

第一作者:辛罗挺
通讯作者:黄学良
通讯单位:中国科学院福建物质结构研究所、湖南师范大学
原小檗型生物碱是一类异喹啉型生物碱,广泛存在于多种植物中,具有良好的抗菌、镇痛、抗炎等药理作用。吡啶异喹啉酮骨架是原小檗型生物碱中普遍存在的核心母核骨架。在该骨架的传统合成方法中,通常需要复杂的合成前体和进行多步繁琐的操作,所以以简单易得的原料模块化制备原小檗碱生物活性分子骨架具有很高的研究价值。在这项工作中,中国科学院福建物质结构研究所黄学良研究团队利用简单易得的吡啶三唑与邻溴/拟卤代苯甲醛在钯催化下,通过卡宾桥联C-H官能团化和吡啶去芳构化进行模块化合成吡啶异喹啉酮衍生物。并且该方法可用于简单快速制备原小檗型生物碱类。其中,原料吡啶三唑既扮演桥联试剂的角色,去实现C-H官能团化,也通过吡啶环的去芳构化,来完成多环化合物的构建。
金属催化的C-H键官能团化可以高效实现对复杂化合物的修饰,从而引起了合成界的关注。通常,反应过程中形成的热力学稳定的瞬态金属环中间体在整个反应过程中对反应性和选择性的调控起到重要作用。在形成金属环中间体过程中,通常需要两个反应位点至少要三个键的距离,也正由于这个原因,使得有些化合物并不适用于导向基团促进的C-H官能团化。由此,发展以简单底物为出发点的新方法是迫切需要的。在钯催化的反应中,已有报道可以通过对合适的含有不饱和基团化合物(例如降冰片烯)进行迁移插入,从而进行芳环邻位的C-H键官能团化,以此生成热力学稳定的五元环钯,随后进行一系列的转化来高效的生成多取代的芳烃。中国科学院福建物质结构研究所黄学良研究团队长期致力于金属卡宾化学相关方面的研究,其中一个研究兴趣是钯卡宾的迁移插入来实现近端的C-H键活化。在之前的研究中发现,重氮或者磺酰腙这类卡宾前体可以通过迁移插入来为C-H键活化提供所需的一个或者三个原子的链长,用来实现近端的C-H活化,来构建五元或者七元环钯。该策略被称为卡宾桥联C-H活化。近期,吡啶三唑化合物作为一类卡宾前体,广泛用于杂环化合物的合成,但很少用于钯催化的反应。在本文,作者选用吡啶三唑作为卡宾源,与邻溴/拟卤代苯甲醛反应,从而快速的构建多环吡啶异喹啉酮衍生物。
图 1中(a)是Catellani-Lautens类型反应。(b)本文工作,吡啶三唑参与的卡宾桥联C-H 键官能团化。(c)原小檗型生物碱类化合物。
图 2中,作者对该反应进行底物适用性探索。首先作者尝试含有不同取代基的醛,实验结果表明,该反应对邻卤代/拟卤代苯甲醛都适用。总结实验数据可知,含有给电子基团的醛比含有吸电子基团的醛产率更高。由此,醛上取代基的电性对反应会存在一定影响。此外,双取代的醛在该反应体系中也能以中等收率得到相应的目标产物。随后,作者对含有不同取代基的吡啶三唑展开适用性研究,其表现出较好的反应性。同时,在底物适用性探索过程中,作者发现该反应也可应用于对药物片段的后修饰。
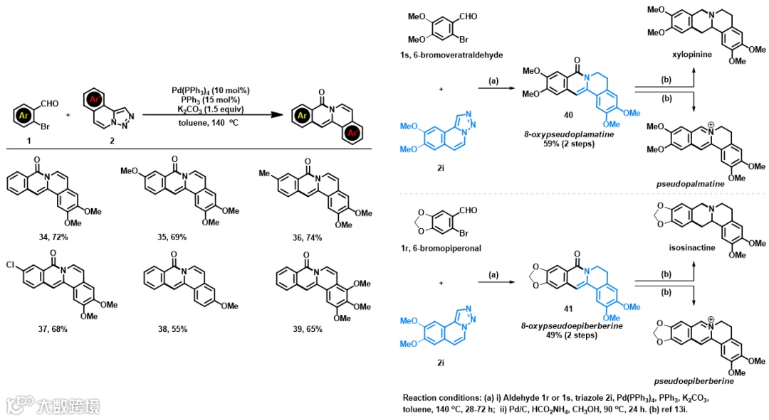
图 3是对原小檗型生物碱多环化合物核心骨架和原小檗碱生物活性分子模块化制备。在原小檗型生物碱核心骨架的两端芳环上大多含有羟基、甲氧基、和亚甲二氧基等取代基。为了验证卡宾桥联C-H活化策略对于原小檗型生物碱合成的有效性,作者制备了含有一个或多个给电子基团的三唑[5,1-a]异喹啉,将其与含有不同电性取代基的醛在以Pd(PPh3)4为钯源,PPh3为配体的简单反应条件下反应,得到相应的目标产物,完成原小檗型生物碱核心骨架的模块化制备。该反应可以实现两步以中等收率得到40、41两种原小檗碱型生物活性分子。而反应得到的这两种产物则可以根据已知反应进一步合成具有药理作用的Xylopinine、pseudopaimatine、isosinactine 和 pseudoepiberberine。
总之,作者基于钯催化卡宾桥联C−H官能团化这一策略,利用简单易得的吡啶三唑作为卡宾源,以模块化的方法快速制备一系列吡啶喹啉酮骨架。该多环骨架是原小檗型生物碱的核心结构。以该反应为关键步骤,可以进一步合成六种原小檗型生物碱活性分子。根据所得到的结果,作者认为所提出的卡宾桥联C−H活化(CBA)理念可以应用于小檗碱类生物碱的模块化合成。相关文章发表在《ACS Catalysis》上,并且被选为封面文章。
Luoting Xin, Wan Wan, Yinghua Yu, Qiuling Wan, Liyao Ma, and Xueliang Huang*; Construction of Protoberberine Alkaloid Core through Palladium Carbene Bridging C–H Bond Functionalization and Pyridine Dearomatization; ACS Catal. 2021, 11, 3, 1570-1577; https://doi.org/10.1021/acscatal.0c05156
https://pubs.acs.org/doi/full/10.1021/acscatal.0c05156

