毕业生简介
刘浩宇
北京建筑大学2020届测绘工程硕士研究生
指导老师:侯妙乐教授、李成名研究员
论文发表及获奖情况:
1.Liu H, Xie L, Shi L, et al. A method of automatic extraction of parameters of multi-LoD BIM models for typical components in wooden architectural-heritage structures[J]. Advanced Engineering Informatics, 2019, 42:101002-.
2.Liu H, Hou M, Li A, et al. AN AUTOMATIC EXTRACTION METHOD OR THE PARAMETERS OF MULTI-LOD BIM MODELS FOR TYPICAL COMPONENTS OF WOODEN ARCHITECTURAL HERITAGE[J]. 2019.
3.Liu H, Hou M, Hu Y. A REVIEW OF DIGITAL WATERMARKING AND COPYRIGHT CONTROL TECHNOLOGY FOR CULTURAL RELICS[J]. 2018.
4.刘浩宇, 姜利利, 侯妙乐,等. 文物三维模型数字水印与版权保护[J]. 遗产与保护研究, 2018, 003(010):P.11-16.
5.2018年“创青春”首都大学生创业大赛铜奖
6.2019年第十届“挑战杯”首都大学生课外学术科技作品竞赛特等奖
7.2019年第十六届“挑战杯”全国大学生课外学术科技作品竞赛全国三等奖
成果展示
1
研究背景与现状
我国木建筑类型多样、体系完整,具有极高的历史、文化和科学价值。斗栱是评估古木建筑结构的关键性部件,由于自然灾害、战争等人为因素,斗栱构件存在变形、劈裂等残损现象,严重威胁古建筑安全状态。
图1 古木建筑与斗栱
目前,古木建筑的信息留取工作大多采用皮尺测量、人工手绘图纸等传统的测绘手段,所获取的结果受主观因素影响较大、且精度低,斗栱的安全评估也较为耗时费力。应用精细测绘手段留取古木建筑信息,基于高精度数据自动、高效识别斗栱构件种类对于斗栱针对性修复,科学评估古木建筑的防灾能力和安全现状具有重要意义。
图2 古木建筑保护的手段与趋势
针对上述问题与现实需求,本研究梳理了适应于自动化或半自动化的斗栱种类类别,提出了一种基于斗栱骨架线的斗栱种类分类识别算法。该算法提取的骨架线可保持斗栱模型几何形态和拓扑信息不变,显著减少冗余信息以提高识别效率。可为斗栱的安全性能评估提供数据支持。
图3 本研究的关键问题
2
技术路线与研究思路
2.1 技术路线
本研究以应县木塔中的铺作为基本研究对象,首先基于其形态特征给出斗栱的骨架定义,并提出了相应的骨架生成方法。在此基础上,通过对木塔中的斗栱的既有分类类别的整理,并结合各铺作的空间位置和功能特性,给出了相应的多级分类特征体系及相应的骨架识别特征。基于这一体系,提出了斗栱的逐级特征识别方法。最后对实例斗栱进行了实验,并讨论了算法的关键参数及取值,验证了方法的高效性和可靠性
图4 技术路线
2.2 研究内容
2.2.1斗栱空间骨架线提取方法及分级特征检测目标
(1)斗栱骨架线定义
本研究基于Sevensson et提出的骨架线定义,并将其进行适当地拓展,给出适应斗栱的骨架线的定义为整体外部可见构件的中轴线。
图5 斗栱骨架线示意图
(2)点云切片
将单独一个方向的切片方法扩展到针对三维模型的三个正交方向上的切片算法。按照设定的切片数量对斗栱点云进行三方向切片。
图6 切片算法示意图
(3)骨架节点识别
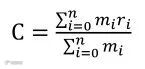
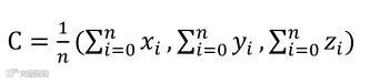
对片状点云采用区域生长算法,进行分割操作,将其分别记录为多个子点云,按照公式分别计算其骨架节点.
