
二氧化碳的电化学还原 (CO2RR) 提供了一种可持续的途径来生产燃料或基础化学品,而无需依赖有限且不可再生的资源,例如石油和天然气。在水系电解液中,CO2RR 和析氢反应 (HER) 同时发生,这可能会显著降低 CO2RR 的法拉第效率。根据反应条件,特别是电解液的 pH 值,氢的产生可以通过质子的直接还原 (2H+ + e- → H2) 或溶剂本身的还原 (2H2O + 2e- → H2 + 2OH-)实现。科学家们已经采用了不同的策略来实现 CO2RR 而不是 HER,例如增强传质,使用多孔催化剂,修饰催化剂表面,或改变电解液的组成。
此外,将CO2进一步还原为更有价值的多碳烃和含氧化合物(C2+产品;即乙烯、乙醇、和正丙醇)的效率和反应速率仍不令人满意。其主要瓶颈在于,在 CO2还原反应 (CO2RR) 期间形成碳-碳 (C-C) 键的缓慢动力学。通常,提高 C-C 偶联效率是一项非常具有挑战性的任务,需要仔细考虑多个参数,包括催化剂、过电位、局部 pH 环境等。
针对上述问题,高敏锐团队研究发现Cu(100)/Cu(111)界面提供了有利的局部电子结构,可增强 *CO 吸附并降低 C-C 耦合能垒,因此可以将 CO2 还原为多碳产品。此外,Marc T. M. Koper团队研究了多晶金电极上的 HER 和 CO2RR,旨在确定不同的单价和多价金属阳离子如何影响单个反应速率。Marc T. M. Koper团队发现具有中等水合半径的酸性阳离子(Nd3+, Ce3+)在酸性介质/低过电位中促进 CO2RR,而弱水合的非酸性阳离子(Cs+ )在碱性介质/高过电位中促进 CO2RR 效果最显著。
01

第一作者:Zhi-Zheng Wu,Xiao-Long Zhang
通讯作者:高敏锐
通讯单位:中国科学技术大学
论文DOI:https://doi.org/10.1021/jacs.1c09508

全文速览
使用二氧化碳 (CO2) 作为原料的多碳化学品电合成最近取得了重大进展,但仍面临相当大的挑战。形成碳-碳(C-C)键的缓慢动力学是目前面临的主要困难,尤其是在中性介质中。作者在这里发现,由六个 {100} 和八个 {111} 面包围的氧化物衍生的铜晶体可以将 CO2 还原为多碳产品。在1 M KHCO3 (pH ∼ 8.4) 及 300 mA cm-2的商业电流密度下,高法拉第效率高达74.9± 1.7% 。结合实验和计算研究,作者发现 Cu(100)/Cu(111) 界面提供了有利的局部电子结构,可增强 *CO 吸附并降低 C-C 耦合能垒,其表现优于 Cu(100) 和 Cu(111) 表面。并且该催化剂在 300 mA cm-2 下连续运行 50 h, 没有观察到明显的降解。

