
单原子催化剂因其明确的金属配位结构,通常被认为是连接均相催化与多相催化的桥梁。就氧还原领域而言,目前报导的许多单原子催化剂均表现出与商业化Pt/C催化剂相当甚至远优于Pt/C的活性。近年来,随着合成方法的不断创新与优化,具有各种各样配位构型的单原子催化剂被报导,如M-N2、M-N3、M-N5等。尽管每种配位构型都被认为是催化活性中心,但许多由非原位表征技术确定的静态结构并不能反映在真实工况条件下活性位点。而且,这些活性位点在催化过程中会发生动态演化。然而,由于电极表面的信号微弱,使得在原子尺度上探究工况条件下用于电化学转化的结构动力学变化仍然是一个巨大挑战。
今日分享两篇深度探究单原子催化剂在氧还原领域应用中的活性位点识别及动态演化过程的报导。第一篇发表于国际期刊《J. Am. Chem. Soc.》上,作者通过operando X射线吸收光谱结合理论计算,探究了单原子Cu催化剂在ORR工作条件下的动态演化过程;第二篇发表于国际期刊《ACS Energy Lett.》上,作者通过结合同步辐射基operando X射线吸收光谱和红外光谱,深入探究了配位不饱和单原子Fe位点在ORR催化过程中的动态演化过程。以下为两篇文章的精彩内容导读。

第一作者:Ji Yang、Wengang Liu、Mingquan Xu
通讯作者:杨小峰、李剑锋、王爱琴
DOI: 10.1021/jacs.1c03788

全文速览
电化学氧还原反应(ORR)是金属空气电池和质子交换膜燃料电池(PEMFCs)中的关键反应。目前用于ORR的最先进催化剂仍然是贵金属Pt或Pt基合金,但其高成本、耐用性差以及对甲醇/一氧化碳的低耐受性阻碍了大规模应用。近年来,M-N-C材料被认为是铂基贵金属催化剂最有前景的替代品,其通常采用将前驱体一锅高温热解策略进行制备。M-N-C材料的催化性能在很大程度上取决于活性中心的数量和结构,而活性中心的数量和结构严重依赖于制备条件,但是由于热解过程中涉及复杂的化学反应,因此可控性较差。以Cu-N-C ORR催化剂为例,Cu-N2、Cu-N3和Cu-N4构型均被认为是活性中心。这种有争议甚至相互矛盾的结论不仅来自于制备方法的不同所导致的M-Nx构型不同;而且,由非原位表征技术所确定的静态结构,并不能反映工况条件下对电催化活性产生贡献的活性位点。
事实上,活性位点在催化过程中是不断发生动态演化的。在由M-N-C材料催化的电化学反应中,反应物/中间产物吸附和外加电位都有可能驱动M-Nx物种的动态演化。然而,由于来自电极表面的信号微弱,使得在原子尺度上探测工况条件下的构型演化仍然是一个巨大挑战。近年来的研究表明,operando X射线吸收光谱(XAS)有望实现上述目标。尽管已报导出一些出色的研究,但目前仍然缺乏结构演化轨迹的清晰图像。此外,在工作条件下的真实活性中心结构与合成出的初始结构有本质区别,因此解决动态重构的机制对于反应机理的原子级理解至关重要。
图1. Cu-N-C SAC的合成与表征。
在本文中,作者通过两步策略成功制备出Cu-N-C SAC,其中N掺杂C载体来自于2,6-二氨基吡啶(DAP)的聚合热解,单原子Cu的载量为2.0 wt %。
图2. 所合成出材料的化学态与配位环境。
图3. 所合成出催化剂的ORR活性与稳定性测试。
研究表明,在O2饱和的0.1 M KOH电解液中,2.0 wt % Cu-N-C SAC催化剂表现出最高的ORR活性,半波电位为0.83 V,极限电流密度为5.25 mA/cm2,与相同条件下的商业化Pt/C催化剂相当(0.837 V和5.25 mA/cm2)。
图4. Operando XANES测试。
通过将operando X射线吸收光谱与理论计算相结合,可以明确地确定在ORR工作条件下Cu-N4到Cu-N3以及进一步到HO-Cu-N2构型的动态演化,这与由外加电位驱动的Cu2+还原为Cu+同时发生。
图5. (a)不同施加电位下的Cu2+和Cu+占比;(b) Cu-N4和Cu-N3位点催化ORR过程的自由能。
随着外加的电位降低,Cu+/Cu2+比率增加,这表明低配位的Cu+-N3构型才是真正的活性中心。通过DFT计算可以进一步证明这一点,可以看到Cu+-N3构型上ORR过程发生的每步中间产物自由能均低于Cu2+-N4构型。
图6. Cu-N-C SAC在碱性条件下催化ORR过程的机制。
该研究为M-N-C催化剂的动态电化学演化提供了新的认识,并可能指导更高效、更低成本催化剂的设计。

