文献推荐
数字孪生驱动的夯土城址暴雨灾害动态风险监测-以蒲州古城为例
引用格式:Zhang, R., Hou, M., Dong, Y. et al. (2025).Digital twin-based risk assessment method for dynamic monitoring of heavy rain disasters in rammed earth city site: a case study of the Puzhou ancient city. Bull Eng Geol Environ 84, 268
针对暴雨引起的灾害对夯土城址带来的复杂风险难以做出及时预测与响应的问题。本研究提出了一种基于数字孪生技术的风险监测方法。通过将风险评估模型作为智能化预测的重要孪生模型,旨在提高风险识别效率并满足高质量决策需求,优化灾害管理流程。通过在蒲州古城遗址的实际应用验证了本方法的有效性。该研究不仅为城址保护和灾害预防提供了一套全面的管理解决方案,还开辟了数字化驱动的洪涝灾害风险评估及预测的新路径。
01
研究背景与问题
夯土城址作为文物保护中重要的历史遗迹,承载着丰富的历史文化信息。然而,近年来极端天气事件的频发,尤其是暴雨等极端天气,对夯土城址的保护带来了严峻的挑战。暴雨所引发的水土流失等问题可能对夯土城址的稳定性和完整性造成严重影响。数字孪生技术在保护考古遗址,尤其是夯土遗址方面显示出巨大的前景。然而,尽管这项技术具备广泛的潜力,但在夯土城址的风险监测与保护中尚存在一些研究挑战。
首先,虽然风险评估理论为灾害预测提供了坚实的理论基础,但如何有效地将这些理论融入由数字孪生技术支持的监测系统中,以提高对灾害及其潜在影响的预测和响应能力,依然是一个技术挑战。其次,考虑到自然因素如暴雨对夯土城址全生命周期的影响,确保从多个数据源收集的异构数据的准确性、完整性及其在灾害监测过程中的持续传输,是实现精确监控的关键。最后,设计一个能适应不同需求的监测系统至关重要,这种系统需要能实时监控环境变化、智能预测未来风险,并辅助进行有效决策,这对于保护夯土城址至关重要。
02
方法设计
逻辑架构
暴雨数字孪生风险监测的对象是城址暴雨风险,目标是为了实现对夯土城址的风险管理与保护,主要为物理实体与虚拟模型之间的孪生反馈,并与复杂的仿真建模手段相结合。依托于暴雨灾害风险评估模型,使物理实体、虚拟模型、服务系统、孪生数据和连接五部分通过一定的连接进行逻辑组合,驱动整个孪生体系之间的运行与管理。
图1数字孪生监测系统逻辑架构
指标诊断
结合致灾因子危险性与城址本体脆弱性,为实时感知现实暴雨城址灾害风险,需要从城址属性、防灾能力、本体稳定性和载体稳定性进行有效监测,结合损伤机制和信息,确定监测指标。
图2监测指标与风险诊断
修复与反馈
针对风险评估结果,确定暴雨情境下重点受灾区域并制定相应修复方案后,在虚拟平台上对修复方案进行设置,生成保存在历史数据中的虚拟修复数据。进行方案评估,包括对处理方案效果评估、风险评估和对重点区域修复结果的评估,然后对实体进行实际处理,并将实体反馈结果保存在修复档案中。
图3抢险修复与效果反馈
03
应用案例
蒲州古城地址位于山西省永济市区西南方向约 17 公里处,是山西省最大的古城。在历史上,它是一座被人熟知的重要城镇,具有经济和金融、政治和军事意义。通过对整体现状的勘察分析,城墙的主要残损和病害出现在由于外表砖缺失而导致的夯土剥蚀、颓塌现象,并因雨水冲刷及植物根系的侵扰持续渐变地发生着破坏,必须采取有效合理的保护抢救措施,使其延年益寿。