图文解析

图 1. 结构和成分分析。(a) 具有可控晶面的 Cu2O 晶体的 SEM 图像。比例尺,400 nm。(b)源自 (a) 中 Cu2O 晶体的 OD-Cu 的 SEM 图像,显示出明确且可控的晶面。比例尺,400 nm。(c) 五个 OD-Cu晶体的示意图(上)和相应的结构细节(下)。黑线,Cu(100)/Cu(100)界面;粉红色线,Cu(100)/Cu(111) 界面;蓝线,Cu(111)/Cu(111) 界面。(d-f) OD-Cu-I (d)、OD-Cu-III (e) 和 OD-Cu-V (f) 的 Cu K 边 X 射线吸收近边结构 (XANES) 光谱。实线,实验数据;虚线,拟合数据。(d-f)中的插图是相应的 TEM 图像和SAED 图案。TEM 图像的比例尺:500 nm (d) 和 200 nm (e 和 f)。
图 2. CO2RR 性能。(a) OD-Cu-I、OD-Cu-III 和 OD-Cu-V 催化剂的电流-电压曲线。扫描速率:20 mV s–1。(b) 在 300 mA cm-2 的电流密度下,不同 OD-Cu 催化剂上的 C2+ 和 C1 FE。(c) 在 300 mA cm-2 下,不同 OD-Cu 催化剂上的 C2+/C1 产物选择性。(d) 不同 OD-Cu 催化剂的 C2+ FE 与 Cu(100)/Cu(111) 界面长度的关系。(e) 在 1 M KHCO3 电解质中,OD-Cu-III 催化剂在 300 mA cm-2 电流密度下的长期 CO2RR 稳定性。
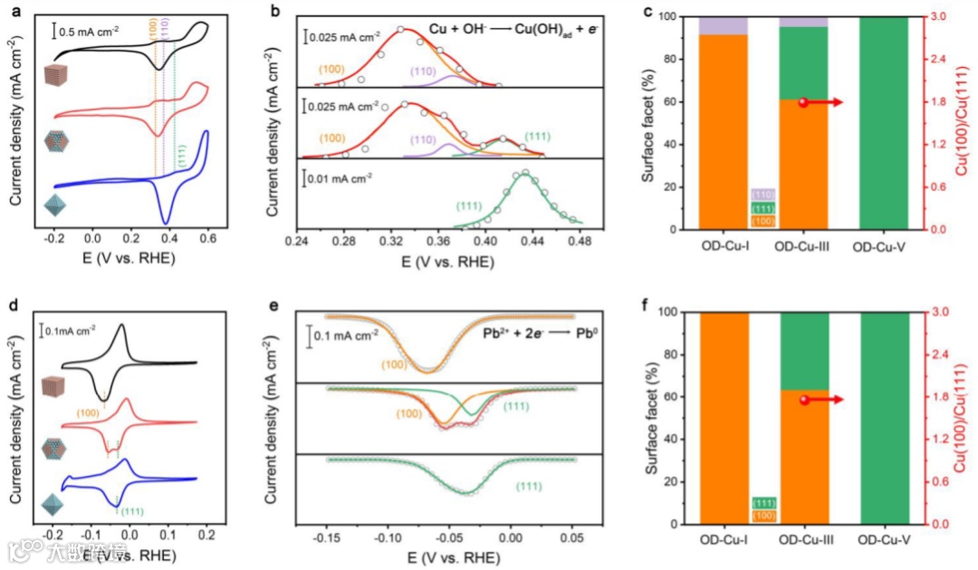
图 3. OD-Cu催化剂的表面分析。(a) OD-Cu-I(黑色)、OD-Cu-III(红色)和 OD-Cu-V(蓝色)在 1 M KOH 中的 CV 曲线。扫描速率:100 mV s–1。(b) OD-Cu-I、OD-Cu-III 和 OD-Cu-V 的拟合 OH-吸附峰。(c)通过OH-吸附量化的 OD-Cu 催化剂的暴露表面,以及OD-Cu-III(红点)的Cu(100)/Cu(111)比率。(d) OD-Cu-I(黑色)、OD-Cu-III(红色)和 OD-Cu-V(蓝色)在含有 10 mM Pb(ClO4)2 的 0.1M HClO4 水溶液中的 CV 曲线。(e) OD-Cu-I、OD-Cu-III 和 OD-Cu-V的拟合铅欠电位沉积 (UPD) 峰。(f) Pd UPD 峰量化的 OD-Cu 催化剂的暴露表面和 OD-Cu-III 的 Cu(100)/Cu(111) 比例(红点)。不同颜色的峰代表 OD-Cu 催化剂上的不同面。橙色,(100)面;绿色,(111)面。
图 4. KPFM、拉曼和 ATR-SEIRAS 研究。(a) OD-Cu-III 催化剂的 SEM 图像。比例尺,100 nm。(b 和 c) 单一 OD-Cu-III 催化剂的形貌 (b) 和 CPD (c) 图像。比例尺,200 nm。(d) 从 (c) 中所示的单一OD-Cu-III 催化剂的不同区域获得的 CPD 值。(e-g) OD-Cu-I (e)、OD-Cu-III (f) 和 OD-Cu-V (g) 的 Operando 拉曼光谱。(h) 不同OD-Cu 催化剂的HFB/(HFB+LFB) 比率的比较。(i–k) OD-Cu-I (i)、OD-Cu-III (j) 和 OD-Cu-V (k) 的原位 ATR-SEIRAS 光谱与施加电位的函数关系。(l) 不同 OD-Cu 催化剂上,CO 拉伸频率与施加电位的函数关系。(m) 不同 OD-Cu 催化剂归一化的 CO 峰面积与施加电位的函数关系。
图 5. DFT 计算。(a) Cu(100)/Cu(100)、Cu(111)/Cu(111) 和Cu(100)/Cu(111)界面的结构模型顶视图和侧视图。(b) 2*CO、*OCCO 和 *OCCHO 中间体在Cu(100)/Cu(100)、Cu(111)/Cu(111) 和 Cu(100)/Cu(111) 界面上的几何结构。橙色、红色、灰色和白色球体分别代表Cu、O、C 和 H。(c) CO二聚形成*OCCO和随后表面氢化形成*OCCHO的自由能图。(d) 在Cu(100)/Cu(111) 界面处 CO2 电还原形成 C2+ 产物的示意图。(d) 中的右侧显示了 Cu(100)/Cu(111) 界面的原子模型。
02

