
本公号文献全部由作者自解读,欢迎投稿!
第一作者:钟阳光
通讯作者:刘新风研究员,胡小永教授,张青教授
通讯单位:国家纳米科学中心,北京大学
DOI:10.1021/acsnano.0c06380
铅卤钙钛矿材料具有的优异光电性质在激光器,发光二极管和光电探测器中都有出色的表现。单晶钙钛矿相比于多晶钙钛矿具有更少的缺陷浓度,更长的载流子迁移率,可以进一步提高器件性能。目前,大面积且具有高光学增益的单晶钙钛矿薄膜的制备仍然存在挑战。因此,本文提出了一个在c面蓝宝石衬底上制备大面积CsPbBr3单晶薄膜的简便方法。通过稳态荧光,TRPL以及TA光谱对薄膜的载流子动力学进行研究,文章阐明了随着注入载流子浓度的增加,载流子复合从束缚态相关的激子复合到激子与自由载流子复合共存,再到自由载流子复合占主导的转变。更重要的是,单晶薄膜在室温下获得了极低的阈值(~8 μJ cm-2)放大自发发射(ASE),在20倍ASE阈值的泵浦功率下,得到了高达1255 cm-1的高光学增益。基于高质量的单晶薄膜,使用聚焦离子束蚀刻(FIB)方法制备了圆盘阵列,并在直径为3 μm的圆盘上实现了阈值为1.6 μJ cm-2的单模激光发射。本文提出了一种通用的方法来制造大面积CsPbBr3单晶薄膜,为光与物质相互作用的研究及钙钛矿的光学结构(光子晶体等)的制备提供了良好的载体,促进了CsPbBr3材料在光电材料中的应用。
由于具有高的光吸收系数,高的载流子迁移率,高的电荷扩散长度,低的缺陷态浓度等优点,铅卤钙钛矿铅材料已广泛用于太阳能电池,激光器,光电探测器和发光二极管。然而,多晶膜中的高密度晶界导致较高的缺陷态,引起更多的无辐射复合并影响载流子寿命,从而导致器件性能变差。与多晶膜相比,钙钛矿单晶薄膜的缺陷密度更低,可以增加器件的性能。单晶钙钛矿材料可以通过溶液法(例如冷却饱和溶液,逆温结晶等)或气相外延方法(VPE)来制备。但是,由于不稳定的成核尺寸带来了不可控性和不确定性,无法通过溶液法制备钙钛矿单晶薄膜。气相外延沉积法在形貌和晶粒尺寸控制上具有更大的优势。在2017年,Shi等人采用VPE方法在NaCl衬底上制备了厘米级和无晶界的无机钙钛矿薄膜。基于这项工作,通过添加石墨烯作为缓冲层,他们在NaCl/CaF2衬底上获得了高质量的CsPbBr3薄膜。缓冲层促进外延生长并降低位错密度,有利于获得更长的有效载流子寿命。同时,通过克服Volmer−Weber晶体生长模式,Jin等人在较高温度下使用VPE方法在SrTiO3衬底上制备了CsPbBr3纳米片阵列和大面积(5 mm × 10 mm)的连续单晶薄膜。由于大面积且具有低的缺陷密度,钙钛矿单晶薄膜已被广泛用于研究内在的光学性质。其中,光学增益代表激光器件的功耗水平,直接影响着激光的性能。但是,可能是由于粗糙表面或厚度不均匀,通过气相外延制备的钙钛矿单晶薄膜的光学增益方法尚未被研究,限制了其在激光器件中的研究和应用。
图1是生长在蓝宝石衬底上钙钛矿薄膜的结构和光学表征。(a)气相外延生长单晶薄膜的成核示意图。(b)单晶薄膜的光学照片和原子力显微镜图片,显示薄膜具有很好的均匀性和很低的粗糙度。(c)单晶薄膜的XRD数据和标准卡片的对比,展示了薄膜具有良好的结晶性,属于正交晶相。(d)单晶薄膜的选区电子衍射图。(e)薄膜的横截面SEM照片。(f)单晶薄膜的TRPL数据和EDS面扫描照片。通过光学和结构表征,表明薄膜具有高的晶体质量。

