
第一作者:崔凯
通讯作者:徐宇曦教授
通讯单位:西湖大学
DOI:10.1002/aenm.202102062

全文速览
对于非贵金属催化剂而言,分子催化剂因其分子结构明确、活性位点稳定、结构可控、可持续性强等特点而受到研究者们广泛关注。然而,导电性差和电催化本征活性低的问题导致分子催化剂的电催化性能不理想。为了提高分子催化剂的催化性能,需要改善其电子传输能力和提高电催化本征催化活性。近日,西湖大学徐宇曦课题组在调控分子催化剂本征催化活性方面取得重要进展。通过超分子策略调控钴卟啉分子构象使其平面化,显著改善了钴卟啉金属活性中心的电子环境,电催化测试发现钴卟啉构象改变后表现出优异的电催化性能和锌空电池性能,为分子催化剂本征催化活性的调控提供了新思路。

背景介绍
以氧还原反应(ORR)、析氢反应(HER)和析氧反应(OER)为主的水分解、燃料电池和金属空气电池等绿色可再生技术备受关注。然而,这些反应需要合适的催化剂来加速其反应动力学。不幸的是,贵金属基催化剂由于其含量稀少,成本高且供应有限,难以大规模商业化使用。因此,在未来的大规模生产中开发非贵金属电催化剂是一个有前景的替代方案。其中,分子催化剂因其具有明确的分子结构、稳定的活性位点、可控的结构和可持续的特性而受到研究者们广泛关注。之前许多研究通过相对复杂的化学过程改变分子催化剂的分子构型来提高其电催化性能。然而迄今为止,通过调控分子构象来调节金属卟啉的本征活性尚未见报道。
西湖大学徐宇曦课题组首次展示了一种新型的超分子组装策略,诱导Co-TMPyP分子构象在化学转化石墨烯(CCG)上发生改变,从而在HER、ORR和OER反应中实现一种三功能的高性能分子电催化剂。在实际应用中,该催化剂组装的锌-空电池表现出了优异的电催性能。研究结果表明,通过CCG与Co-TMPyP之间的静电和π-π协同相互作用诱导Co-TMPyP分子四个吡啶侧基的旋转使其平坦化。这种分子构象的变化导致Co-N键被压缩,电子从卟啉大环转移到Co-TMPyP分子的金属离子上,使更多的负电荷聚集在活性中心的金属离子周围,导致金属离子周围电荷密度更高。理论计算表明,较高的金属活性中心电荷密度和较低的反应中间体能垒有助于提高Co-TMPyP的催化活性。因此,Co-TMPyP/CCG首次作为三功能催化剂同时催化ORR、HER和ORR,电催化性能明显优于分子构象不变的原始Co-TMPyP分子。为了展示Co-TMPyP/CCG催化剂在能量转换和存储方面的实际潜力,作者进一步组装了一种基于Co-TMPyP/CCG催化剂的可充电锌空气电池,该电池在目前报道的所有基于分子催化剂的锌空气电池中表现出了最好的性能。本研究证明了超分子策略调控分子催化剂构象在改善分子催化剂本征催化活性和电池应用等方面具有显著的优势。

图文解析

图1.(a) Co-TMPyP/CCG超分子组装示意图。(b) Co-TMPyP/CCG复合材料、CCG与纯Co-TMPyP的紫外-可见吸收光谱以及Co-TMPyP/CCG复合材料与CCG的光谱之间的减法光谱(标记为“减法”)。(c,d) Co-TMPyP/CCG的球差校正HAADF-STEM图像。(e) CCG和(f) Co-TMPyP/CCG的AFM图像。(g-j) Co-TMPyP/CCG中C、N和Co的HAADF-STEM元素分布。
图2.(a) Co-TMPyP/CCG和Co-TMPyP/G的N 1s XPS谱图。(b) Co箔、CoO、Co-TMPyP/CCG和Co-TMPyP/G的Co K-edge XANES光谱比较。(c) Co-TMPyP/CCG和对照样品的EXAFS光谱的傅里叶变换。(d) Co-TMPyP/CCG和Co-TMPyP/G的Co K-edge EXAFS小波变换。(e) Co-TMPyP/CCG在R和k空间的EXAFS分析。(f) Co-TMPyP/CCG中Co配位环境示意图。
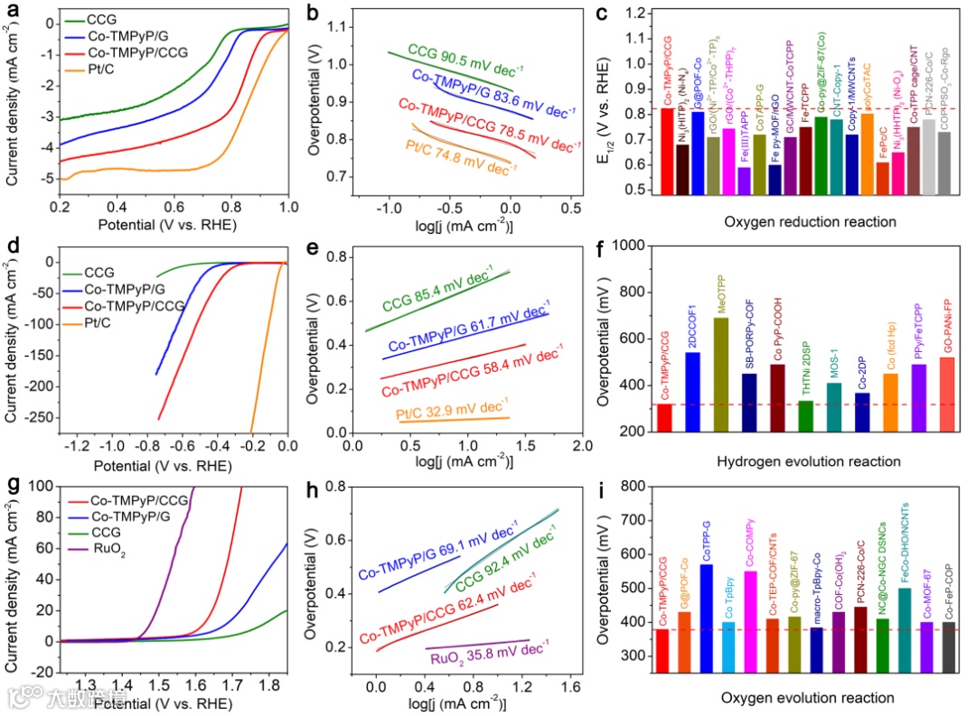
图3.(a) ORR LSV曲线。(b) ORR的Tafel图。(c)不同分子催化剂的半波电位(E1/2)比较。(d) HER的LSV曲线。(e) HER的Tafel图。(f)比较具有代表性的分子催化剂在10 mA cm-2下的过电位。(g) OER LSV曲线。(h) OER的Tafel图。(i)比较具有代表性的分子催化剂在10 mA cm-2下的过电位。
图4.Co-TMPyP/G (a)和Co-TMPyP/CCG (b)电荷密度差图。(c) Co-TMPyP/CCG和Co-TMPyP/G的Co位点的PDOS计算。Co-TMPyP/CCG和Co-TMPyP/G对ORR (d),HER (e),OER (f)的吉布斯自由能图。
图5.(a)锌空气电池原理图。(b) Co-TMPyP/CCG电池开路电压图。(c) Co-TMPyP/CCG、Co-TMPyP/G和Pt/C+Ru/C电池恒流密度为20 mA cm-2时的放电容量。(d) Co-TMPyP/CCG、Co-TMPyP/G和Pt/C+Ru/C电池的充放电曲线及其对应的功率密度。(e) Co-TMPyP/CCG、Co-TMPyP/G和Pt/C+Ru/C在2 mA cm-2电流密度下的充放电试验。(f) Co-TMPyP/CCG、Co-TMPyP/G和Pt/C+Ru/C电池在j = 2 mA cm-2条件下的长期稳定性试验。

