
氧离子/氧空位在CeO2 中的形成以及迁移扩散,严重影响着它在化工和能量转换系统中的电化学和催化特性。但由于氧空位的无序分布,所以在原子尺度的定量表征一直具有很大的挑战性。 在这项工作中,作者利用最新发展的四维扫描透射显微技术(4D STEM),通过对局部的晶格应变的精确测量,从而达到对局部的氧空位浓度的探测。作者首先通过聚焦强电子束对样品的辐照,在晶粒中央产生一个氧空位高浓度的区域,在不同的时间段去测量应变的分布,从而得到各点氧空位浓度随时间的变化关系,进而通过两维扩散方程拟合出氧空位/氧离子的扩散系数。通过运用电镜加热台和冷却台,作者还系统测量了不同Sm掺杂量的四种组分的Ce1-xSmxO2-x/2在-20 到160度温度区间下的扩散系数,通过Arrhenius 关系拟合计算出了它们各自的氧离子的激活能(activation energy)。发现随着Sm掺杂浓度的提高,激活能也显著提高,从纯的CeO2的 0.59ev 升到了Ce0.8Sm0.2O1.9的 1.27ev。 这就揭示了掺杂离子对氧离子传输有散射作用。作者的第一性原理的计算结果很好的验证了实验结果。在此基础上,作者还观测到了位错对氧空位扩散的阻碍现象。位错可以吸收其附近的氧空位,把它们钉扎在自己的周围形成大范围的氧空位耗散区域,从而阻止氧空位的进一步扩散。所以,要提高氧空位/氧离子的迁移率,如何降低位错的密度是一个必须要考虑问题。
氧化铈(CeO2)在化工和能源上有着广泛的应用,例如在氧化物燃料电池,电解液,催化转换上。配以合适的二价元素的掺杂,如Sm,它可以体现出优越的低温离子导电性。20% Sm掺杂的Ce0.8Sm0.2O1.9由于表现出极高的离子导电性,被认为是用来当作清洁高效的中间温度氧化物燃料电池的固态电解液的极佳选择。所有这些应用都必须建立在对氧化铈中氧空位的生成以及迁移的理解之上的。但由于氧空位空间分布的的无序状态,以及氧离子很小的原子序数,这些都阻碍了我们运用X光和电子成像技术对氧空位,特别是在定量化方面的表征。而通过对大块材料的测量又不可避免的会遇到晶界和表面效应的影响。
作者在之前的工作中发现,强的汇聚高能电子束对CeO2有还原作用,长时间照射下会生成稳定的C-type的 CeO1.68(J. Appl. Phys. 120,214302(2016))。而结合文献中的报道,晶格单胞长度的变化与氧空位的浓度有着确定的线性关系。氧空位浓度的增加对应着晶体单胞的膨胀。结合最新发展的4D STEM技术,作者设计了本文的工作:首先通过聚焦电子束长时间照射一个晶粒内部很小的区域(在30纳米直径左右)以期形成一个高氧空位浓度的C-type的 CeO1.68 相,然后散开电子束,以降低单位面积的电流密度达到减少新的氧空位对后续实验的影响。高浓度的氧空位就会随着时间向周围迁移扩散。考虑到薄片状的样品结构,这就是一个典型的两维扩散问题。通过4D STEM 扫描高氧空位及其周围区域,就可以通过应变的测量得到局域的氧空位的浓度分布。在不同的时间点测量,就可以得到各点的浓度随时间的变化情况。通过线性拟合氧空位浓度和时间倒数的关系曲线,就可以得到在目前温度下本材料的氧离子的扩散系数。而通过测量得到不同温度下的扩散系数后,拟合扩散系数和温度倒数之间的Arrhenius 关系,就可以得到材料的氧离子的激活能。在中间温度氧化物燃料电池的应用中,激活能将会决定离子的迁移扩散的路径。
图1中(a)是4D STEM 的工作原理图, (b)是一张4DSTEM的实验结果图,其中的C 和D两个像素各自对应一张两维的衍射谱。(f)-(i)给出了两维应变的各个分量。(j)是由应变计算出的晶格膨胀,(k)由晶格膨胀得到的氧空位的浓度分布。(p)给出来最高氧空位浓度随时间的变化情况。

FIGURE 1. Oxygen vacancy concentration changes with time inside a CeO2 grain. (a) Schematic illustration of the 4D STEM geometry. (b) A 4D STEM image of the whole CeO2 grain. (c) and (d) Diffraction patterns corresponding to the two pixel points c and d in (a). (e) Dark-field image using the 110 diffraction spot in (d). (f)-(i) The strain field components calculated from (b). (j) Lattice expansion calculated from (f)-(i). (k) Oxygen vacancies distribution calculated from (j). (l)-(o) The oxygen vacancy distributions at different times. (p) Plot of maximum oxygen vacancy concentration versus time (black) and inverse time (red).
