点击蓝字
关注我们

在各种储能技术中,超级电容器因其快速的充放电能力、高功率密度和安全风险低等优点而备受关注。然而在能量密度方面,由于超级电容器的电位窗口和电容性能有限,因此仍需要寻找合适的策略对其进行改善。近年来,金属有机框架材料(MOFs)因为其表面积高、孔径大、结构可调性大的优势,在电化学储能方面应用广泛,因此通过对MOFs材料的合理设计和应用有望极大提升电容器的电化学性能。
Ternary MOF-Based Redox Active Sites Enabled 3D-on-2D Nanoarchitectured Battery-Type Electrodes for High-Energy-Density Supercapatteries
Goli Nagaraju, S. ChandraSekhar, Bhimanaboina Ramulu, Sk. Khaja Hussain, D. Narsimulu, Jae Su Yu*
Nano-Micro Letters (2021)13:17
https://doi.org/10.1007/s40820-020-00528-9
本文亮点
1. 基于氧化还原化学的Ni-Co-Mn (NCM)基MOF纳米材料被用作电池电极。
2. NCM基MOF表现出较高的面积容量和良好的循环稳定性。
3. 所制造的混合超级电容电池显示出1.21 mWh cm⁻²高能量密度和32.49 mW cm⁻²的功率密度。
内容简介
韩国庆熙大学Jae Su Yu教授等在本文中通过极性诱导溶液相的方法,探索了一种新型的无粘结剂双层镍钴锰基MOFs (NCM基MOFs),其在二维结构上有三维纳米结构(3D on 2D结构)。在镍泡沫上生长的双层NCM基MOFs表现出电池型电荷存储机制,具有出色的面积容量(5 mA cm⁻²下为1311.4 μAh cm⁻²),良好的倍率能力(61.8%; 50 mA cm⁻²下为811.67 μAh cm⁻²),并以及出色的循环稳定性。双层纳米结构具有更多的活性位点,以及多种金属客体元素优异的氧化还原性能的协同作用使NCM基MOFs拥有了优异的电荷存储特性。
图文导读
如图3a所示,NCM基MOF生长后泡沫镍的颜色明显变为深绿色。图3b为NCM基MOF/泡沫镍电极的的XRD图,XRD中的峰与NCM基MOF的存在有关,并且与先前报道的三金属MOFs相似。FTIR光谱(图3c)显示,在3000-3590 cm⁻¹处的宽峰与-OH基的伸缩振动有关,~545 cm⁻¹处出现的吸收带对应于金属-氧键的伸缩振动。XPS光谱(图3d)显示了Ni 2p,Co 2p,Mn 2p,O 1s和C 1s的特征峰,这些结果与EDX谱一致。

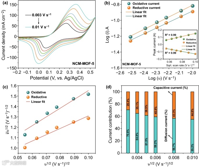
图4. (a) 在不同扫描速率下测得的NCM基MOF-5电极的CV曲线,(b) 氧化和还原峰值电流与扫描速率的对数关系。(c) v1/2与i/v1/2的关系图。(d) 在各种扫描速率下分析的NCM基MOF-5电极的电容(橙色)和扩散控制(青色)电流贡献。b中的插图显示了氧化还原峰值电流与扫描速率平方根的线性关系。
图5a-c比较了不同生长时间对NCM基MOFs的电化学性能的影响,从GCD曲线可以看出双层结构的NCM基MOF-5表现出更长的充放电时间,证明其拥有的出色容量。NCM基MOF-5由3D on 2D纳米结构组成,2D纳米片不仅增强了氧化还原活性位点,而且还充当了消除界面电阻的电子快速通路。从图5e可以看出NCM基MOF-5材料具有优异的循环稳定性。循环后电极材料的EDX图像(图5g)表明,即使在循环测试后,NCM基MOF显示出很强的耐久性。XPS光谱进一步证实了样品循环前后样品中所述所有元素的存在。

作者简介

Jae Su Yu
本文通讯作者
超级电容器、纳米发电机、纳米材料、荧光粉、温度传感器、太阳能电池等方向。
▍Email: jsyu@khu.ac.kr
▍个人主页
撰稿:《纳微快报》编辑部
编辑:《纳微快报》编辑部
关于我们


