
第一作者:田文婕 博士(阿德莱德大学)
通讯作者:王浩 教授(南昆士兰大学) 王少彬 教授(阿德莱德大学)
论文DOI:https://doi.org/10.1016/j.jhazmat.2021.127083

成果简介
近日,阿德莱德大学王少彬团队在Journal of Hazardous Materials上发表了题为“Kinetics and mechanism of synergistic adsorption and persulfate activation by N-doped porous carbon for antibiotics removals in single and binary solution”的研究论文(https://doi.org/10.1016/j.jhazmat.2021.127083),报道了生物质来源的氮掺杂多孔碳协同吸附和过二硫酸盐激活降解单一和多元抗生素的机理。

全文速览
多孔碳是一种通过吸附和高级氧化工艺高效净化废水的绿色材料。本文研究了氮掺杂多孔碳(Y-PC)通过吸附和过二硫酸盐(PS)活化协同去除水中单一和二元抗生素污染物——磺胺甲恶唑(SMX)和布洛芬(IBP)的动力学和机理。 我们的研究结果表明,吸附对于催化高级氧化去除SMX/IBP起促进作用。 在多孔碳激活PS降解抗生素过程中,羟基(•OH)、硫酸根(SO4•−)和单线态氧(1O2)对SMX降解,而只有1O2催化IBP氧化。 超氧离子(O2•−)自由基不起作用。 电子转移途径对PS激活起重要作用,但其不参与SMX/IBP的直接氧化。 在单一或混合的二元抗生素溶液中,SMX和IBP的降解动力学只有细微的差异。 这是因为吸附和1O2攻击对SMX/IBP非选择性去除起主要作用,而•OH和SO4•−对SMX的选择性氧化作用比较弱。 本研究为吸附在催化中的作用提供了新的观点,丰富了多组分抗生素降解的机理研究。

引 言
具有高比表面积、三维多级孔结构的N掺杂多孔碳材料可以作为高级氧化技术中有效的非均相催化剂。 其中微孔结构允许暴露更多的催化或吸附活性位点,而介孔/大孔促进了快速扩散动力学以确保碳表面与污染物或氧化剂有良好的接触。此外,多孔碳可以采用储量丰富的生物质为碳源,以较低的成本合成,使其在污水处理中有良好的应用前景。废水中通常包含多种有机污染物,与单组分污染物的降解相比,多组分污染物的降解可能较为复杂的反应机制。前期工作中,在氮掺杂的多孔碳激活过一硫酸盐体系中,我们对比了对羟基苯甲酸和苯酚在单一污染物溶液或混合溶液中的降解行为,并发现在二元体系中,污染物的降解动力学和效率比在单一溶液中更高。 降解机理也取决于不同的催化剂/氧化剂体系和不同的有机污染物。在氮掺杂多孔碳激活PS体系中,本文比较了SMX/IBP在二元和单一抗生素溶液的降解动力学,并系统研究了吸附、自由基(•OH、SO4•−和O2•−)和非自由基过程(1O2和电子转移途径)对去除SMX/IBP的贡献。