Figure 1. Structural and optical characterizations of CsPbBr3 SCFs epitaxially grown on c-plane sapphire (001) substrates. (a) Schematic illustration of nucleation process of CsPbBr3 SCFs by VPE method on c-plane sapphire substrate. (b) Optical and AFM (inset) images of CsPbBr3 SCFs. The line profile shows the thickness of the film. The scale bar of the optical image is 50 μm. (c) XRD pattern of the CsPbBr3 SCFs grown on c-plane sapphire (001) substrates. The sharp peak is consistent with the standard card ICSD-97851 suggesting high crystallization. (d) The SAED image of CsPbBr3 SCFs. (e) Cross-sectional SEM images of the CsPbBr3 SCFs showing high uniformity. (f) TRPL spectrum of SCFs, showing good fitting using a single exponential function with a lifetime of ∼3.1 ns, indicating the good quality of CsPbBr3 SCFs. Inset shows the EDX mapping of CsPbBr3 SCFs, which reveals a uniform spatial distribution of Cs, Pb, and Br elements.
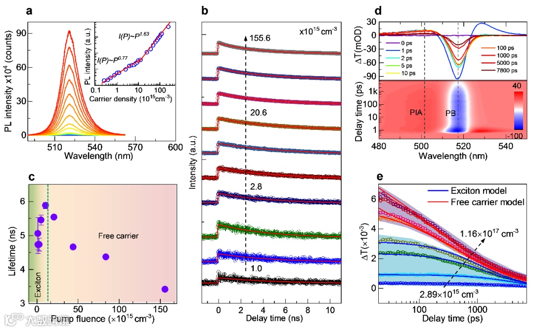
图2是CsPbBr3单晶薄膜的载流子动力学分析。(a)CsPbBr3单晶薄膜的稳态功率依赖的PL光谱,插图展示了CsPbBr3单晶薄膜的荧光积分强度与激发功率的函数关系。(b)用400 nm脉冲激光泵浦的CsPbBr3单晶薄膜的功率依赖的TRPL光谱。(c)从TRPL光谱中提取的CsPbBr3单晶薄膜的功率依赖的载流子寿命。(d)上图:在不同的泵浦探测时间延迟t从0到7800 ps时的瞬态吸收(TA)光谱(ΔT)。下图:在0.7 μJ/cm2的条件下以3.1 eV泵浦的CsPbBr3单晶薄膜的TA光谱的伪彩色(ΔT)图。 黑色虚线标记了光子诱导吸收(PIA)和光漂白(PB)的位置。(e)室温下与激发密度有关的基于激子模型(蓝线)和自由载流子模型(红线)的载流子复合动力学(圆形)和全局拟合(实线)。

Figure 2. Carrier dynamics analysis of CsPbBr3 SCFs. (a) Steady-state power-dependent PL spectra of CsPbBr3 SCFs. Inset shows the integrated PL intensity of CsPbBr3 SCFs plotted as a function of excitation density, which are fitted by the function of I ∝ Pα. (b) Power dependent TRPL spectra of CsPbBr3 SCFs pumped with 400 nm pulsed laser. (c) Power-dependent lifetime of CsPbBr3 SCFs extracted from TRPL spectra fitted with single exponential. (d) Top panel: Transient absorbance (TA) spectra (ΔT) at different pump−probe time delays t from 0 to 7800 ps. Lower panel: Pseudocolor (ΔT) figure of TA spectra of CsPbBr3 SCFs pumped by 3.1 eV at 0.7 μJ/cm2. The black dotted line marks the location of photon-induced absorption (PIA) and photobleaching (PB). (e) Excitation density-dependent band-edge bleaching carrier dynamics (circle) at room temperature and global fits (solid lines) based on the exciton model (blue line) and the free carrier model (red line). The data (circle) are integrated in the probe window of 2.06−2.7 eV.
图3是大面积CsPbBr3单晶薄膜的ASE和光学增益分析。(a)CsPbBr3单晶薄膜的PL随着泵浦强度的变化,泵强度范围是2-14 μJ cm-2。插图是CsPbBr3单晶薄膜的PL强度和fwhm随泵浦功率的增加而变化的趋势,得到的ASE阈值为8 μJ cm-2。(b)在不同泵浦强度下使用可变条纹法估算CsPbBr3单晶薄膜的光学增益使用公式:I0(L)= IsA/g [exp(gL)-1]可以得到2 Pth,10 Pth和50 Pth的光学增益。(c)CsPbBr3单晶薄膜的功率依赖的光学增益,随着泵浦功率的增加,光学增益变大最后趋于饱和,在20 Pth时达到最大增益1255 ± 160 cm-1。

Figure 3. ASE and optical gain analysis of large-area SCFs. (a) Pump-fluence dependence PL emission from a CsPbBr3 SCF, and the pump intensity range was 2−14 μJ cm−2. Inset is the variation tendency of PL intensity and fwhm of CsPbBr3 SCFs with increasing pump fluence, which shows the threshold of 8 μJ cm−2. (b) Optical gain estimation for CsPbBr3 SCFs using VSL experiment with various pump intensity of 2 Pth, 10 Pth, and 50 Pth yield using the formula: I0(L)= IsA/g [exp(gL)-1]. (c) Power-dependent optical gain of CsPbBr3 SCFs, which shows the optical gain increases as the excitation power increases and reaches a max gain of 1255 ± 160 cm−1 at 20 Pth.
图4是微盘阵列的激光性能表征。(a)FIB处理后的微盘阵列的SEM图像;比例尺为5μm。(b)在405 nm激光照射下微盘阵列的荧光照片。(c)单晶薄膜(FIB处理之前)和磁盘阵列(FIB处理之后)的PL和TRPL对比,几乎相同的PL强度和寿命表明,FIB处理对CsPbBr3单晶薄膜的影响较小。(d)单个3 μm直径微盘的功率依赖的PL,泵浦功率从0.4增加到6 μJ cm-2。(e)CsPbBr3单个微盘的泵浦功率依赖的PL强度和半高全宽,实现ASE的阈值为1.6 μJ cm-2。插图显示了在阈值以下(0.5 Pth)和阈值(3.6 Pth)以上的400 nm飞秒激光照射的单个微盘的荧光图像。(f)厚度相似(300 ± 20 nm)直径从3到30 μm的单个微盘的单模到多模激光光谱。