第一作者:Mariana C. O.Monteiro
通讯作者:Marc T. M. Koper
通讯单位:荷兰莱顿大学
论文DOI:https://doi.org/10.1021/jacs.1c10171

全文速览
CO2 电还原 (CO2RR)是可持续的生产燃料和化学品的方法。电解液中的金属阳离子对反应有很强的影响,但被详细研究的主要是碱性物质。在这项工作中,作者通过研究多晶金在 pH = 3 下的反应,阐明了多价阳离子(Li+、Cs+、Be2+、Mg2+、Ca2+、Ba2+、Al3+、Nd3+ 和 Ce3+)如何影响 CO2RR 和竞争性析氢。作者观察到,阳离子在低过电位下对质子还原没有影响,但在碱性pH 值下,酸性阳离子会发生水解,产生第二种质子还原机制。水还原反应的活性和开始与阳离子酸度相关,弱水合的三价物质导致最高的活性。酸性阳离子仅在低过电位和酸性介质中有利于 CO2RR。在高过电位下,CO 的活性以 Ca2+ < Li+ < Ba2+ < Cs+的顺序增加。为了促进该反应,*CO2-中间体的阳离子稳定性、外亥姆霍兹平面 (OHP) 处的阳离子积累和水还原活性之间必须存在相互作用。分子动力学模拟表明,非酸性阳离子在界面处显示出较低的排斥力,在 OHP 处积累更多,从而引发局部促进作用。与实验证据一致,强酸性阳离子(Nd3+、Al3+)容易促进水的解离动力学。Cs+、Ba2+和Nd3+稳定地协调吸附CO2;因此,它们使 *CO2-稳定化和无障碍质子化为 COOH 以及进一步的还原产物。