图文导读
降解机理分析:•OH, SO4•−,O2•−,1O2,吸附和电子转移过程
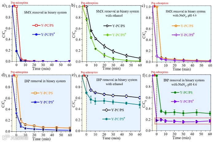
Fig. 3. Kinetic comparison of binary SMX/IBP removal by Y-PC/PS (derived from Fig. 2c, d with the time range of 0 - 60 min) and Y-PC/PS#.a-c) SMX and d-f) IBP removal. Y-PC/PS# means the pre-adsorption of Y-PC for 5 min before PS addition. (20 ppm antibiotics containing 10 ppm SMX and 10 ppm IBP with initial pH of 4.6; Y-PC: 0.1 g L−1; PS of 6.5 mM; T = 25 °C. The involved ethanol was 6.5 M, while NaN3 was 3 mM.)
为了研究吸附对抗生素降解的影响,我们对比了Y-PC/PS体系(同时添加Y-PC和PS)和Y-PC/PS#体系(先加Y-PC预吸附五分钟,再加入PS)中SMX/IBP的降解动力学。如图3所示,吸附对抗生素的降解起促进作用。吸附与催化之间的协同作用导致有机物的快速高效降解。排除了吸附的影响以后,淬灭实验表明,1O2对SMX/IBP的氧化起主要作用,•OH和SO4•−对SMX起选择性降解作用,但是作用较弱。O2•−不起作用。
Fig. 4. CV curves of the graphite electrode in a) SMX and b) IBP solution with 40 mM Na2SO4(scan rate:10 mV s−1, pH 4.6, T=25 °C). c) Open-circuit potentials of Y-PC electrode in different systems (H2O, 20 ppm SMX, 20 ppm IBP, 20 ppm SMX/IBP solution, respectively, and those with PS).
此外,我们也通过电化学测试(循环伏安和开路电位)对降解过程中的电子转移过程进行了表征。图4c表明,Y-PC直接和SMX/IBP接触时,开路电位降低,说明电子转移到碳上使其表面富集更多的电子,这一过程有利于PS的激活。 加入PS以后,从Y-PC到PS的电子转移使开路电位显著增加,然而这个电位低于SMX和IBP的氧化电位(图4a, b)。因此,电子转移过程不能直接氧化SMX/IBP。
Fig. 5. Comparison ofkvalues during binary and single SMX/IBP removals by a)Y-PC/PS and b) Y-PC/PS# under different conditions (Plotted according to the results in Fig. S5, S8e, f, and S10).
二元SMX/IBP的降解动力学与各自的单一抗生素的的降解动力学和降解机制相类似(图5)。吸附, •OH, SO4•−和1O2的共同作用导致了SMX的降解,而吸附和1O2的共同作用去除了IBP。 PS加入前的预吸附过程有利于单一SMX或IBP的去除。 与单一SMX溶液(20ppm)相比,二元抗生素(10 ppm SMX+ 10 ppm IBP)溶液中•OH和SO4•−对SMX的氧化作用略高。原因分析如下:在单一和二元抗生素溶液中,Y-PC和PS的量是一样的,产生的•OH, SO4•−的量理论上是一样的。但是在二元体系中,IBP降解并不消耗•OH和SO4•−,导致其在二元抗生素溶液中对SMX的选择性降解作用增强。 然而,与吸附和1O2的作用相比,•OH和SO4•−对SMX的降解作用相对较弱,所以其并没有导致太大的二元和单组分抗生素的降解差异。 SMX和IBP的降解机理如图6所示。
Fig. 6.The mechanisms involved in N-doped porous carbon/PS system for simultaneous removal of SMX and IBP.
多元污染物降解动力学的讨论
二元和单一污染物去除的效率和动力学与污染物的反应途径密切相关。 如果所涉及的反应途径对两种污染物都是非选择性的,那么在单一或二元溶液中,对有机污染物的去除效果是差不多的。 然而,如果存在一种选择性降解途径对其中一个污染物降解起关键作用,则很有可能在二元和单一的有机污染物溶液中实现不同的反应动力学。 例如,我们最近研究了Y-PC/PMS去对二元或单一苯甲酸和苯酚的降解行为。 •OH、SO4•−、1O2和O2•−对苯甲酸/苯酚的降解共同起作用,而电子转移途径对苯酚的降解起重要的选择性氧化作用。 由于•OH、SO4•−、1O2和O2•−对苯甲酸和苯酚的非选择性氧化,苯甲酸在二元溶液中的降解动力学与单一溶液相似。苯酚在二元苯甲酸/苯酚溶液中的降解速率远高于其在单一溶液中的降解效率。这是因为,与单一的苯酚溶液相比,选择性电子传递途径对苯酚在二元溶液中的降解作用显著增强, 然而,如果只存在较弱的选择性降解路径,则二元和单一污染物的降解效率只会产生微小的差异,正如本文所报道的SMX和IBP在二元和单一污染物溶液中相似的降解动力学。 总的来说,由于高级氧化体系存在多种反应路径,多元污染物体系使得某些选择性路径得到了更好的利用,二元污染物的同时降解可以与单一污染物的降解相媲美或更快。
Y-PC在循环反应中的结构变化
Fig. 7. XANES spectra of a)C K-edge, b) N K-edge, and c) O K-edge.
通常sp2 C、N掺杂位点和含O基团(例如,C=O)被认为是碳材料驱动催化降解有机污染物的活性位点。结合XANES图谱,本文评估了Y-PC在抗生素降解体系里的循环使用性能及相应的活性位点的变化。第一次PS活化后回收的Y-PC记为Y-PC1。与Y-PC相比,Y-PC1的吸附和降解性能都有所下降。相应地,CK-edge图显示,与Y-PC相比,Y-PC1的sp2 C、sp3 C、吡啶氮和石墨氮的峰都发生了偏移,说明其被降解中间产物所覆盖(图7a, b)。含氧官能团的变化不大。 因此,sp2 C、吡咯N和石墨N被SMX/IBP或降解中间产物的覆盖,一定程度是催化剂的活性降低的原因,而含氧官能团(图7c)不受影响,仍然可以作为Y-PC1的催化位点。 对Y-PC1进行300°C低温处理消除了C和N峰的偏移, 然而,高级氧化过程可能会造成一些官能团的损失,所以低温处理后,碳的催化活性没有完全恢复。

