和μ的变化,则可有不同的电流透入深度。材料在不同的温度下,有不同的ρ和μ,因此有不同温度的电流透入深度。
图2 钢的磁导率、电阻率与加热温度的关系
图2为钢的磁导率μ和电阻率ρ与加热温度的关系。
可见钢的电阻率随着加热温度的升高而增大,在800-900℃时,各类钢的电阻率基本相等,约为10-4Ω·cm;磁导率μ在温度低于磁性转变点A2或铁素体-奥氏体转变点时基本不变,而超过A2或转变成奥氏体时则急剧下降。
把室温或800-900℃温度的ρ及μ值代入式2,可得下列简式:
在20℃时
在800℃时
通常把20℃时的电流透入深度称为“冷态电流透入深度”,而把800℃时的电流透入深度δ800称为“热态电流透入深度”。
邻近效应
导体内交变电流的分布情况受到邻近导体内交变电流的影响,这种现象称为邻近效应。
邻近效应在实际应用中,主要有两种情况。
(1)当两个平行导体通入方向相反,大小相等的交变电流时,电流集中到两导体内侧表面层流过,磁场的表面是两导体之间磁场强度加强,两导体的外侧磁场强度减弱,如图3a所示为反向电流。
图3 邻近效应在矩形汇流排上的表现
a-反向电流;b-同向电流
(2)当两个平行导体通入方向相同、大小相等的交变电流时,电流集中到两导体外侧表面层流过,磁场的表现是两导体之间磁场强度最弱,而两导体的外侧的磁场因相互叠加而加强,如图3b所示为同向电流。
图4 邻近效应在感应加热时的表现
a-单极圆管导线用于加热平板
b-单极方管导线用于加热平板
c-圆筒感应器间隙均等时加热实心圆柱零件
d-圆筒感应器间隙不等时加热实心圆柱零件
邻近效应在感应器与被感应加热的零件之间也有表现,如图4所示为邻近效应在感应加热时的表现。
图4a为有效导体是单极圆管导线用于加热平板时,平板上的涡流呈圆弧状,与圆管导线上的电流分布相对应;
图4b为有效导体是单极方管导线用于加热平板时,平板上涡流层是平直的;
图4c为圆管感应器间隙均等时加热实心圆柱零件,因圆管感应器各处间隙均等,感应器和工件上的电流层及涡流层都是平直而均等的;
图4d为在圆筒感应器中,圆柱零件放斜了,造成各处间隙不等,在间隙小的地方,感应器上的电流层和工件上的涡流层都比较厚,在间隙大的地方两者都比较薄。
圆环效应
高频电流通过圆环状的导体时,最大的电流密度分布在环状导体的内侧,这种现象被称为圆环效应。圆环效应的实质是圆环感应器的邻近效应。
如图5所示为圆环效应示意图。
图5 圆环效应示意图
借助圆环效应的原理,我们可以解释用同一圆环感应器分别加热圆柱零件的外表面和内孔零件内表面时,两者的加热效率相差甚大的原因,如图6所示为用圆环感应器分别加热圆柱零件和圆筒零件。
图6 用圆环感应器分别加热圆柱零件和圆孔零件
b1-圆柱表面的加热宽度
b2-内孔表面的加热宽度
a-间隙;φ-磁力线
在加热圆柱零件外表面时,工件加热剧烈,升温很快,加热区较宽为b1。而加热圆孔内表面时,加热缓和,升温很慢,且加热区较窄为b2,由图可知b1≥b2。
虽然两种情况的间隙均为a,由于圆环效应的作用,高频电流集中于感应器的内侧,在内孔表面加热时,其真正的间隙远大于a,因此内孔表面的涡流强度将远小于圆柱表面的涡流强度,致使圆孔内表面加热较为缓和。
导磁体的槽口效应
一根矩形截面的铜导体,将其放在导磁体的槽口之中,当高频电流通过导体时,电流将只在导磁体开口处的导体表面层流过,这一现象称为导磁体的槽口效应,其槽口效应如图7所示。
图7 导磁体的槽口效应
H-磁场强度;I-高频电流
导磁体具有很高的磁导率,磁阻很小,通电导体产生的磁力线,将集中穿过槽口底部的导磁体,虽然在槽口底部的导体交链了最多的磁通,产生了很多的自感电动势,同理在槽口开口处的导体产生了最小的自感电动势,于是高频电流被迫在这里流过。
图8 感应器有效圈、导磁体和电流分布
1-导磁体
2-感应器有效圈
3-电流
利用导磁体的槽口效应,我们可以将高频电流驱逐到圆环感应器的外表面,这样可以提高内孔表面的加热效率,感应器有效圈、导磁体和电流分布如图8所示。
来源:中国热处理行业协会
沈阳市特种加工学会
诚邀您的加入
沈阳市特种加工学会是沈阳市特种加工学科的群众性学术团体。本会接受沈阳市机械工程学会的领导。接受全国特种加工学会的指导。本会的宗旨是:遵守宪法法规、维护道德风尚;崇尚实事求是、弘扬双百方针;立足科技创新、促进技术进步;坚持民主办会、推动学科发展;强调以人为本、谋求社会福祉。以学术交流为中心,大力促进沈阳市特种加工领域新技术、新工艺、新装备的开发和应用,加快科技成果转化为生产力的进程,提高学术水平,发展产业市场,为沈阳市的经济建设做出贡献。现有遍布全国各地的会员单位560家,会员850人。学会为服务会员、助力行业腾飞,推出五大特色服务:特技服务、科技服务、资源服务、智力服务、智数服务。
沈阳市特种加工学会
联系电话:156 4044 4873
主编:Ray
联系电话:187 4301 2888

