
第一作者:冯永强(陕西科技大学)
通讯作者:曹丽云(陕西科技大学),何朝政(西安工业大学)
通讯单位:陕西科技大学,西安工业大学
DOI: 10.1039/D0TA09892B
合理设计和构筑具有高活性、耐久性用于析氧反应(OER)的非贵金属电催化剂引起了人们极大的兴趣,但挑战仍然存在。在这项工作中,作者采用还原诱导溶解-重结晶(RIDR)方法,在聚乙烯吡咯烷酮(PVP)存在下,通过异丙醇(IPA)溶剂热法制备富缺陷的蛋黄-壳普鲁士蓝类似物(YS-PBA)。实验结果表明,在IPA-PVP还原电位诱导Co3[FeⅢ(CN)6]2向Co2FeⅡ(CN)6的晶体相变过程中形成了富缺陷的YS-PBA。新合成的YS-PBA在 10 mA cm-2的电流密度下碱性介质中,具有293 mV的低过电势和长期耐久性(120小时),表现出优异的OER电催化性能,实验和密度泛函理论(DFT)的结果均表明,YS-PBA中形成的缺陷对改善OER活性具有显著的积极作用。
电解水是一种高效、可持续的制氢方法。然而,其阳极析氧反应(OER)缓慢的动力学和较大的过电位(η)阻碍了全解水过程。虽然贵金属铱(Ir)和钌(Ru)基电催化剂表现出优异的电催化OER活性,但储量低和成本高限制了它们的广泛应用。如今,在过渡金属氧化物(TMO)、金属氢氧化物、金属碳化物、金属氮化物、金属磷化物、金属硫族化合物等非贵金属电催化剂的研究已经取得了很大进展。然而,催化剂内部的催化性能原因仍然不明确。通常催化剂活性提升的原因被归结于其粒径小、比表面积大、层次结构独特、协同效应等。但纳米材料中普遍存在的缺陷往往被忽视。最近缺陷在调整电子结构和工程界面相互作用中的关键作用引起了广泛的兴趣,包括OER、氧还原反应(ORR)、二氧化碳还原反应(CO2RR)、超级电容器等。
从结构上讲,配位聚合物(CP)易于在结晶过程中产生原子台阶,拐角,边缘和位错等固有缺陷。具体而言,对于PBA的合成,晶体生长经历了非传统的结晶过程,从而导致晶体中边缘,悬键,非晶相等的暴露,它们都是高活性的催化位点。因此,通过缺陷工程提高催化剂的缺陷密度是提升催化活性的可行策略。
流程图1是合成YS-PBA的工艺示意图。
Scheme 1. Schematic illustration of synthetic process of YS-PBA.
图1是YS-PBA的形貌表征图,可以清楚的看到其呈蛋黄-壳立方体结构,表面粗糙略微凹陷。在核(图1d)和壳(图1e)中可以观察到用黄色虚线标出的原子空位、边缘和无定形区域等晶体缺陷,这些缺陷是重结晶过程中Co/Fe原子错连引起的。此外,图中的元素映射图谱说明了YS-PBA中Co,Fe,C,N和O的均匀分布。
Fig.1 Morphology characterization of YS-PBA. (a) SEM, (b) TEM,(c) SAED, (d,e) HRTEM, and (f) elemental mapping of YS-PBA. (d)and (e) correspond to the area marked by square and circle in(b), respectively, inset images show the related FFT patterns and the dashed lines indicate the crystal defects. Inset of (f) display the elemental line-scanning along the dashed line.
图2 (a)是YS-PBA和SC-PBA的XRD图,SC-PBA对应的晶体结构是Co3[FeⅢ(CN)6]2·10H2O (JCPDS card 46-0907),YS-PBA的晶体结构是Co2FeⅡ(CN)6 (JCPDS card 75-0039) 。 (b) 穆斯堡尔谱,(c) XPS,(d) FTIR也均表明Co3[FeⅢ(CN)6]2到Co2FeⅡ(CN)6的晶相转变 。
Fig.2 Structure identification of YS-PBA. (a) XRD patterns, (b)Mössbauer spectra, (c) XPS and (d) FTIR spectra of YS-PBA and SC-PBA. Inset of (a) show the optical images of (Ⅰ ) SC-PBA and (Ⅱ ) YS-PBA solution, and the dashed lines are guide for the eyes.