总结与展望
综上所述,作者首次展示了一种新型的超分子组装策略,诱导Co-TMPyP在CCG上平坦化,从而在HER、ORR和OER中实现一种三功能的高性能分子电催化剂。这种对Co-TMPyP分子构象的调节促进了电子从卟啉大环向中心金属离子的转移,从而影响了金属活性中心的电子结构,进一步优化了Co-TMPyP分子的本征活性。Co-TMPyP的电催化性能不仅明显优于原始Co-TMPyP,而且是目前为止所取得的最好的分子催化剂之一。DFT计算表明,分子构象的变化对调节金属活性中心的电子结构和降低反应中间体的能垒起关键作用。在实际应用中,Co-TMPyP/CCG组装的锌-空电池在所有分子催化剂中表现出了最好的性能。这项工作为分子催化剂的结构调控提供了一种新颖而通用的超分子策略,并为优化分子催化剂的内在活性以实现高效的电化学能量存储和转化等提供了新的基础见解。

第一作者介绍
崔凯,2021年毕业于西北师范大学,获得化学工程硕士学位,曾在西湖大学徐宇曦课题组联合培养,目前博士就读于兰州大学。主要从事电催化产氢产氧,氧还原以及CO2还原等能源存储与转化方面研究。目前在Advanced Energy Materials、Nanoscle等国际期刊发表论文3篇,发表专利2项。

通讯作者介绍
徐宇曦,西湖大学工学院研究员、博士生导师,国家基金委优秀青年科学基金获得者。主要致力于新型高分子和石墨烯等低维功能材料的化学制备、可控组装复合及其在能源、环境、催化和生物医学中的应用。以第一和通讯作者在Nat. Commun.、Acc. Chem. Res.、JACS、Angew. Chem.、Adv. Mater.等学术期刊上发表论文80余篇,他引两万多次,获教育部自然科学一等奖和国家自然科学二等奖、2019年中国化学会首届箐青化学新锐奖、2020 Young Innovator Award of Nano Research等多项奖励、入选上海市东方学者特聘教授、中国科协青年托举人才工程、科睿唯安全球高被引科学家、Elsevier“中国高被引学者”,担任Nat. Chem.、JACS、Nat. Commun.、Angew. Chem.、Adv. Mater.等期刊审稿人。目前课题组正招收相关研究方向的科研助理、博士后和研究员系列。

文献来源
Kai Cui, Qingtao Wang, Zenan Bian, Gongming Wang, Yuxi Xu* Supramolecular Modulation of Molecular Conformation of Metal Porphyrins toward Remarkably Enhanced Multipurpose Electrocatalysis and Ultrahigh-Performance Zinc-Air Batteries. Adv. Energy Mater. DOI:10.1002/aenm.202102062.
原文链接:https://onlinelibrary.wiley.com/doi/abs/10.1002/aenm.202102062
声明
本文仅供科研分享,不做盈利使用,如有侵权,请联系后台小编删除

“邃瞳科学云”直播服务
“邃瞳科学云"平台正在收集、整理各类学术会议信息,欢迎学会、期刊、会议组织方择优在邃瞳平台上进行线上直播,希望藉此帮助广大科研人员跨越时空的限制,实现自由、畅通地交流互动。欢迎老师同学们提供会议信息(会有礼品赠送),学会、期刊、会议组织方商谈合作,均请联系翟女士:18612651915(微信同)。
扫描二维码下载
邃瞳科学云APP

