

亮点介绍
1.由辅酶在生命系统中促进酶催化活性和稳定性的机制而受到启发,提出一种提升多硫化物转化能力的新策略,即将辅因子引入锂硫电池体系,从结构和功能的角度模拟天然酶,构筑碳纳米管—血红素人工酶—三聚氰胺辅因子硫转化仿生催化系统。
2.通过多种先进的原位光谱表征及理论计算研究,发现血红素人工酶、三聚氰胺辅因子和碳纳米管三者之间形了多种相互作用(即FeN5配位、物理π-π共轭、酰胺键),共价结合以及锂离子同辅因子/人工酶作用形成的“多重锂键网络”,赋予了人工酶更高的稳定性、良好的电子/离子传输能力、以及对长、短链多硫化物的超强催化转化能力,进而实现了锂硫电池在倍率和循环耐久性方面的大幅度提升。
3.发现并提出“多重锂键网络”概念,为开发其它锂电池、电化学储能装置提供了重要的理论基础。

背景介绍
锂硫电池因具有高理论能量密度、低成本和环境友好等优势,被认为是下一代高能量密度动力电池的理想候选者。但其商业化却因硫电极低硫负荷及利用率、硫转化反应动力学迟缓、电池循环稳定性差等而受到严重限制。开发高效的硫转化催化剂是破题的关键环节之一。

成果速递
酶作为一种温和的绿色催化剂,在各种生理应激过程中展现出了惊人的催化能力。向大自然学习,让生命现象成为设计思想的源泉。近期,温州大学杨植教授团队在前期探究硫转化仿生人工酶的研究基础上(二硫苏糖醇硫转化剪切剂,ACS Nano 2017, 11, 2209, IF=15.9; 血红素硫转化人工酶,Advanced Functional Materials 2020, 30,2003354,IF=18.8;硫转化仿生双控催化系统,ACS Nano 2020, 14, 7538),由辅酶在生命系统中能促进提升酶催化活性和稳定性受到启发,从结构和功能的角度模拟天然酶,提出通过设计模拟辅因子,并将其引入锂硫电池体系,构筑出了碳纳米管—血红素人工酶—三聚氰胺辅因子([CNTs-MM-hemin])硫转化仿生催化系统。利用辅因子中的三聚氰胺多级富氮结构与Li相互作用形成的“多重锂键网络”以及该辅因子与人工酶的电子相互作用,赋予了人工酶更高的催化能力和稳定性,进而实现了锂硫电池在倍率和循环耐久性方面的大幅度提升。团队还利用多种先进的原位光谱技术及理论计算,对电极界面结构的动态演变规律进行了原位捕捉,进而从微观层面深度探究了在该仿生锂硫电池运行体系中硫转化过程的“黑匣子”。

图文解析
本文通过简单的共价交联方法,制备了碳纳米管(CNTs)—三聚氰胺辅因子(MM)—血红素人工酶(hemin)硫转化仿生催化系统([CNTs-MM-hemin])。在[CNTs-MM-hemin]中,MM辅因子通过共价酰胺键与hemin人工酶和羧基化CNTs连接,hemin和MM之间的Fe–N配位形成了FeN5构型,CNTs和hemin/MM分子之间存在着物理π-π相互作用。这些多重(共价、配位、物理)相互作用有助于建立周期性和共价交联的催化网络结构,以加速系统中的电子转移,抑制hemin人工酶在醚基溶剂中的溶解,从而使其保持高而稳定的硫转化催化活性。