图3 (a)可以看出,溶剂热反应 8 h 后, SC-PBA 内部中心部分释放出[FeⅢ(CN)6]3-,外壳向内轻微收缩,形成凹形的空心立方体。图3 (c) XRD图谱在这时候显示出Co3[FeⅢ(CN)6]2和 Co2FeⅡ (CN)6的混合相。随着内部结构溶解,释放出的[FeⅢ(CN)6]3-被溶液中的IPA-PVP还原为[FeⅡ(CN)6]4-,然后与 Co2+离子重新配位聚合,形成更多的Co2FeⅡ(CN)6(Ksp=1.8×10-15)。进一步反应24 h后,整个粒子全部变为Co2FeⅡ(CN)6,形成蛋黄-壳结构。图3(b)是该反应的演变过程示意图。
Fig.3 Morphology and phase transformation of YS-PBA. (a) Time-dependent TEM images and (c) XRD patterns of YS-PBA at 0, 8, 16 and 24 h. (b) Schematic illustration for the morphology evolution of YS-PBA.
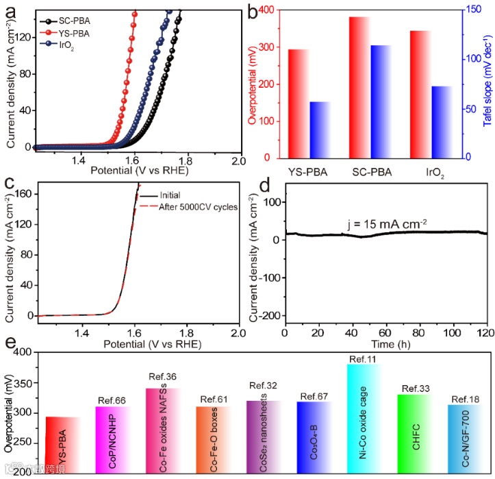
图4是使用标准的三电极体系,在1 M KOH水溶液中进行OER测试,相比于SC-PBA与贵金属IrO2,YS-PBA表现出较小的过电位和塔菲尔斜率,并且在10mA cm-2电流密度下可以持续工作120 h以上。
Fig.4 OER performance of YS-PBA. (a) LSV curves and (b) comparison of η10 (red column) and Tafel slope (blue column) for SC-PBA, YS-PBA and IrO2. (c) LSV curves before and after 5000 CV cycles of YS-PBA. (d) Current-time curve of YS-PBA. (e) Comparison of η10 for YS-PBA and other previously-reported OER electrocatalysts.
图5展示了YS-PBA中不同区域的原子台阶、非晶区、位错等晶体缺陷,这些在晶相转变过程中原位产生的缺陷具有较高的催化活性,是YS-PBA析氧反应活性提升的重要因素。
Fig.5 Defect identification in YS-PBA. (a,b) HRTEM of YS-PBA showing the atomic edges and amorphous domains and (c,d) HRTEM of YS-PBA showing the crystal dislocations, scale bar: 2nm. (e) Illustration for the formation process of defects in YS-PBA.
进一步,通过密度泛函理论计算了Co原子缺陷对对水分子的吸附能和电子态密度分布,结果表明Co原子缺陷有利于水分子的吸附,与实验结果一致。
Fig.6 The optimized structure of H2O adsorbed on the PBA surface (a) and PBA-Co surface (b). Calculated charge density for structures of H2O adsorbed on the PBA surface (c) and PBA-Co surface (d), the yellow and cyan represent the electron accumulation and depletion, respectively. The iso-surface is set to be 0.003 e/bohr3.
作者对SC-PBA通过简单的水热反应,采用还原诱导溶解-重结晶(RIDR)策略制备了一种新型的富缺陷蛋黄-壳CoFe-PBA,作者通过结构表征、性能测试及密度泛函理论(DFT),得出YS-PBA是由IPA-PVP还原电势诱导引起从Co3[FeⅢ(CN)6]2到Co2FeⅡ(CN)6的相变以及各种晶体缺陷的出现而形成的。YS-PBA中存在的缺陷在增强YS-PBA的OER活性中起着关键作用。目前的工作为能源转换和存储领域高效电催化剂的设计和构建提供一个新的思路。




