
英国伦敦大学学院的Junwang Tang、英属哥伦比亚大学的Robert Godin、香港大学的Zhengxiao Guo等学者在国际知名期刊 Nature Communication 上发表了题为“Unique hole-accepting carbon-dots promoting selective carbon dioxide reduction nearly 100% to methanol by pure water” 一文,来自英国伦敦大学学院的Yiou Wang和 Xu Liu为文章的共同第一作者。
由太阳能驱动的、利用水还原二氧化碳制甲醇的“人工光合作用”,既能为人类提供可持续的液体燃料,又能缓解全球气候变暖的问题,因此是科学家一直致力研究的课题。然而,由于光生电子空穴的快速复合,以及缓慢的水氧化反应,迄今为止高效的、特别是高选择性的CO2转化为液体燃料鲜有报道。本文使用瞬态吸收光谱法,发现微波合成的碳点(mCD)具有独特的空穴接受性质,可将氮化碳(CN)的电子寿命(t50%)延长六倍,有利于CO2还原反应中六电子产物的生成。mCD修饰的CN可稳定地从水和CO2中产生接近化学计量的氧气和甲醇,并且对甲醇的选择性接近100%,在可见光区域的固有量子效率为2.1%,并通过同位素标记进行了进一步的证实。mCD可以快速从CN中抽出空穴,并防止甲醇的表面吸附,有利于水在mCD上的氧化,并提高了选择性CO2还原为醇的能力。该工作为用大量的碳和氮构筑有效、廉价的光催化剂来转化CO2为甲醇提供了有效的思路,进而提供了一种可以使用水高效率高选择性地将CO2还原为高价值的化学品的独特策略。
化石燃料的消耗增加了大气中二氧化碳的含量,导致了迫在眉睫的气候变化。20世纪70年代以来,为了缓解能源和环境问题以及获得可持续的燃料,人们一直致力于开发可再生的人工光合作用,即,将二氧化碳固定为有机物。在理想的光催化CO2转换系统中,半导体被适当能量的光子激发,并生成电子和空穴对。
C3N4是一类新兴的易于调控的有机半导体,由于其独特的缺陷结构,具有罕见的长寿命电荷载流子。在还原性助催化剂和可见光作用下,CN由于其位置较负的导带(CB),在制氢和二氧化碳减排方面表现出了良好的活性。氮化碳在实验室中制备时,会始终包含碳,氮和氢,并不是理想的C3N4结构(在本文中以CN表示)。
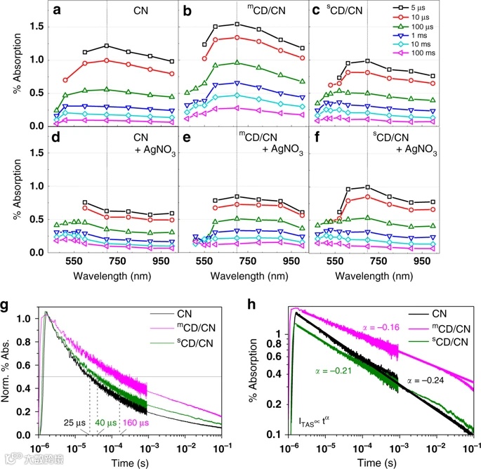
然而,因为其价带(VB)太接近水氧化电位,以及水氧化本身的动力学难题,利用CN进行水氧化的报道较少。为了利用CN中的长寿命载流子,开发适当的活性助催化剂对于完成水氧化反应是至关重要的。碳点(CD,直径10纳米左右)是另一种具有独特电子结构的新兴碳纳米材料,最近被用作增强光吸收、分解过氧化物的辅助催化剂,更重要的是作为还原反应的助催化剂。尽管接受电子的CD助催化剂延长了电子的寿命,但它会损失光生电子的一部分还原电化学势,更不会直接加速缓慢的水氧化。更好的解决方案应是用接受空穴的CD来解决困难的水氧化问题,同时保留光生电子的全部还原能力。但是,关于CD接受电荷的选择性的报道很少。另一方面,尽管这种能接受空穴的CD助催化剂对改善水的氧化起决定性作用,迄今在实验中很难观察到。
本文利用TAS研究,发现了用微波方法制备的碳点mCD(石墨相)在mCD/CN复合材料中作为空穴受体的独特功能,以及基于超声方法制备的sCD(非晶态)在sCD/CN复合材料中的电子受体作用。mCD使CN中的电子寿命相比sCD延长四倍,有利于多电子还原过程。mCD/CN纳米复合材料稳定地生成99.6%选择性的化学计量比的氧和甲醇,并通过13C标记证实。其在420 nm处的IQY为2.1%。另一方面,sCD/CN复合材料只产生CO。此外,独特的mCD从电子中捕获空穴,防止还原产物甲醇的吸附,从而有利于氧化水而防止氧化生成的甲醇,提高CO2还原成醇的选择性。
图3. 光催化 CO2 转化制甲醇活性测试.
The photocatalytic activity of (a) mCD/CN and (b) sCD/CN measured under visible light (λ> 420 nm).(c) Control experiments on mCD, sCD, CN, mCD/CN and sCD/CN. (d) Mass spectra of the product 13CH3OH from 13CO2 photocon-version by the mCD/CN photocatalyst. Inset: the mass spectra of the 13CO from 13CO2 photoconversion over the mCD/CN photocatalyst. (e) Consecutive three runs of CO2 photocon-version to methanol on mCD/CN under visible light. (f) IQY of mCD/CN measured at atmospheric pressure under nearly one sun irradiation condition.