小 结
这项工作揭示了氮掺杂多孔碳/PS体系中吸附、自由基和非自由基在高效去除水中二元SMX/IBP、单一SMX和单一IBP中的作用。 预吸附过程对抗生素的降解起促进作用。•OH, SO4•−和1O2对氧化SMX起作用,而1O2对氧化IBP起作用。电子从碳到PS的转移促进了PS的活化过程,但电子转移过程不能直接氧化SMX/IBP。 IBP和SMX在含有氮掺杂多孔碳/PS的二元和相应的单一抗生素溶液中的降解动力学差异较小。这是由于吸附和1O2对SMX/IBP的非选择性降解起主要作用、且 •OH和SO4•−对SMX的选择性氧化作用较弱造成的。 碳/PS或碳/PMS体系中通常存在多种污染物降解的反应途径,多元污染物的降解可以最大化的利用选择性氧化的路径来降解目标污染物,因此,二元污染物的降解效率可以跟单一污染物的降解效率相媲美或更好。 本研究为绿色催化和多元抗生素的降解机理提供了新见解。

作者介绍
王少彬教授,担任澳大利亚阿德莱德大学化学工程与先进材料学院终身教授,主要从事新型纳米材料开发、环境催化、二氧化碳储存与转化以及太阳能利用等领域的研究。在Accounts of Chemical Research、Advanced Materials、Angewandte Chemie International Edition, Advanced Energy materials, Advanced Functional Materials、Matter、Environmental Science & Technology、ACS Catalysis、Water Research 等国际期刊发表学术论文超过500篇,含ESI高被引文章60余篇,Google Scholar总引用51,000余次,h-index为127。同时,担任Chemical Engineering Journal Advances副主编和Journal of Colloid and Interface Science联合编辑,也是科睿唯安(Clarivate Analytics)/ 汤姆森路透(Thomson Reuters)工程领域的2016-2020年的全球高被引科学家。
(课题组现有一个全额博士奖学金名额,如有意向可发邮件至wenjie.tian@adelaide.edu.au;同时课题组长期招收高级氧化、光/光电催化、纳米/二维/多孔材料、纳米发动机、理论计算等方向的PhD,如有意向可发邮件至xiaoguang.duan@adelaide.edu.au)课题组主页:www.shaobin-group-uoa.net王老师主页:https://researchers.adelaide.edu.au/profile/shaobin.wang

参考文献
W. Tian, J. Lin, H. Zhang, X. Duan, H. Wang, H. Sun, S. Wang, Kinetics and mechanism of synergistic adsorption and persulfate activation by N-doped porous carbon for antibiotics removals in single and binary solutions, 2022, 423, 127083
声明
本文仅供科研分享,不做盈利使用,如有侵权,请联系后台小编删除

“邃瞳科学云”直播服务
“邃瞳科学云"平台正在收集、整理各类学术会议信息,欢迎学会、期刊、会议组织方择优在邃瞳平台上进行线上直播,希望藉此帮助广大科研人员跨越时空的限制,实现自由、畅通地交流互动。欢迎老师同学们提供会议信息(会有礼品赠送),学会、期刊、会议组织方商谈合作,均请联系翟女士:18612651915(微信同)。
扫描二维码下载
邃瞳科学云APP