Figure 4. Lasing characterization of microdisk array. (a) The SEM image of the microdisk array after FIB treatment; the scale bar is 5 μm.(b) PL image of the microdisk array under 405 nm laser irradiation, with uniform green light emission indicating high quality. (c) PL and TRPL contrast of SCFs (before FIB treatment) and disk array (after FIB treatment), which shows that almost the same PL intensity and lifetime indicate that the FIB treatment in our experiment has less impact of the CsPbBr3 SCFs. (d) Power-dependent PL of a single 3 μm diameter microdisk with the pump influence increased from 0.4 to 6 μJ cm−2. (e) Pump-fluence-dependent PL intensity and fwhm of a CsPbBr3 single microdisk, which shows the threshold is 1.6 μJ cm−2. Inset shows the PL images of single microdisk with 400 nm femtosecond laser irradiation below (0.5 Pth) and above (3.6 Pth) the threshold. The 400 nm laser is filtered by a 405 nm long pass filter; the scale bar is 15 μm. (f) Single mode to multimode lasing spectroscopy of a single microdisk with different diameters from 3 to 30 μm. The disks are of similar thickness (300 ± 20 nm).
本工作在蓝宝石衬底上制备了大面积CsPbBr3单晶薄膜,单晶薄膜表现出高的结晶度和优异的晶体质量。稳态和瞬态光学表征表明,在低功率密度下缺陷辅助激子复合,而在高功率密度下激子和自由载流子复合共存,直到自由载流子重组占主导,可能归因于电子和空穴复合速率的不对称,存在表面态复合或大极化子。此外,从CsPbBr3单晶薄膜中获得了低阈值8 μJ cm-2的室温ASE。更重要的是,获得了高达1255 ± 160 cm-1的最高光学增益值,是CsPbBr3单晶薄膜中最高值。此外,从通过FIB处理的高质量阵列微盘获得了低阈值单模激光器。这些出色的性能意味着CsPbBr3单晶薄膜可用于未来的集成应用。
刘新风研究员,博士生导师,中科院纳米标准与检测重点实验室副主任。2011年于国家纳米科学中心获理学博士学位,之后在新加坡南洋理工大学从事博士后研究,主要从事半导体材料超快光谱学研究。2015年入选中科院“百人计划”,加入中科院纳米标准与检测重点实验室。近年来在Nat. Commun., JACS, Adv. Mater., Nano Letters,等期刊上发表论文160余篇, 总被引10000多次,H因子51(Google Scholar)。并应邀在Adv. Mater., Adv. Opt. Mater., Photonics Research等期刊撰写综述。担任Nat. Nanotech., Science Adv., JACS, Adv. Mater., Nano Lett.,等国际学术期刊审稿人。担任Nanotechnology客座编辑, Journal of Physics: Photonics, Nano Materials编委会委员。授权中国专利6项,专著(章节)两部。主持承担的科研项目有中科院 “百人计划” 项目基金、国家自然科学基金面上项目、科技部纳米专项、北京市面上项目、中科院仪器研制项目、中国-以色列双边联合项目等项目。
课题组主页:
www.nanoctr.cn/liuxfgroup
胡小永教授现为北京大学物理学院教授,课题组目前开展光子晶体微纳光子器件的材料和物理研究,结合光子晶体和表面等离激元的优势,探索基于光子晶体平台的逻辑运算和超高速信息处理芯片的实现途径。
课题组主页:
http://faculty.pku.edu.cn/huxiaoyong/zh_CN/index/7475/list/index.html
张青教授现为北京大学工学院材料科学与工程系助理教授,课题组主要研究低维半导体材料和金属纳米结构的光与物质相互作用。目前在Nature Photonics, Nature Communications, Physical Review Letters, Advanced Materials以及Nano Letters等期刊发表百余篇论文。
课题组主页:
http://www2.coe.pku.edu.cn/faculty/zhangqing/Home.html
Yangguang Zhong et al., Large-Scale Thin CsPbBr3 Single-Crystal Film Grown on Sapphire via Chemical Vapor Deposition: Toward Laser Array Application, ACS Nano, https://doi.org/10.1021/acsnano.0c06380
论文发表不是工作的结束,而是一个新阶段的开始。欢迎大家在邃瞳科学云平台上分享论文解读,为自己的学术代言。投稿请添加以下微信:
邃瞳科学云APP实验室板块以文字、影像资料等方式多维展示实验室的实力和风采。一方面宣传推广实验室,一方面为实验室提供直播工具,方便线上组会、跨组跨区域互动。同时为实验室招生、招聘、匹配资源,实验室、课题组间互动提供方便。实验室入驻咨询请添加以下微信:

点击下方“阅读原文”,可以快速访问刘新风课题组主页