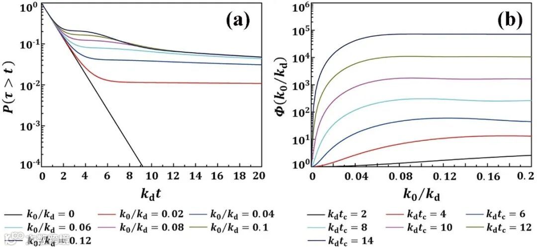
摩擦学国家重点实验室蔡志鹏课题组通过单晶硅划痕位错密度的原位对比测量,发现磁场可提高位错的移动性并促进晶格畸变的弛豫,并基于Lindblad量子主方程提出了外加磁场影响空位反应的模型(图1),得出外加磁场促进缺陷反应是基于动力学的加速进程而不是改变热力学状态促使反应发生的结论,该观点在本领域未见相似报道。
上述工作发表于J. Phys.: Condensed Matter(凝聚态物理,https://iopscience.iop.org/article/10.1088/1361-648X/ac1823),摩擦学国家重点实验室的赵乾副教授、集成电路学院的王喆垚教授共同参加了研究。该课题也得到了国家自然科学基金(51775300和52031003)的资助。
在该项研究涉及的空位在电磁场作用下的热-动力学演化行为可用化学反应速度模型加以描述的启发下,蔡志鹏课题组开展了电磁场对二苯甲酮-醇溶液自由基反应速度影响的研究,发现特定电磁场可显著提升反应速度(图2)。
图1 (a)不同磁场强度下的激发态寿命分布,(b)不同退激发频率下磁场对反应促进度与磁场强度的关系。
图2 不同实验条件下二苯甲酮-醇光反应的动力学曲线
电话:86-01062781379
传真:86-01062781379
E-Mail: sklt@tsinghua.edu.cn