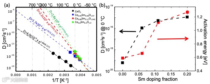
文章图4(a) 给出了四种不同掺杂的样品在不同温度下的氧离子的扩散系数。虚线是拟合的结果。(b)给出来扩散系数以及激活能随掺杂的的变化关系。
FIGURE 4. Activation energy retrieved from a standard Arrhenius relation.(a) Arrhenius plots of oxygen vacancies diffusion coefficients in the temperature range of –20 to 160 °C. (b) The change in diffusion coefficients and activation energies with different Sm doping concentrations.
文章图6给出来位错对氧空位的在100度温度下的钉扎情况。一开始位错的应变衬度很小,当强电子束聚焦在中心的小区域照射一段时间后再散开,位错表现出变大的应变衬度,尽管它们并没有被强电子束照射。随着时间的推移,中央部分的衬度因为氧空位扩散开去而衬度降低。但是位错的衬度却一直还在。这就证明了位错对氧空位有吸附作用。
FIGURE 6. The oxygen vacancies absorption effect of dislocations observed at 100 °C in a CeO2 grain. (a) Before converged electron beam irradiation, dislocations show weak contrast. (b)-(d) TEM images recorded in time sequence after the irradiation. Dislocations show extended contrast. (e) 4D STEM image from the black dashed rectangle marked area in (d). (f) Lattice expansion mapping from the same area in (e).
通过4DSTEM技术的应用,作者系统的观测了氧空位在Sm 不同掺杂的CeO2中的迁移扩散情况,得到了四组样品在-20到160度温度之间的扩散系数,以及其各自的激活能。同时也确认了位错对氧空位的吸附钉扎作用。指出了要提高氧空位的迁移率,必须要降低位错的浓度。作者的工作给点缺陷的研究提供了一个新的高空间分辨的方法。
丁勇博士现为美国佐治亚理工材料系Principal Research Scientist, 主要研究领域是电子显微学在材料领域中的应用。 目前发表了超过200篇SCI论文,H-index 为82。
刘美林教授现为美国佐治亚理工的Regent Professor 以及新型燃料电池及电池技术中心主任。课题组的研究领域主要包括锂电池,燃料电池和超级电容器这三个方向。发表了超过800篇论文,H-index为115.
王中林院士现为中国科学院北京纳米能源与系统研究所所长,课题组的研究领域包括一维氧化物纳米构制备、表征及其在能源技术、电子技术、光电子技术以及生物技术等应用。在2006年,他发明了纳米发电机,并提出了自驱动系统的概念,为微纳电子系统的发展开辟了新途径。之后他开创了压电电子学和压电光电子学研究的先河,对纳米机器人、人-电界面、纳米传感器、医学诊断及光伏技术的发展具有里程碑意义。已在国际一流刊物上发表超过1400篇期刊论文(其中,Science、Nature、及其子刊40余篇),H-index为249. 拥有200余项专利,7本专著和20余本编辑书籍和会议文集。他是Nano Energy 的发刊主编和现任主编。
Yong Ding et al., Quantitative nanoscale tracking of oxygen vacancy diffusion inside single ceria grains by in situ transmission electron microscopy, Materials Today, 38(2020), 24-34. https://doi.org/10.1016/j.mattod.2020.04.006.