图1. [CNT-MM-hemin]复合材料的合成示意图及其结构和稳定性表征。
密度泛函理论计算和XPS、7Li NMR、原位紫外可见吸收光谱等实验表明,[CNTs-MM-hemin]能有效地通过Fe–S和多种Li∙∙∙N键吸附多硫化物,不仅可以避免穿梭效应,还可以确保系统中Li+的快速迁移和补充。
图2.催化剂对多硫化物的吸附和催化能力表征。
[CNTs-MM-hemin]催化剂在低硫载量的电池(~1.0 mg cm−2)中表现出提升的倍率性能和优异的循环稳定性,实现了978 mAh g−1的初始容量和900次循环后571 mAh g−1的容量保有(单圈容量衰减率低至0.046%)。即使在含硫量增加至4.1 mg cm−1的情况下,电池仍能稳定运行200个循环,容量保持率为87%。
图3.不同催化剂对锂硫电池电化学性能的影响。
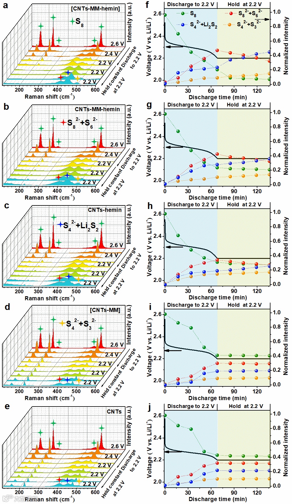
Hemin人工酶通过Li∙∙∙N键和Fe–S键对长链多硫化物发挥强吸附和催化作用。在放电过程中,hemin通过Fe–S键从长链多硫化物中争夺电子,促进长链多硫化物中S–S键的断裂和短链多硫化物的产生。借助于CNT与hemin/MM分子之间的物理π-π相互作用、MM与hemin/CNT之间的酰胺键作用,以及hemin和MM之间的Fe–N配位作用,MM辅因子不仅可以作为hemin的稳定剂,而且对Li+具有很高的吸附能力,从而加速Li2S成核。短链多硫化物被捕获在hemin表面,并迅速扩散到相邻的MM上,形成丰富多样的Li键(多重Li键,多种Li∙∙∙N键),以及Li键网络,加速了系统中的电子/Li+转移,促进了短链多硫化物向Li2S2/Li2S的转化。正是利用这种协同效应,[CNTs-MM-hemin]催化剂确保了硫催化转化反应的顺利进行,从而有效地缓解了锂硫电池的穿梭效应,提高了电池的电化学性能。
图4.放电过程中,不同电极表面的原位拉曼光谱。
图5.不同放电深度下,电极表面的准原位S 2p和Li 1s XPS光谱。

图6.锂离子扩散速率实验和锂离子扩散能垒计算研究。

文章总结
本文提出了一种具有多重锂键网络的辅因子辅助人工酶,即[CNTs-hemin-MM],以加速硫还原反应动力学并抑制锂硫电池中的多硫化物穿梭。大量分散良好的FeN5位点作为hemin的催化活性中心,以及MM辅因子在CNT导电基底上提供的完美Li键电子传输网络,充分实现了高效和稳定的催化优势,以促进长链和短链多硫化物的转化。通过多种光谱、电化学表征与理论计算相结合,阐述了[CNT-hemin-MM]电极表面多硫化物转化的催化效应和反应机理,特别是共价酰胺键、FeN5配位构型和π-π共轭的协同作用。这种对多硫化物高度、持续的催化作用使得锂硫电池表现出优异的稳定性和高硫负载性能。本研究为设计基于辅因子助力人工酶和多重锂键网络的可充电锂硫电池开辟了一条新途径。

文章信息
Cofactor-Assisted Artificial Enzyme with Multiple Li-Bond Networks for Sustainable Polysulfide Conversion in Lithium–Sulfur Batteries
Suya Zhou#, Shuo Yang#, Dong Cai, Ce Liang, Shuang Yu, Yue Hu, Huagui Nie, and Zhi Yang*
Adv. Sci. 2021, 2104205.
DOI: 10.1002/advs.202104205