a)地理位置
b)蒲州古城遗址俯视图
c)北城门东立面现状
图4蒲州古城现状
蒲州古城数字孪生模型
蒲州古城数字孪生模型的建立基于高精度的三维扫描和地理信息系统(GIS)数据,获取城址尺寸、形状、环境要素等几何参数。通过这些数据捕捉蒲州古城的详细物理特征及其当前状态,从而设计降雨监控平台,平台中集成了从气象数据中获得的实时降雨数据流,以模拟和预测极端降雨情况可能对古城构成的威胁。其次,在模型中融合先进的风险预测分析工具,如SWMM(Storm Water Management Model)与有限元分析,用于分析历史降雨数据与当前降雨数据,预测未来可能的降雨变化对古城的潜在影响(例如洪水作用下古城淹没面积、积水深度、土体变形和土体滑动)。这种预测能力使得古城保护者可以前瞻性地制定维护策略,而不仅仅是对已发生事件的反应。
图5蒲州古城数字孪生模型
数据采集与预处理
数据在暴雨情景下扮演着连接城址的物理空间与虚拟空间的桥梁角色。其中,包括历史灾害数据和古遗址档案数据,这些数据虽然不直接影响监控系统的运维,但对于虚拟平台的构建、虚拟模型的创建、修复和评估至关重要。除此之外,构建古城址的虚拟模型依赖于数字化本体,需要整合多种数字获取技术,从而提取多尺度、多维度的信息,确保模型的完整性和高保真度。
图6虚拟模型
指标孪生模型创建诊断
为了评估暴雨对夯土城址稳定性的影响,依据风险评估理论,设计了两种模型:雨洪模型和有限元分析模型。
图7(a)雨洪模型
(b)有限元分析模型
通过此物理模型,能够研究城址在暴雨作用下的位移场和滑动面的变化,从而有效地预测和识别可能的破坏位置和程度。最终,所有数据被整合并输入到一个监测平台,以满足不同用户的需求。
监控系统平台设计
该平台的设计涵盖了四个主要部分:数据采集系统、数据处理系统、数据分析系统、以及服务应用系统。依托于文物大数据底座平台,该系统整合了GIS、无人机、摄影摄像建模等技术获取的数据,以及城址的历史信息、规模、类型等数据,这些数据被集成在一张地图上,提供了一个便利和友好的操作界面,并配备了暴雨监测评估预警服务。
(a)系统进入页面
(b)降雨情况
(c)洪涝灾害一张图
(d)风险评估结果
(e)可视化监测平台
图9暴雨监测平台
04
结果
基于不同重现期设计降水模拟结果,统计分析设计降水条件下地表淹没情况。随着设计降水重现期的增大,降水量由71.44mm增加到144.28mm,各个淹没面积均有所增加,总淹没范围面积也逐渐增大分别为22500、29500、33600和44200 m2。
通过对古城墙进行降雨有限元模拟,可以得到四种降雨情境下的古城墙位移云图。模拟结果显示,在10a的降雨下,横向位移峰值达到4.03米,主要发生在坡底;50a时,峰值增至5.66米,出现在坡面中上端的较陡位置;而在100a下,横向位移峰值进一步增加至6.49米,主要位于坡面的弧度较大处。这些位移的增大主要是由于雨水的入渗使得坡底自重增大和抗剪能力降低,进而导致内部裂纹产生和坡体向下滑动。在1000a的极端情景下,横向位移值异常大,显示城址已面临严重的冲刷破坏风险。这些发现提示我们,在降雨过程中,城址的风险性较高,尤其是位移较大的区域,应提前进行修复和加固措施。
