
第一作者: Jing Lian
通讯作者: 郭玮,付永柱
通讯单位: 郑州大学
论文DOI: https://doi.org/10.1021/jacs.1c04222

全文速览
锂硫(Li-S)电池具有较高的理论比能量;然而,它们的性能受到多硫化锂的穿梭效应和锂负极界面的不稳定性的困扰。业界已经尝试着使用电解质添加剂来解决这些问题。在此,作者报告了一类电解质添加剂,即苯二硫醇 (BDT)。在 BDT 的三种异构体中,1,4-BDT 对 Li-S 电池的性能提升最高,因为它可以比其他两种键合更多的硫原子。1,4-BDT 在阴极和阳极上主要涉及硫醇基团的化学反应。 S-S键由1,4-BDT和硫通过低聚反应生成,改变了硫原来的氧化还原路径,抑制了多硫化锂的穿梭效应。此外,1,4-BDT 可以形成光滑稳定的固体电解质中间相(SEI),这可以使 Li/Li 对称电池在 5 mA cm-2 的高电流密度下具有 0.08 V 的超低过电位,并稳定工作超过 300 小时。具有 1,4-BDT 的 Li-S 电池在 C/5 倍率下显示出最高的循环稳定性,初始容量为 1548.5 mAh g-1,200 次循环后的可逆容量为 1306.9 mAh g-1。含有 1,4-BDT 和 2.8 g 硫的 Li-S 软包电池在 C/10 倍率下循环 26 次后,初始容量为 2640 mAh,容量保持率为 84.2%。这项工作表明有机二硫醇化合物可用作功能性电解质添加剂,并为设计先进的 Li-S 电池材料提供了新的方向。

背景介绍
随着电动汽车和智能电子设备的广泛应用,对高能量密度和低成本的可充电电池的需求越来越强烈。锂硫 (Li-S) 电池因其电极的高比容量而被广泛认为是锂离子电池的高能量密度替代品。然而,在充电或放电过程中,复杂的 Li-S 化学过程涉及多硫化锂中间体 (LiPSs) 的形成,导致电池中的穿梭效应。多硫LiPSs (Li2Sx, x = 4-8) 在醚电解质中高度溶解,从正极脱离并到达锂金属负极被化学还原成低硫LiPS(Li2Sx,x = 3)。随后它们穿梭回阴极并被氧化成多硫 LiPS。由于化学势和浓度差异,这种 LiPS 在两个电极之间穿梭,导致硫利用率低,自放电严重,电子/离子转移障碍,低库仑效率和锂负极腐蚀。
迄今为止,业界试着从物理限制或化学吸附/催化中解决硫正极的穿梭效应。此外,这些修饰不能同时应用于锂金属负极。虽然这些方法可以建立在外部调节的基础上,但仍需要为硫氧化还原反应提供替代的化学途径,并从源头转化 LiPS。近年来,随着电极材料的进步,使用电解质添加剂解决锂硫电池问题取得了重大突破。具有官能团的电解质添加剂可以提供功能性添加剂部分,构建稳定的界面层,并抑制 LiPS 的穿梭效应。有机官能团的引入是通过共价键结合硫对溶解在电解质中的 LiPSs 进行直接化学改性的可行方案。它们提供了可调节的基团,可以深入参与硫的电化学转化及其性质调控,也有利于锂负极。

