三元乙丙橡胶,英文名称:Ethylene-Propylene-non-conjugated Diene Rubber或Ethylene Propylene Diene Monomer(EPDM)。
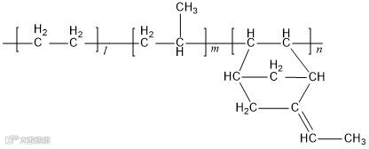
化学结构式:
三元乙丙橡胶是乙烯、丙烯以及非共轭二烯烃的三元共聚物,常温下外观为白色或者微黄色固体,易于混合。三元乙丙橡胶的物理性能、化学特征和加工性能主要因聚合体的分子结构不同而异,而与分子结构相关的因素有第三单体种类、门尼粘度和充油含量等各种要素。三元乙丙橡胶具有较好的耐老化性、耐化学品性、耐低温性及介电性能。
三元乙丙橡胶用途比较广泛,可用于建筑、电线电缆、汽车工业、交通等领域。建筑方面,主要用于屋顶单层防水卷材等;电线电缆方面,主要用于民用和商用建筑的电力输入线、建筑机械用电缆、矿用电缆、核电站用电缆、汽车点火线、控制及信号电缆等;汽车工业方面,主要用于汽车、卡车和公共汽车非轮胎部件,包括汽车的水箱及耐热胶管、密封条、橡胶带、车身及底盘的部件、挡雨条、底板和环管等;交通方面主要应用于车辆车门窗密封条、减震、止水带等。
该产品归在《中华人民共和国进出口税则》:40027010和40027090。
对各公司征收的反倾销税税率如下:
美国公司
1.陶氏化学公司 (The Dow Chemical Company) 222.0%
2. 埃克森美孚公司 (Exxon Mobil Corporation) 214.9%
3. 阿朗新科美国有限公司 (ARLANXEO USA LLC) 219.8%
4. 美国狮子弹性体有限公司 (Lion Copolymer Geismar,LLC) 219.8%
5. 其他美国公司 222.0%
韩国公司
1.锦湖POLYCHEM株式会社 (KUMHO POLYCHEM Co.,Ltd.) 12.5%
2.乐天玮萨黎司弹性体有限公司 (Lotte Versalis Elastomers Co.,Ltd.) 21.1%
3.其他韩国公司 24.5%
欧盟公司
1. 阿朗新科荷兰有限公司 (ARLANXEO Netherlands B.V.) 18.1%
2. 埃克森美孚化工法国公司 (ExxonMobil Chemical France (ExxonMobil Chemical France Société par Actions Simplifiée)) 14.7%
3. 意大利玮萨黎司有限公司 (Versalis S.p.A.) 16.5%
4. 其他欧盟公司 31.7%

