
随着人们对高储能设备需求的增加,高能量密度的可充电碱金属氧电池近年来受到了世界各国的广泛关注。锂氧电池和钠氧气电池因其高能量密度得到了广泛的关注,其中,钠氧气电池因其丰富的钠储量和比锂氧电池更低的充电过电位而被认为是最有前途的替代电池。然而,与锂氧电池化学相似的是,由于严重的副反应,钠氧气电池不能在基于碳酸酯的电解液中长时间运行。
近日,重庆大学马金玲副教授和王煜教授报道了一种使用饱和醚基电解液以提高钠氧气电池循环寿命的方法。文章全面揭示了饱和浓度NaCF3SO3/TEGDME电解液在钠氧气电池中的作用机理,在TEGDME中采用了一系列不同浓度的NaCF3SO3电解液,考察浓度对钠电池稳定性的影响、氧和电解液对钠负极的腐蚀以及对钠枝晶的抑制作用。结果表明,在饱和电解液中,Na阳极抗氧化和耐电解腐蚀能力都显著提高,Na枝晶也得到有效抑制。在高浓度电解液中,钠氧气电池可循环112次,是当前常规使用电解液(32次)的近4倍。
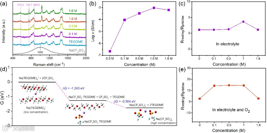
1、电解质性质
图1a显示了纯TEGDME、NaCF3SO3盐和NaCF3SO3/TEGDME溶液在不同盐浓度下的拉曼光谱。对于NaCF3SO3盐,只观察到一个中心位于1000 cm-1左右的宽峰。在TEGDME中加入NaCF3SO3后,NaCF3SO3的峰消失,在575.8 cm-1、755.7 cm-1和868.8 cm-1处出现额外的峰,这些峰既不属于TEGDME,也不属于NaCF3SO3。这些额外的峰相对于NaCF3SO3的峰(582和1000 cm-1)发生了红移。1c表明饱和电解液的腐蚀程度与纯TEGDME的腐蚀程度一样,表明完全溶剂化的CF3SO3-与钠金属反应活性低。图1d的密度泛函理论计算显示Na(TEGDME)2+易与CF3SO3-键合,形成NaCF3SO3·TEGDME和Na(CF3SO3)2-的稳定结构,表明高浓度电解液中游离的CF3SO3-含量降低。图1e表明在纯溶剂和饱和电解液且有氧的情况下钠金属的腐蚀程度最低。
图1. a)纯TEGDME、NaCF3SO3和不同浓度NaCF3SO3/TEGDME溶液的拉曼光谱;b)不同浓度NaCF3SO3/TEGDME电解液的离子电导率;c)Na-O2电池于不同浓度NaCF3SO3/TEGDME电解液在静置前和静置后的阻抗比;d)NaCF3SO3/TEGDME电解液中溶剂化结构的吉布斯自由能变化;e)Na-O2电池于不同浓度的氧气饱和的NaCF3SO3/TEGDME电解液在静置前和静置后的阻抗比。
2、电解质的电化学性能
图2a 中饱和浓度电解液线性扫描电位最高,为4.4 V,表明具有最好的抗氧化能力;图2b表明饱和电解液有助于降低成核和传质过电位,利于钠均匀沉积;图2c表明Na/Na对称电池在饱和电解液中展示出高度稳定的电压曲线和很小的电压迟滞,其它电解液中的电池循环时间短且电压迟滞较大。
图2. a) Na-O2电池在不同浓度电解液中的线性扫描伏安曲线;b)Na//Cu对称电池在不同浓度电解液中的放电曲线;c)Na//Na对称电池在不同浓度电解液中的放充电曲线。
3、钠枝晶抑制的原因
图3a-h表明纯溶剂中电极表面出现少许枝晶,随着电解液浓度的增加,钠表面出现裂纹,而在饱和电解液中钠表面相对更光滑;图3i-l表明1.0 M浓度的电解液中,有缺陷和无缺陷的钠电极的钠离子通量差距较大,说明更易形成枝晶;图3m-p显示了钠电极的厚度变化,随着电解液浓度增加,钠沉积厚度明显增加,但在有缺陷和无缺陷的位置,钠的厚度差在饱和电解液中明显缩小,说明钠枝晶得到抑制。
图3. 在a,e)0.1;b,f)0.5;c,g)1.0和d,h)1.6 M NaCF3SO3/TEGDME电解液中,第100次循环后Na电极表面和截面的SEM图,以及i)0.1 (插图中指示范围扩大);j)0.5;k)1.0和l)1.6M NaCF3SO3/TEGDME电解液中的Na+通量分布;在浓度为m)0.1;n)0.5;o)1.0;p)1.6M的NaCF3SO3/TEGDME电解液中,t=5s时,缺陷处Na电极厚度变化。
4、Na-O2电池性能
图4a表明1.6 M电解液的循环性能最佳;4b表明饱和电解液钠氧气电池的放电-充电过电位最小且放电容量最大。
图4. 钠氧气电池的a)循环性能,b)容量于不同浓度的NaCF3SO3/TEGDME电解液。
图5a-d显示钠氧气电池随着电解液浓度增加,副产物减少。
图5. 在a)1.6M;b)1.0M;c)0.5M和d)0.1M NaCF3SO3/TEGDME电解液中,在400 mAg-1的电流密度下充电,Na-O2电池的气体释放。
综上所述,我们测试和分析了一系列不同浓度的NaCF3SO3溶解在TEGDME溶剂中作为电解液的Na-O2电池的电化学性能。结果表明低浓度电解液的稳定性不佳,而使用饱和电解液(1.6 M)时,Na-O2电池的循环稳定性显著提高。实验和计算结果均表明,这些改善源于电解液抗钠阳极氧化的增强、降低了氧以及O2-的溶解度和抑制了钠枝晶。我们相信在这项工作中的发现不仅将为推动长寿命Na-O2电池的发展带来新的理解,还将刺激更多的研究,来加深对金属氧气电池高浓度电解液的认识。