文献来源
Ji Yang, Wengang Liu, Mingquan Xu, Xiaoyan Liu, Haifeng Qi, Leilei Zhang, Xiaofeng Yang, Shanshan Niu, Dan Zhou, Yuefeng Liu, Yang Su, Jian-Feng Li, Zhong-Qun Tian, Wu Zhou, Aiqin Wang,* Tao Zhang. Dynamic Behavior of Single-Atom Catalysts in Electrocatalysis: Identification of Cu-N3 as an Active Site for the Oxygen Reduction Reaction. J. Am. Chem. Soc. 2021. DOI: 10.1021/jacs.1c03788.
文献链接:https://doi.org/10.1021/jacs.1c03788
【探究配位不饱和单原子Fe活性位点在反应条件下的演化动力学】

第一作者:Wanlin Zhou
通讯作者:Hui Su、刘庆华
通讯单位:中国科学技术大学
DOI: 10.1021/acsenergylett.1c01316

全文速览
表/界面活性中心是催化反应的主要场所,在多相催化领域中是普遍存在且十分重要的。了解在工作条件下原子活性中心的动态演化,对于微观催化机理的理解和优化当前可再生能源技术的先进催化剂至关重要。然而,由于涉及多个反应中间体的复杂反应系统,以及在工况条件下缺乏有效和直观的operando表征,使得催化活性中心演化的相应微观机制仍然不清楚。
迄今为止,大多数研究工作都致力于揭示固-气催化反应中催化活性中心的结构动态演化。然而,对于固-液催化反应,在operando反应条件下获得清晰可靠的数据仍然是一个巨大的挑战,因为在双电层上有效地提取微弱信号和捕获稀疏的反应中间体相当困难。同步辐射X射线吸收精细结构(XAFS)光谱对特定微量元素的局部环境高度敏感,傅里叶变换红外(FTIR)光谱能够有效识别出稀疏的表面物种。因此,将上述两者结合,可建立一种强大的原位/operando检测技术,该技术有望实现在反应条件下固液催化系统中表/界面活性中心动态演变的实时监测。
图1. Operando同步辐射表征技术示意图及所合成出材料的表征。
