第一作者:刘英
通讯作者:黄扬,张旺,侴术雷
通讯单位:深圳大学,University of Wollongong
论文DOI:10.1002/adfm.202008033
全文速览
钒基材料是锌离子电池的理想阴极材料,但大多数钒基材料由于低电导率和大尺寸容量较低。本研究应用导电的V2CTx MXene实现高能量密度和倍率性能。通过起始的充电活化,V2CTx电极中的V价态从V2+/V3+ 升至V4+/V5+,在表面形成了纳米级别的VOx以进行多电子反应,内部未变化的MXene结构则为高导电性提供了纳米通道。得益于外部的高价态VOx和内部的V-C-V,活化的V2CTx展现出超高的倍率性能(在 30 A g−1时358 mAh g−1)、超高的能量和功率密度(318 Wh kg−1/22.5 kW kg−1),在2000次循环后仍可保持近100%的库伦效率,本研究为设计高性能的锌离子电池阴极材料提供了参考。
背景介绍
丰富的氧化还原化学为提升锌离子电池的能量密度提供可能。钒基材料因丰富的组分和晶体结构具有高放电容量,然而,其低导电性限制了锌离子储存的速率。根据计算公式C = αD/L2,通过提升电子/离子的扩散速率和降低电极的尺寸可提升其倍率性能。
V2C MXene具有超高的电导率和丰富的表面化学性质,V-C-V单层组成的手风琴结构中为电荷传输提供了纳米通道,组成了多分枝的并联电路以实现高功率输出。MXene表面的活性位点为Zn2+的嵌入和脱出提供了位点。但是V的+2和+3的低价态不能参与充放电过程中的高低价态转换的多电子氧化还原反应。
本研究提出了在起始充电时将V2CTx阴极电化学活化,在不破坏内层导电的MXene二维结构情况下将表面的V提升至高价态。展现出超高的倍率性能(在 30 A g−1时358 mAh g−1)、超高的能量和功率密度(318 Wh kg−1/22.5 kW kg−1),研究表明,表面的V在充电时被电化学活化氧化为VOx,通过电压调控(1.8V)可保护内部导电的V-C-V多层结构。在2000次循环后仍可保持近100%的库伦效率(283.7 mAh g−1),本研究为设计高性能的锌离子电池阴极材料提供了参考。
图文解析

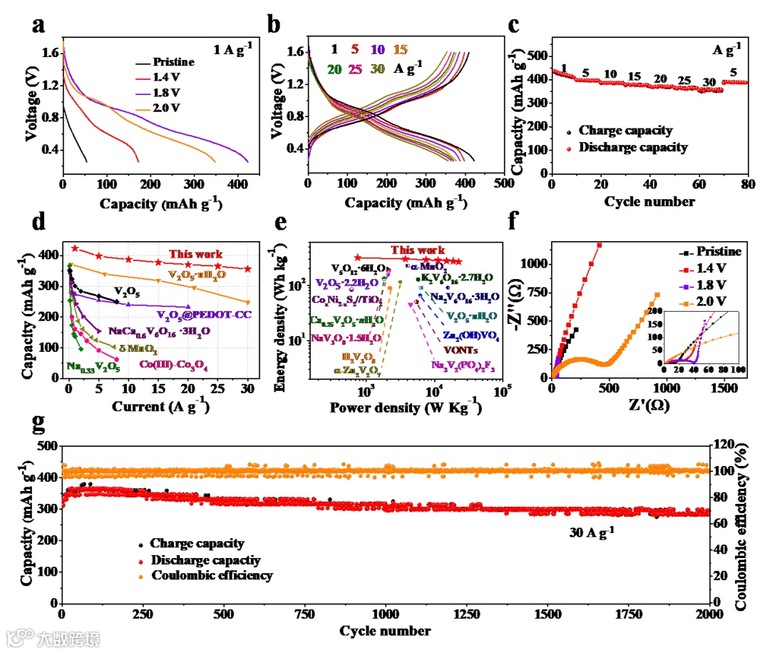
将刻蚀得到的V2CTx与CNTs混合并抽滤得到自支撑的阴极薄膜,将薄膜置于1.4、1.8和2.0V电压下活化2h,使其表面氧化为VOx,除2.0V活化的材料,其他仍保持原有的手风琴结构,XRD、TEM和HRTEM表明外表面3-15nm的厚度被氧化,其他结构仍得以保存。

结合XPS和XAFS结果,随活化电压和活化时间的增加,表面氧化生成V4+和V5+的VOx越明显,其生成的厚度也增加。

相比于纯V2CTx,活化后的容量明显提升,2.0-V2CTx的放电容量稍有下降(MXene结构塌陷)。1.8-V2CTx展现出优异的倍率性能和能量密度和功率容量和循环性能。

DFT计算表明,相比于纯的V2CTx(1.01eV),VOx/V2CTx 的吸附Zn的吉布斯自由能为-0.84eV,有利于实现对Zn2+的高效吸附。CV曲线中有两对氧化还原峰,与充放电平台对应,且储能主要是以电容行为为主导。原位XRD证明了材料的稳定性。
总结与展望
本研究通过调控电化学活化V2CTx表面V的价态实现优异的锌离子电池容量和倍率性能。表面高价的V物种可显著提升锌离子电池的容量,而内部保持的导电的V-C-V多层结构则可提升其倍率性能。在1.8V电压下活化2h得到的1.8-V2CTx展现出超高的倍率性能(在 30 A g−1时358 mAh g−1),该储能过程由电容行为主导,具有超高的Zn2+扩散常数。本研究为设计高性能的锌离子电池阴极材料提供了参考。
文献链接:
https://doi.org/10.1002/adfm.202008033