其中,r为各质点的坐标,m为质点对应的质量。本文中令对应的子点云中每一点的质量为1, 则对应点云质心坐标计算公式如下:
图7 多个子点云块分割 图8 骨架线计算节点
(4)骨架线生成
对各子点云计算骨架节点,并添加进骨架点云中留存,对骨架节点点云采用单源最短路径算法生成骨架线。
图9 斗栱骨架线示意图
(5)斗栱骨架线特征分级体系
依据应县木塔斗栱位置和功能的差别,梳理了三大类七小类宋式斗栱。
图10 斗栱精细分类类别总述图
用骨架线在三方向的投影对称性以及骨架线投影的线夹角描述各级各类斗栱的共性和特性,建立适用于斗栱类别识别的骨架线分级特征体系,为斗栱的高效识别提供重要基础。
图11 骨架线分级特征体系
2.2.2斗栱的逐级识别
将斗栱点云按照前述方法提取骨架线,引入图形学凸包概念将点对称问题转化为二维图对称问题,通过凸包对称性检测实现骨架线投影的特征向量生成,从而判别转角铺作。通过柱形检测判断补间铺作和柱头铺作,完成斗栱粗略识别。通过骨架线连通域形状特征分类算法和圆形特征检测算法实现交叉特征检测与圆形特征检测,判别斗栱中等层级的类别。最后基于平行骨架线组识别特殊构件斜昂实现斗栱精细分类识别。
图12 逐级识别流程图
图13a 对称性检测 图13b 柱形检测
图13c 交叉特征检测 图13d 圆形检测
图13e 平行组骨架线检测
3
典型斗栱实验验证
为验证算法有效性,本研究对典型斗栱采用相应的分级识别方法,实现对其类别的判定,并对其中关键参数进行讨论。采用的研究对象分别是叉柱造类柱头铺作和非叉柱造类带斜昂柱头铺作。
图14 实验对象
用 Faro Focus3D X130激光扫描仪对两案例进行三维点云的数据获取。通过在多个视角方向对实验对象进行扫描,获取多个方向的扫描数据,再通过将多站数据进行拼合,补洞、重采样等预处理操作获得最终的原始点云数据。
图15 实验点云数据
对于点云切片算法,设置不同的切片数量会影响骨架线的提取,当n取2时骨架线部分细节丢失;当n取5时,骨架线形态良好;当n取10时运算效率较低,效果提升不明显。
表1 切片数量n对切片骨架线提取的影响
在进行斗栱的中等分类类别识别过程中的叉柱造类铺作识别方法中,对所抽取的切片点云进行圆形检测时,需要设置判定符合模型点的距离阈值与迭代次数。经过试验,二者最佳设定值为5mm与5000次。
图16 内点距离阈值示意图
在对含斜昂类铺作的识别中,需要识别其中的相应斜率的平行直线组,故需要合理设定角度阈值。本研究分别选用角度阈值为0.25°,0.75°及1.5°进行实验,结果表明该值设定为0.75°效果最佳。
图17 不同角度阈值示意图
按照推荐值设定算法参数,对两个案例开展斗栱逐级识别实验,并通过与人工识别的结果进行对比,得到算法特征识别准确率结果。两个案例中,该算法对斗栱粗略分类的识别率为100%。对于斗栱的中等分类识别,案例一的识别准确率为90%,案例二的准确率为91.6%。对斜昂结构的精细分类准确率为100%.。处理百万级点云完成斗栱精细类别识别,总耗时不超过10分钟,验证了算法的高效性和可靠性。
表2 斗栱粗略分类类别识别率
表3 斗栱中等分类类别识别率
表4 精细分类类别识别结果
4
论文意义
本研究面向古木建筑遗产中斗栱种类繁多且样式多样的情况,而在缺少相关的古建筑遗产等历史知识时,非古建筑遗产专业人员很难对各类斗栱进行识别。此外,如何基于高精度精细测绘数据自动、高效识别其种类是该类建筑遗产数字化保护所面临的首要难题。针对这样一个难题,本研究以宋式斗栱为研究对象,给出了斗栱的骨架线的定义即相应的提取方法,明确了斗栱的多级分类特征体系,并结合点云斗栱骨架线提出了相应的多级特征识别方法,实现对斗栱的类别的识别。针对类型庞杂的古木建筑遗产体系,本研究算法的普适性虽然还有提高空间,但是本文所给出的斗栱多级分类体系及识别方法能够较便捷适配至其他体系。可为古木建遗产的修缮及保护及安全性能评估与提升提供相应的支持。
扫描二维码 关注我们
遗产数字化与虚拟修复团队公众号
微信号 : relics-conservations