图文解析

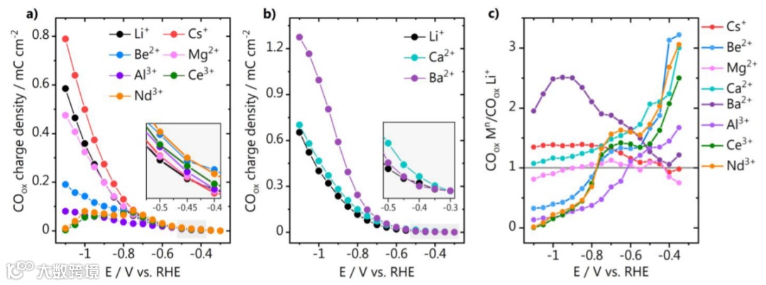
图 1. (a) 质子还原和 (b) CO2 还原,在酸性介质(0.1 M M2SO4,pH = 3)中的循环伏安法曲线。(c) 通过连续阴极/阳极伏安法获得的CO 产生量与电位的函数关系。
图 2. 多价阳离子对HER的影响。(a) 在 pH 3 条件下,在 0.1 M Li2SO4 + 1 mM Mn+ 电解质(Mn+ = Li+、Cs+、Be2+、Mg2+、Al3+、Nd3+、Ce3+)和0.2 M LiClO4 + 2mM Mn+ 电解质(Mn+ = Ca2+,Ba2+)中进行的析氢伏安法,所提取的水还原归一化活性。(b) 水还原活性剧烈增加的电位。
图 3. (a) 在 pH 3 条件下,在0.1 M Li2SO4+ 1 mM Mn+ 电解质中(Mn+ = Be2+、Al3+、Nd3+ 和 Ce3+)进行的析氢循环伏安法。(b) 阳离子水解机制的示意图和 (c) 不同物种水解的 pKa。
图 4. 在 (a) 0.1 M Li2SO4 + 1 mM Mn+ 电解质(Mn+ = Li+、Cs+、Be2+、Mg2+、Al3+、Nd3+、Ce3+)和(b)0.2M LiClO4 + 2 mM Mn+ (Mn+= Ca2+, Ba2+)电解质中,通过连续阴极/阳极伏安法在 pH 3 下探测产生的 CO 量。(c) 定性比较在低和高过电位下硫酸盐和高氯酸盐电解质中发现的 CO 相对活性。
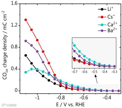
图 5. 在 pH 3 下,在 0.2 MxClO4 (Mn+ = Li+、Cs+、Ca2+ 和 Ba2+)中连续阴极/阳极循环探测产生的 CO 量。
图 6. (a) 1 ps 平衡后的平均阳离子-表面距离与取自文献值的阳离子半径之间的相关性。(b) 计算出的阳离子积累热力学驱动力(相对于阳离子-表面距离)与阳离子酸度之间的相关性。
图 7. (a) 在 300 K 下进行的 AIMD 模拟模型:Au/水/Mn+ 系统的平衡(0-2 ps);Au/水/Mn+/*H2O(2–4 ps) 的平衡,其中 Mn+ = Li+、Cs+、Mg2+、Ba2+、Al3+ 和 Nd3+。(b) AIMD过程中吸附水与Mn+相互作用解离所需时间。(c) 水解离的初始和最终状态模型。(d) 水解离活化垒与阳离子酸度的关系,计算为阳离子溶剂化壳中 2 个和 3 个 H2O分子的平均值,黄色、暗黄色、白色和红色的球体分别为Au、Cs、H和O原子。
图 8. (a) 在 300 K 下进行的 AIMD 模拟模型:Au/水/Mn+ 系统的平衡(0-2 ps);Au/水/Mn+/*CO2(2–4 ps) 的平衡,其中 Mn+ = Li+、Cs+、Mg2+、Ba2+、Al3+ 和 Nd3+。(b) 用于 2 ps AIMD 模拟的阳离子-CO2 配位 (NMn+-O(CO2))。(c) CO2质子化的初始和最终状态模型。(d) COOH质子化所需的吉布斯自由能。在(a)和(c)图中,黄色、暗黄色、深灰、白色和红色的球体分别为Au、Cs、c、H和O原子。
图 9. (a) 不同阳离子物质与电极表面的相互作用的示意图,导致有利的水离解和在 OHP 的更高积累。(b) 颜色图总结了高过电位下 CO2 还原(紫色阴影,图 5)和 H2O 还原(红色阴影,图 2a)性能与阳离子离子半径和阳离子酸度的关系。(c) 水还原与阳离子酸度的归一化活性和定性拟合。(d) 假设平均阳离子-CO2 配位 (NMn+–O(CO2))作为潜在描述符,基于离子半径和阳离子酸度的CO2 还原活性预测。
声明
本文仅供科研分享,不做盈利使用,如有侵权,请联系后台小编删除
“邃瞳科学云”直播服务
“邃瞳科学云"平台正在收集、整理各类学术会议信息,欢迎学会、期刊、会议组织方择优在邃瞳平台上进行线上直播,希望藉此帮助广大科研人员跨越时空的限制,实现自由、畅通地交流互动。欢迎老师同学们提供会议信息(会有礼品赠送),学会、期刊、会议组织方商谈合作,均请联系翟女士:18612651915(微信同)。
投稿、荐稿、爆料:Editor@scisight.cn
扫描二维码下载
邃瞳科学云APP