在本文中,作者以共价有机骨架(COF)衍生的铁单原子催化剂(Fe SAs/N-C)为例,研究了其在催化氧还原反应(ORR)过程中原子活性中心的结构动态演化。通过上述表征可以证明,原子级分散Fe物种成功地固定在N掺杂碳基体上,并具有稳定的Fe-N4构型。
图2. 所制备出催化剂的ex situ XANES与operando XANES表征。
图3. 所制备出催化剂在ORR过程中的operando同步辐射FTIR表征。
通过结合同步辐射基operando X射线吸收和红外光谱表征,可发现在原子水平上一个羟基偶联在动态释放的不饱和配位Fe-N2构型上,形成一个高活性的OH-Fe-N2结构,随后在催化氧还原反应(ORR)过程中促进O2的吸附。该过程大大促进了关键*OOH中间体的形成,简化O–O键的断裂,从而加速多电子反应动力学。
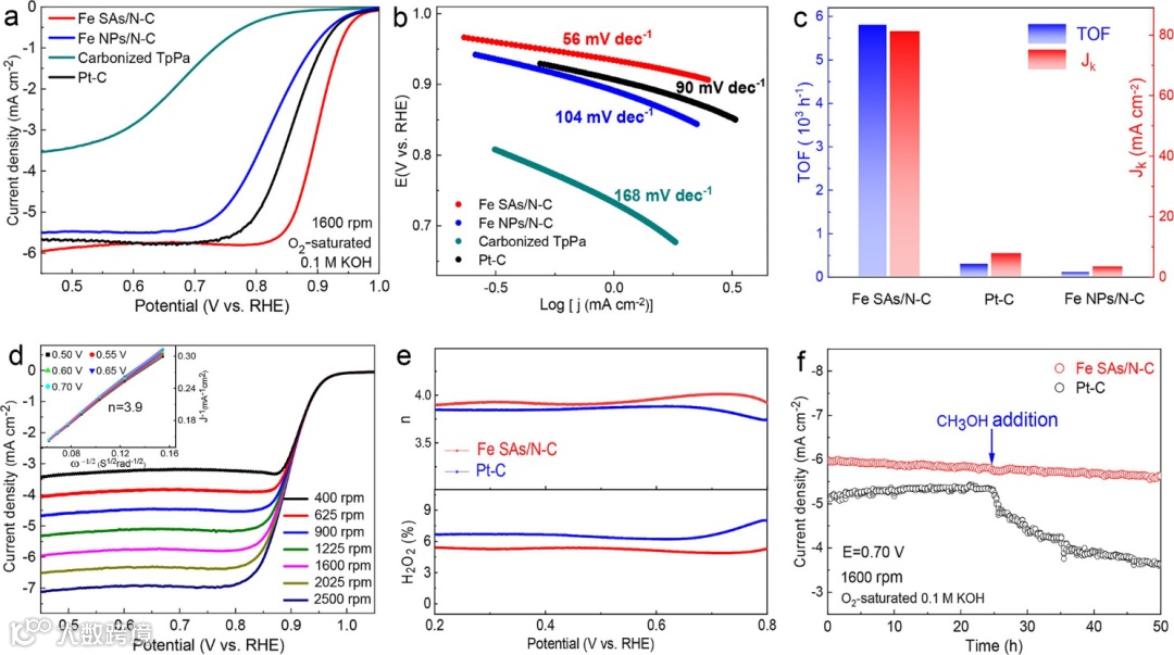
图4. 所合成出催化剂的ORR活性与稳定性测试。
因此,这种共价有机骨架衍生的Fe单原子催化剂表现出优异的ORR催化活性,具有81.3 mA cm–2的超高动力学电流密度(Jk)和5804 h–1的超高转换频率,是商业Pt/C催化剂的20倍(288 h–1, 7.7 mA cm–2)。

文献来源
Wanlin Zhou, Hui Su, Yuanli Li, Meihuan Liu, Hui Zhang, Xiuxiu Zhang, Xuan Sun, Yanzhi Xu, Qinghua Liu, Shiqiang Wei. Identification of the Evolving Dynamics of Coordination-Unsaturated Iron Atomic Active Sites under Reaction Conditions. ACS Energy Lett. 2021. DOI: 10.1021/acsenergylett.1c01316.
文献链接:https://doi.org/10.1021/acsenergylett.1c01316
声明
本文仅供科研分享,不做盈利使用,如有侵权,请联系后台小编删除

“邃瞳科学云”直播服务
“邃瞳科学云"平台正在收集、整理各类学术会议信息,欢迎学会、期刊、会议组织方择优在邃瞳平台上进行线上直播,希望藉此帮助广大科研人员跨越时空的限制,实现自由、畅通地交流互动。欢迎老师同学们提供会议信息(会有礼品赠送),学会、期刊、会议组织方商谈合作,均请联系翟女士:18612651915(微信同)。
扫描二维码下载
邃瞳科学云APP