此外,古城址在自然状态下也会逐渐劣化,尤其是基底位置受到实际环境中渗流、盐渍等因素的影响,导致土体内孔隙扩张、骨架塌落和颗粒间联结减弱,从而容易出现掏蚀破坏。在持续降雨的条件下,基低部位也容易发生较大位移。实地勘察发现古城墙已出现松动迹象,目前已用板子进行了临时加固如图(e)所示,这与实验结果是一致的。
(a)10a
(b)50a
(c)100a
(d)1000d
图11 (a)10a横向位移云图(b)50a横向位移云图(c)100a 横向位移云图(d)1000d位移云图(单位:mm)(e)北城址现场监测图
滑动面是指在土体或岩石体内部形成的一个或一组特定的面,沿这些面材料发生滑移或剪切运动,导致斜坡或边坡失稳的现象。根据数值模拟结果可以判断降雨时古城址滑体规模及滑动面的形态及位置。滑动较深处,塑性较大,当降雨强度过大时会发生滑塌事故。
(a)10a
(b)50a
(c)100a
(d)1000a
图12 降雨过程边坡滑动面云图
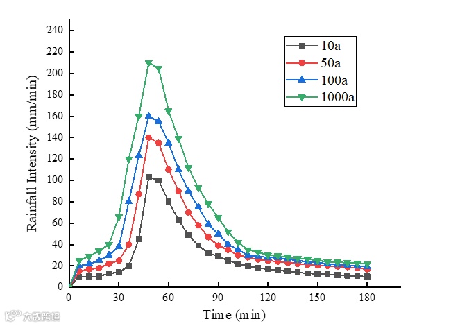
在降雨过程中,边坡稳定性系数是评估边坡可能失稳风险的关键参数,对于工程设计、风险评估、应急预案的制定、防灾措施的实施以及边坡的监测与维护管理都至关重要。降雨初期,水分的渗透导致边坡土体的有效应力降低,进而降低稳定性。随着降雨的持续,土体逐渐达到饱和状态,地下水位上升速度减缓,排水条件得到改善,边坡稳定性因此得以部分恢复。4种降雨重现期下,古城墙的稳定系数变化规律都基本相同,这验证了模型的可靠性。古城址的稳定性表现出随时间增长而先降低后增加的趋势,且随着降雨强度的增加,边坡的稳定系数逐渐减小。稳定系数的变化揭示了古城墙在降雨历时中存在明显的初期失稳和雨停后失稳现象。因此,迫切需要制定有效的加固方案,以确保人员安全并减少财产损失。
(a)
(b)
图13(a)稳定系数(b)降雨强度
05
讨论与结论
本研究针对数字孪生技术在暴雨灾害风险监测中的应用,设计了一个基于风险评估理论的数字孪生平台。该平台的设计策略突出了三个关键特点:实时性、智能化和交互性,以提高风险监测和预警的效率。数字孪生模型由实体层、数据层、模型层和功能层分层组织构成,各层独立但又协同工作,以便整合成一个完整的模型。通过利用传感器和气象卫星等传递的实时数据,平台能够进行高效的模型仿真分析和预测,进而针对暴雨灾害影响下的城址风险部位实施优先处理措施,制定出合理且高效的应对方案。
在蒲州古城遗址的案例中,从数据采集和处理、风险评估模型创建和监控平台的运行三方面研究。这一监控平台的设计不仅显著提升了暴雨监测的预测能力,还确保了用户能够有效利用平台提供的数据和工具进行决策支持,使用户由被动接收信息转变为能够主动参与暴雨监测和响应的过程。风险评估模型是设计中的关键部分,它能够分析并提供关于淹没面积、位移、滑动面及稳定性系数等重要信息,为风险决策提供了重要的参考。
数字孪生技术在历史建筑领域的未来发展将包括:1)增强数据集成和分析能力,通过收集有关气候、地形、水文以及基础设施的数据,并将这些数据集成至数字孪生平台中,以便提供更精确且实时的洪水预测和风险评估。2)扩展监测平台的应用范围,包括更多种类的文化遗产和更广泛的风险类型,如洪水、地震、火灾及人为破坏。
来源期刊:Bulletin of Engineering Geology and the Environment
DOI:https://doi.org/10.1007/s10064-025-04274-3
了解更多遗产数字化前沿信息
作者:张瑞玲
排版:李思凝
审核:肖泽

