
第一作者:刘仪伟
通讯作者:李亚栋院士、王定胜副教授、付强特任研究员
通讯单位:清华大学、中国科学技术大学
论文DOI: 10.1002/anie.202109538

全文速览
在富乙烯气流中实现高选择性的乙炔半加氢反应具有重要的工业意义。在本文中,清华大学李亚栋院士、王定胜副教授联合中国科学技术大学付强特任研究员等课题组在多金属氧酸盐基金属有机骨架(POMOF)成功构建出单原子Pd催化剂,其独特的内部环境可以使POMOF能够从乙炔/乙烯气体混合物中分离乙炔,并将其限域在单原子Pd附近。在半加氢反应完成后,生成的乙烯会优先从孔中排出,实现92.6%的高选择性。第一性原理模拟计算表明,吸附的乙炔/乙烯分子可以与SiW12O404-中的氧原子形成氢键网络,并产生动态限域区,优先释放生成的乙烯。此外,在Pd位点处,乙烯的过度加氢比乙炔的半加氢具有更高的反应势垒。这种将POMOF和单原子Pd优势结合的思路为半加氢选择性的调控提供了一条有效途径。

背景介绍
乙烯作为塑料生产的关键组分,通常从石油工业中进行商业化生产。然而,这种乙烯通常含有微量乙炔杂质(0.5-3%),对用于聚合反应的Ziegler-Natta催化剂有毒。为了获得聚合级乙烯,气流中乙炔的副产物必须减少到5 ppm以下。因此,炔烃半加氢制烯烃作为乙烯提纯技术而备受关注,其中Pd基催化剂具有较高的本征活性。然而,由于钯纳米颗粒对不饱和反应物/中间产物具有强烈吸附,从而导致乙炔的过度氢化副反应,使其选择性较差。研究表明,当乙烯吸附在一个单原子Pd位点上时,解吸的能垒低于氢化的能垒。因此,构建单原子Pd催化剂以提高乙炔半加氢的化学选择性是非常理想的。同时,采用何种方法降低进气乙烯及乙炔加氢后产生的乙烯与Pd接触概率,也是一个非常重要的问题。
为了实现上述假设,在混合气流与单原子Pd活性中心接触之前,先使用多孔骨架筛选乙烯,并在催化剂的限域空间内实现乙炔的富集是非常理想的思路。满足这一目标的前提是,催化剂载体不仅要具有选择性吸附乙炔的能力,而且还要在其内部稳定地锚定Pd单原子。金属有机骨架(MOFs)是一类由金属离子或金属团簇与桥联有机配体构成的晶体多孔材料,在气体分离和催化领域有着广泛的应用。尽管目前可以通过人工调节MOFs的结构来实现特定功能,但设计和合成双功能MOFs以实现反应底物的选择性分离和单原子位点的锚定仍然是非常具有挑战性的。
在本文中,作者在多金属氧酸盐基多孔金属有机框架内成功构建出稳定的单原子Pd位点。值得注意的是,由于多金属氧酸盐(POMs)在由铜节点和4,4'-联吡啶(bipy)配体构成二维层间独特的空间排列,Keggin型SiW12O404- (SiW)阴离子不仅可以为单原子Pd提供锚定位点,而且还可以使乙炔分子选择性的吸附和富集。第一性原理模拟计算表明,吸附在POMOF空腔中的乙炔/乙烯分子会与SiW阴离子形成准有序的氢键网络。由氢键网络和SiW阴离子创造的动态限域空间可以促进乙烯的优先脱附(因为乙烯的分子尺寸比乙炔大),从而避免单原子Pd催化乙炔过度加氢生成乙烷。这种独特的机制可使催化剂表现出优异的半加氢选择性,即使在乙炔完全转化后,半加氢选择性仍能保持在90%以上。