主要作者简介

杨硕,温州大学讲师,硕士生导师
致力于原位电化学界面谱学研究及其在锂硫电池、燃料电池、表面等离子激元等领域应用研究。先后主持国家自然科学基金,浙江省自然科学基金,温州市重大科技攻关项目,温州市基础性科研项目,浙江省教育厅一般科研项目等纵向课题7项。获温州市海外精英引进计划创新人才。近年来取得了多项原创性科研成果,在包括Advanced Functional Materials、Advanced Science、ACS Nano等杂志上发表期刊论文20篇。多次在国际顶级学术会议上以报告形式展示相关科研成果并5次获奖。
杨植,温州大学教授,博士生导师
长期从事微纳结构碳材料的结构设计、性能调控及在锂硫电池、燃料电池、电催化等领域应用的基础研究,现为浙江省碳材料技术研究重实验室主任,温州大学化材学院副院长。发表SCI论文100余篇,论文被它引7000余次,H因子41,其中在Adv. Mater., Nat. Commun., Advanced Functional Materials, ACS Nano等IF大于10.0期刊上发表论文30余篇,10余篇入选ESI高引或热点论文,单篇通讯作者论文最高引用1700余次。先后主持5项国家自然科学基金,省杰出青年基金等项目;获浙江省“万人计划”青年拔尖人才,温州市“特支计划”科技创新领军人才等计划支持;获教育部高等学校自然科学二等奖,温州市科学技术进步奖等。

相关工作推介
1. ACS Nano 2017, 11, 2209:由生物小分子-二硫苏糖醇(DTT)在室温下能自发高效剪断存在于蛋白质中的双硫键(-S-S-),从而破坏蛋白质的三维结构这一现象而受到启发,设计和开发出了基于二硫苏糖醇/石墨烯的超轻插层膜,将该膜应用在锂硫电池正极和隔膜之间后,通过利用DTT高效剪切双硫键的特性,能有效控制聚硫离子在电极材料表面以及电解液中不断形成、聚集的问题,从而有效降低锂硫电池中聚硫离子浓度,以抑制穿梭效应,使用该技术后所组装的锂硫电池在5C的放电电流下循环1100次后,仍展现了优异的循环稳定性。
2. Advanced Functional Materials 2020, 30,2003354:天然酶是一种高效的生物催化剂,可介入生物中的各种生理应激过程。酶可以专一高效地催化特定底物的反应,在生物化学中具有广泛的应用。在生物化学中,氯化血红素及其铁卟啉衍生物作为许多血红蛋白的电活性中心,也常被用于氧输运,以及对各类物质(如:NO、NO2-及H2O2)的检测。受启发于此,同时,考虑到硫和氧是同主族元素,具有相类似的化学性质,结合仿生催化的设计理念,设计开发出了基于羧基功能化碳纳米管固定的血红素人工模拟酶,用于高效促进硫转化,大幅提升了锂硫电池的容量和循环稳定性。
3. ACS Nano 2020, 14, 7538:采用双控策略,设计开发了一种酞菁铁和八氟萘功能化的石墨烯,并将其作为仿生催化剂引入Li−S电池正极。一系列的研究表明:酞菁铁通过Fe–S的配位,对长链多硫化物起到了有效的锚定和剪切作用;而八氟萘则通过锂键(Li∙∙∙F键)来结合短链多硫化物,加速了Li2S的液-固成核和生长动力学。该双控系统有助于实现电池内部平稳的固-液-固转化反应,显著提高了电池的电化学性能,为实现高容量的Li−S和其他可充电技术提供了一种可行的方案。
本课题组长期欢迎具有碳材料、能源材料、仿生催化、理论计算化学、导电高分子材料等研究背景的优秀博士加盟,Email: yangzhi@wzu.edu.cn.
声明
本文仅供科研分享,不做盈利使用,如有侵权,请联系后台小编删除

“邃瞳科学云”直播服务
“邃瞳科学云"平台正在收集、整理各类学术会议信息,欢迎学会、期刊、会议组织方择优在邃瞳平台上进行线上直播,希望藉此帮助广大科研人员跨越时空的限制,实现自由、畅通地交流互动。欢迎老师同学们提供会议信息(会有礼品赠送),学会、期刊、会议组织方商谈合作,均请联系翟女士:18612651915(微信同)。
扫描二维码下载
邃瞳科学云APP