图文解析

图 1. (a) 1,2-BDT、1,3-BDT 和 1,4-BDT 的结构式。(b) 以 1,4-BDT 为代表,显示其与硫和锂的反应。(c) 不同电池(有或者无 BDT 的 Li-S 电池,无硫的 Li/1,4-BDT 电池)在 C/5 倍率下的循环性能。(d) 第 200 次循环的充放电曲线。(e) 堆叠条形图,显示了不同电压范围内 Li-S 电池的单独放电容量。
图 2. 电池的电化学性能。(a) 含和不含 1,4-BDT 的 Li-S 电池和不含硫的 Li/1,4-BDT 电池在 C/2 倍率下的长期循环性能。(b) 具有 1,4-BDT 的 Li-S 电池在 0.02 mV s-1 的扫描速率下的循环伏安图。 (c) 具有 1,4-BDT 的 Li-S 电池在不同 C 倍率下的充放电曲线。(d) 具有 1,4-BDT 的 Li-S 电池在 200 kHz-0.1 Hz 频率范围内的奈奎斯特图。(e) 硫载量为 3.5 mg cm-2 且 E/S 比为 10 μL mg-1 的电池循环性能。 (f) 具有 1,4-BDT 的 Li-S 软包电池的图像。(g) 具有 1,4-BDT 的 Li-S 软包电池在 300 mA 电流下的循环性能。
图 3.(a 和 b)具有 1,4-BDT 的Li-S 电池中充电产物的 MS。(c-f) 具有 1,4-BDT 的Li-S 电池在 C/5 倍率下电池的原位拉曼光谱:(c 和 d)第一次放电过程和(e 和 f)后续再充电过程。
图 4. (a) 含和不含 1,4-BDT 的可视 Li-S 电池的第一次循环放电曲线和 (b) 不同放电电压下电池的相应照片;蓝色 (a-e) 表示对照电池,红色 (a-e) 表示带有 1,4-BDT 电解质的 Li-S 电池;在这些照片中,硫正极在左侧,锂金属负极在右侧。
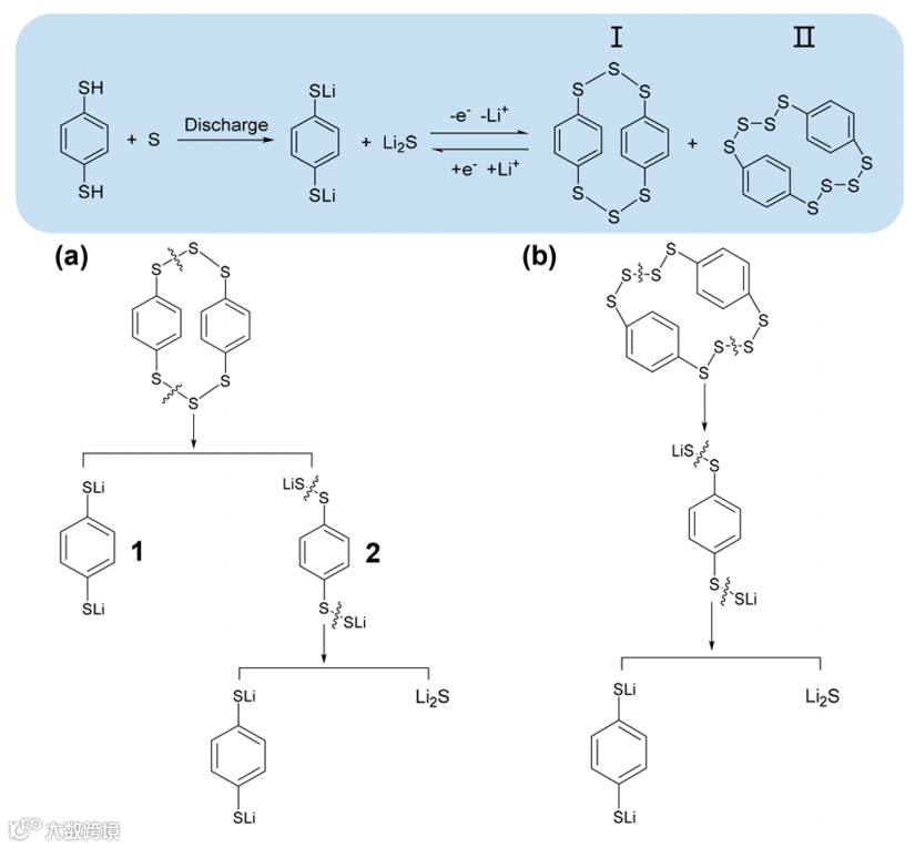
方案 1. 含 1,4-BDT 的 Li-S 电池初始放电和充电过程中的反应机理。(a) 低聚物 I 可能发生的还原反应。(b) 低聚物 II 可能发生的还原反应。
图 5. Li/Li 对称电池的长期循环性能和锂金属的表面形态。(a 和 b)不同对称电池分别在 5 mA cm-2 和 1 mA cm-2 下的电压曲线。 (c) 1,4-BDT 对称电池在不同电流密度下的长期稳定性。在 100 次循环后,(d)没有和(e)有 1,4-BDT 的Li/Li 对称电池中,循环锂负极的 SEM 图像。插图是 AFM 测量的结果。沉积的锂 (f) 没有 1,4-BDT 和 (g) 有 1,4-BDT 的相应横截面 SEM 图像。
图 6. 在 0.5 mA cm-2 下循环 10 次后,Li/Li 对称电池的 Li 阳极表面在不同深度蚀刻后的高分辨 XPS 光谱。具有 1,4-BDT 的对称电池的(a) S 2p、(b) Li 1s 和 (c) F 1s XPS光谱。对照组对称电池的 (d) S 2p、(e) Li 1s 和 (f) F 1s XPS光谱。 (g) 锂阳极侧的两个电池示意图。
图 7. 含 1,4-BDT 电解液的 Li-S 电池示意图。。

总结与展望
上述结果表明,作者发明了一种用于 Li-S 电池的多功能电解质添加剂 1,4-BDT。它可以同时克服锂硫电池面临的困境:(1)穿梭效应和(2)不稳定的界面。受 1,4-BDT 添加剂保护的 Li-S 电池在以 C/2 倍率循环 500 次后,容量和稳定性提高了 909.3 mAh g-1,并且每次循环的容量衰减率极低,仅为 0.065%。同时还实现了高 C 倍率能力,即与 C/5 倍率相比,1 C 倍率下的容量保持率为 90%。具有 1,4-BDT 的 Li-S 软包电池表现出稳定的性能,26 次循环后容量为 2223.9 mAh。这项研究开辟了一条源自界面化学的简单方法,用于从化学的角度探索各种电解质配方。此外,所提出的电解质添加剂参与氧化还原途径的能力的证明为在半液体电池和钠硫电池等替代电池中使用有机二硫醇打开了新的大门。

文献来源
Lian, Jing,Guo, Wei, Fu, Yongzhu,Isomeric Organodithiol Additives for Improving Interfacial Chemistry in Rechargeable Li–S Batteries, J. Am. Chem. Soc., https://doi.org/10.1021/jacs.1c04222

“邃瞳科学云”直播服务
扫描二维码下载
邃瞳科学云APP