图文解析

图1. Pd1@Cu-SiW的制备流程示意图。
图2. (a) Cu-SiW, Pd(acac)2@Cu-SiW, Pd1@CuSiW材料的PXRD衍射花样;(b) SiW, Cu-SiW, Pd1@Cu-SiW材料的FTIR光谱;(c) HAADF-STEM图及其相应的元素分布图,其中Pd为绿色、Cu为红色、W为青色、O为紫色、N为卡其色。
图3. (a) Pd1@Cu-SiW和参比样品Pd箔、PdO的Pd K-edge XANES光谱;(b) Pd1@Cu-SiW, PdO, Pd箔样品的傅里叶变换k2-加权Pd K-edge EXAFS实验数据,以及Pd1@Cu-SiW在R空间的EXAFS拟合曲线;(c) Pd1@Cu-SiW的实验(黑色实线)和理论(红色实线) XANES光谱比较;(d) 单原子Pd在Cu-SiW骨架上的稳定位点。
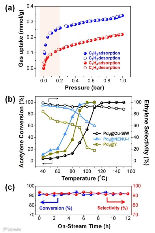
图4. (a) C2H2和C2H4于298 K下在Cu-SiW中的吸附等温线;(b) Pd1@Cu-SiW, Pd1@NENU-1, Pd1@Y上催化乙炔加氢转化率和选择性随温度的变化;(c) Pd1@Cu-SiW在110 °C下的耐久度测试,反应条件为:0.5 vol% C2H2, 5 vol% H2, 50 vol% C2H4与氦气平衡,总流速为20 mL min−1,催化剂质量为300 mg。
图5. (a)计算得出乙炔和乙烯在Cu-SiW POMOF上吸附能的比较,其中N/NSiW是每个SiW球体的平均吸附分子数;(b-e)当N/NSiW分别为4和15时,乙炔(b, d)和乙烯(c, e)在Cu-SiW中的最佳吸附构型。

总结与展望
在本文中,作者成功地在POMs基层状MOFs中构建出单原子Pd位点。SiW12O404-阴离子中特殊的空间排列使得POMOF骨架中形成动态氢键网络,从而产生空间限域微环境。其对吸附能的影响可以使乙烯分子优先脱附,即使在乙炔完全转化的情况下,也能获得高达92.6%的优异选择性。这种预期产物的自脱离机制为使用晶体工程方法设计催化剂用于过滤反应物和调节产物提供了一种新视角。

通讯作者介绍
李亚栋,男,汉族,1964年11月生于安徽省宿松县。1986年毕业于安徽师范大学化学系,1991年、1998年先后获硕士、博士学位。清华大学化学系教授。曾先后于2001年、2008年获国家自然科学奖二等奖。2011年当选为中国科学院院士,2014年当选发展中国家科学院院士。目前担任学术期刊:《Nano Research》、《Science China Materials》主编。主要从事无机纳米材料合成化学研究,目前致力于挑战金属团簇、单原子催化剂以期实现非贵金属替代贵金属催化剂、探索实现催化新反应,解决催化剂均相催化异项化实验室与工业化技术难题。在国际学术期刊包括Science, Nature(及其子刊),JACS, Angew Chem,PRL, Adv Mater., Nano Letters等发表学术论文300余篇,被他引超40000次(H-index 超100)。已先后培养博士生、博士后高级研究人员30余名,1人获国际“IUPAC青年化学家奖”(2005年),4人获得“全国优秀博士学位论文奖”(2人获提名),6人已获得“国家杰出青年科学基金”资助,8人获“优秀青年基金”等人才称号。

文献来源
Yiwei Liu, Bingxue Wang, Qiang Fu, Wei Liu, Yu Wang, Lin Gu, Dingsheng Wang, Yadong Li, Polyoxometalate-based Metal-Organic Framework as Molecular Sieve for High Selective Semi-hydrogenation of Acetylene on Isolated Single Pd Atom Site. Angew. Chem. Int. Ed. 2021, DOI: 10.1002/anie.202109538.
文献链接:https://doi.org/10.1002/anie.202109538

“邃瞳科学云”直播服务
“邃瞳科学云"平台正在收集、整理各类学术会议信息,欢迎学会、期刊、会议组织方择优在邃瞳平台上进行线上直播,希望藉此帮助广大科研人员跨越时空的限制,实现自由、畅通地交流互动。欢迎老师同学们提供会议信息(会有礼品赠送),学会、期刊、会议组织方商谈合作,均请联系翟女士:18612651915(微信同)。
扫描二维码下载
邃瞳科学云APP

